Dielectric, Thermal and Water Absorption Properties of Some EPDM/Flax Fiber Composites
Abstract
:1. Introduction
2. Materials and Methods
2.1. Materials
2.2. Methods
3. Results and Discussion
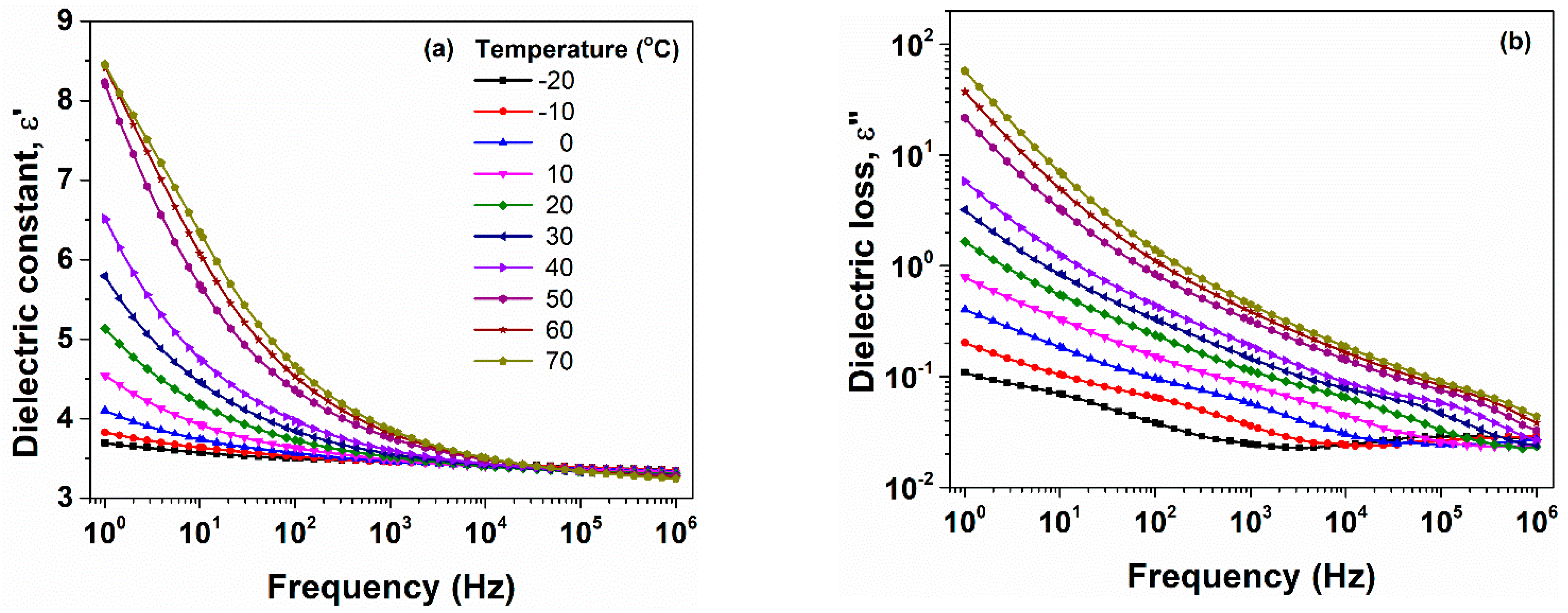
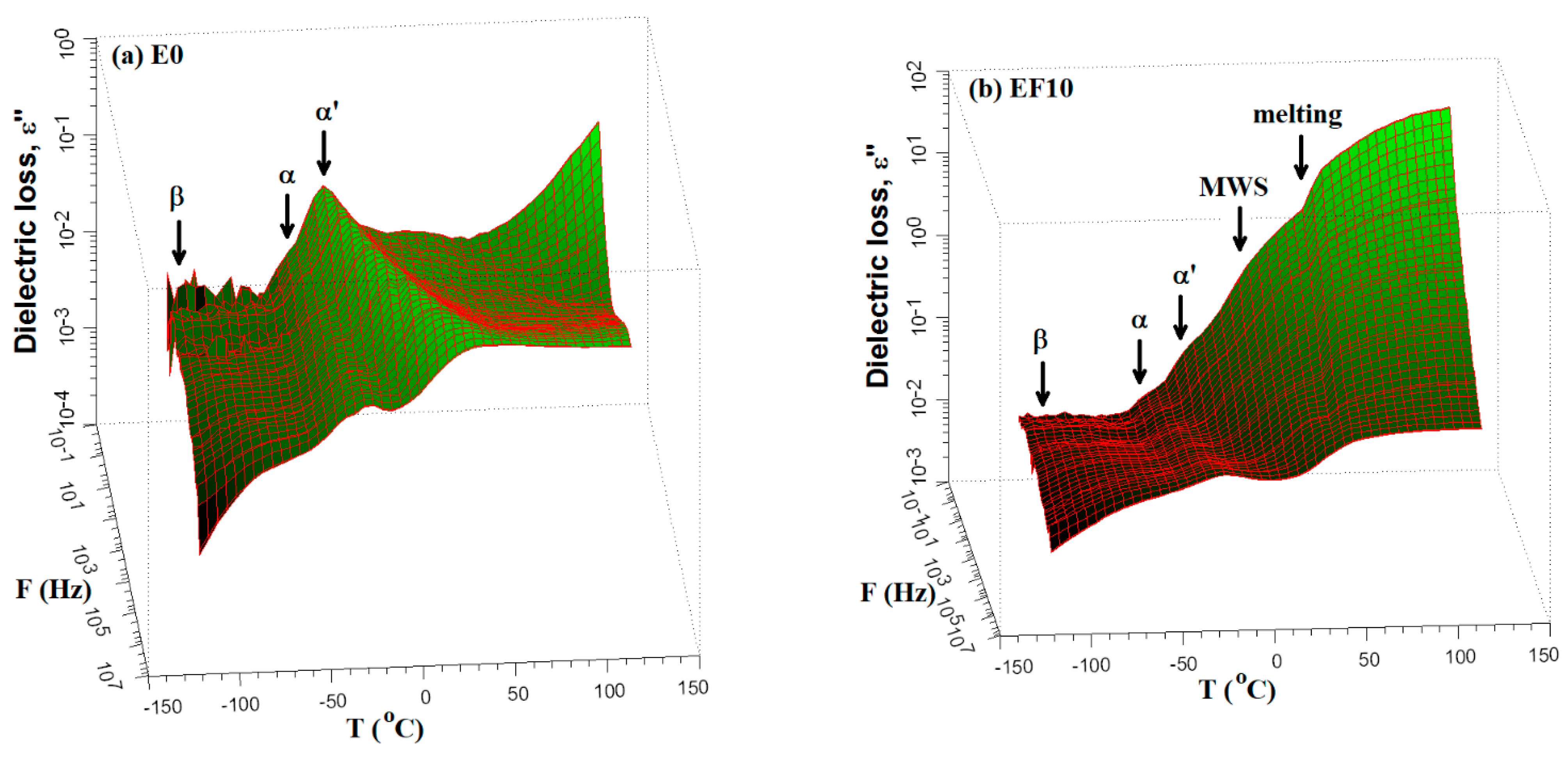
3.1. Dielectric Behavior
3.1.1. Evolution of Dielectric Parameters with Frequency and Temperature
3.1.2. Segmental Relaxation
3.2. Thermal Behavior
3.3. Water Sorption
4. Conclusions
Author Contributions
Funding
Institutional Review Board Statement
Informed Consent Statement
Data Availability Statement
Acknowledgments
Conflicts of Interest
References
- Kim, K.J. Ethylene-propylene-diene terpolymers/silica compound modification with organosilane [bis(triethoxysilylpropyldisulfide] and improved processability and mechanical properties. J. Appl. Polym. Sci. 2010, 116, 237–244. [Google Scholar] [CrossRef]
- George, K.; Panda, B.P.; Mohanty, S.; Nayak, S.K. Recent developments in elastomeric heat shielding materials for solid rocket motor casing application for future perspective. Polym. Adv. Technol. 2018, 29, 8–21. [Google Scholar] [CrossRef]
- Das, A.; Naskar, N.; Debnath, S.C.; Pal, S.; Dalta, R.N. Effect of vulcanization technique on physical and dielectric properties of black filled EPDM. Kauts. Gummi Kunst. 2005, 58, 304–311. [Google Scholar]
- Stelescu, M.D.; Airinei, A.; Manaila, E.; Fifere, N.; Craciun, G.; Varganici, C.; Doroftei, F. Exploring the effect of electron beam irradiation on the properties of some EPDM-flax fiber composites. Polym. Compos. 2019, 40, 315–327. [Google Scholar] [CrossRef] [Green Version]
- Stelescu, M.D.; Manaila, E.; Craciun, C. Vulcanization of ethylene-propylene-terpolymer-based rubber mixtures by radiation processing. J. Appl. Polym. Sci. 2013, 128, 2325–2336. [Google Scholar] [CrossRef]
- Nihmath, A.; Ramesan, M.T. Preparation, characterization, thermal and electrical properties of chlorinated ethylene propylene diene monomer/hydroxyapatite nanocomposites. Polym. Compos. 2018, 39, 2093–2100. [Google Scholar] [CrossRef]
- Colom, X.; Canavate, J.; Formela, K.; Shadman, A.; Saeb, M.R. Assessment of the devulcanization process of EPDM waste from roofing systems by combined thermomechanical/microwave procedures. Polym. Degrad. Stab. 2021, 183, 109450. [Google Scholar] [CrossRef]
- Salem, M.A.; Khaled, M.A.; Hussein, A.M. Effect of chromium chloride on the mechanical and dielectric properties of EPDM rubber. Macromol. Res. 2003, 11, 256–259. [Google Scholar] [CrossRef]
- Homocianu, M.; Airinei, A.; Stelescu, D.M.; Timpu, D.; Ioanid, A. Morphological structure and surface properties of maleated ethylene propylene diene monomer/organoclay nanocomposites. Polym. Compos. 2012, 33, 379–387. [Google Scholar] [CrossRef]
- Natali, M.; Rallini, M.; Puglia, D.; Kenny, J.; Torre, L. EPDM based heat shielding materials for solid rocket motors: A comparative study of different fibrous reinforcements. Polym. Degrad. Stab. 2013, 98, 2131–2139. [Google Scholar] [CrossRef]
- Fuke, C.S.; Mahanwar, P.A.; Chowdhury, S.R. Modified ethylene-propylene-diene elastomer (EPDM)—containing silicone rubber/ethylene-propylene-diene elastomer (EPDM blends): Effect composition and electron beam crosslinking on mechanical, heat shrinkability, electrical and morphological properties. J. Appl. Polym. Sci. 2019, 136, 47787. [Google Scholar] [CrossRef]
- Manaila, E.; Airinei, A.; Stelescu, M.D.; Sonmez, M.; Alexandrescu, L.; Craciun, G.; Pamfil, D.; Fifere, N.; Varganici, C.D.; Doroftei, F.; et al. Radiation processing and characterization of some ethylene-propylene terpolymer/butyl (halobutyl) rubber/nanosilica composites. Polymers 2020, 12, 2431. [Google Scholar] [CrossRef]
- Celette, N.; Stevenson, I.; Davids, L.; Davenas, J.; Seytre, G. Irradiation effects on the relaxation behavior of EPDM elastomers. Polym. Int. 2004, 53, 495–505. [Google Scholar] [CrossRef]
- Stelescu, M.D.; Airinei, A.; Mihaila, E.; Craciun, G.; Fifere, N.; Varganici, C. Property correlations for composites based on ethylene propylene diene rubber reinforced with flax fibers. Polym. Test. 2017, 59, 75–83. [Google Scholar] [CrossRef]
- Hintze, C.; Shirazi, M.; Wiessner, S.; Talma, A.G.; Heinrich, G.; Noordermeer, J.W.N. Influence of fiber type and coating on the composite properties of EPDM compounds reinforced with short aramid fibers. Rubber Chem. Technol. 2013, 86, 579–590. [Google Scholar] [CrossRef]
- Guillot, D.G.; Harvey, A.R. EPDM Rocket Motor Insulation. U.S. Patent 6566420, 20 May 2003. [Google Scholar]
- Wang, X.; Zhang, G. PTC effect of carbon fiber filled EPDM rubber composite. J. Mater. Sci. Mater. Electr. 2008, 19, 1105–1108. [Google Scholar] [CrossRef]
- Shokr, F.S. Dielectric properties of carbon black loaded EPDM rubber based conductive composites: Effect of curing method. J. Amer. Sci. 2012, 7, 387–397. [Google Scholar]
- Khalil, A.M.; El-Nemr, K.F.; Khalaf, A.I. Effect of short polyethylene terephthalate fibers on properties of ethylene-propylene diene rubber composites. J. Polym. Res. 2012, 19, 9883. [Google Scholar] [CrossRef]
- Psarras, G.C.; Gatos, K.G.; Karahaliou, P.K.; Georga, S.N.; Krontas, C.A.; Karger-Kocsis, J. Relaxation phenomena in rubber/layered silicate nanocomposites. Express. Polym. Lett. 2007, 1, 837–845. [Google Scholar] [CrossRef]
- Khalili, S.M.R.; Farsani, E.E.; Rafiezadih, S. An experimental study on the behavior of PP/EPDM/jute composites in impact tensile and bending loadings. J. Reinf. Plast. Compos. 2011, 30, 1341–1347. [Google Scholar] [CrossRef]
- Amin, A.; Kandil, H.; Rabia, A.M.; El-Nashar, D.E.; Ismail, M.N. Enhancing the mechanical and dielectric properties A.M. of EPDM filled with nanosized rice husk powder. Polym. Plast. Technol. Eng. 2018, 57, 1733–1742. [Google Scholar] [CrossRef]
- Rozik, N.N.; Abd-El Messieh, S.L.; Yaseen, A.A.; Abd-El-Hafiz, A.S. Dielectric and mechanical properties of natural nanofibers-reinforced ethylene propylene diene rubber: Carrot foliage and corn gluten. Polym. Eng. Sci. 2013, 58, 874–881. [Google Scholar] [CrossRef]
- Jayamani, E.; Hamdan, S.; Rahman, M.R.; Bakri, M.K.B. Comparative study of dielectric properties of hybrid natural fiber composites. Procedia Eng. 2014, 97, 536–544. [Google Scholar] [CrossRef] [Green Version]
- Litvinov, V.M.; Orza, R.A.; Kluppel, M.; Van Duin, M.; Magusin, P.C.M.M. Rubber-filler interactions and network structure in relation to stress-strain behavior of vulcanized carbon black filled EPDM. Macromolecules 2011, 44, 4887–4900. [Google Scholar] [CrossRef]
- Mijovic, J. Dielectric spectroscopy of reactive networking-forming polymers. In Broadband Dielectric Spectroscopy; Kremer, F., Schonhals, A., Eds.; Springer: Berlin, Germany, 2003; pp. 349–384. [Google Scholar]
- Runt, J.P. Dielectric studies of polymer blends. In Dielectric Spectroscopy of Polymeric Materials. Fundamentals and Applications; Runt, J.P., Fitzgerald, J.J., Eds.; ACS: Washington, DC, USA, 1997; pp. 283–302. [Google Scholar]
- Marin-Genesca, M.; Mujal-Rosas, R.; Garcia-Amoros, J.; Mudarra, M.; Juan, X.R.; Colom Fajula, X. Study of thermal, dielectric, and functional characteristics of an ethylene polyethylene diene monomer blended with end-of-life tire microparticles amounts. Polymers 2021, 13, 509. [Google Scholar] [CrossRef] [PubMed]
- Azizi, S.; Momen, G.; Ouellet-Plamondon, C.; David, E. Performance improvement of EPDM and EPDM/silicone rubber composites using modified fumed silica, titanium dioxide and graphene additives. Polym. Test. 2020, 84, 106281. [Google Scholar] [CrossRef]
- Abdel-Aziz, M.M.; Atia, M.K.; Amer, H.A.; Rabie, A.M. Physico-mechanical properties of gamma irradiated EPDM rubber nanocomposites loaded with fumed silica and zirconium silicate. Egypt. J. Rad. Sci. Appl. 2015, 28, 169–185. [Google Scholar]
- Li, H.; Liu, F.; Tian, H.; Wang, C.; Guo, Z.; Liu, P.; Peng, Z.; Wang, Q. Synergetic enhancement of mechanical and electrical strength in epoxy/silica nanocomposites via chemically-bonded interface. Compos. Sci. Technol. 2018, 167, 539–546. [Google Scholar] [CrossRef]
- Wang, C.; Li, H.; Zhang, H.; Wang, H.; Liu, L.; Xu, Z.; Liu, P.; Peng, Z. Influence of addition of hydroxyl-terminated liquid nitrile rubber on dielectric properties and relaxation behavior of epoxy resin. IEEE Trans. Dielectr. Electr. Insul. 2016, 23, 2258–2269. [Google Scholar] [CrossRef]
- Pissis, P.; Apekis, L.; Christodoulides, C.; Niaonakis, M.; Kyritsis, A.; Nedbal, J. Water effects in polyurethane block copolymers. J. Polym. Sci. Part B Polym. Phys. 1996, 34, 1529–1539. [Google Scholar] [CrossRef]
- Havriliak, S.; Negami, S. A complex plane representation of dielectric and mechanical relaxation processes in some polymers. Polymer 1967, 8, 161–210. [Google Scholar] [CrossRef]
- Gunasekaran, G.S.; Natarajan, R.K.; Kalu, A. FTIR spectra and mechanical strength analysis of some selected rubber derivatives. Spectrochim. Acta Part A Mol. Biomol. Spectrosc. 2007, 68, 323–330. [Google Scholar] [CrossRef] [PubMed]
- Litvinov, V.M.; De, P.P. Spectroscopy of Rubbers and Rubbery Materials; RAPRA Technol. Ltd.: Shawbury, UK, 2002. [Google Scholar]
- Mustata, F.S.C.; Tudorachi, N.; Mustata, A.; Mustata, F. Physical and thermal characterization of some cellulose fabrics as reinforced materials for composites. J. Thermal. Anal. Calorim. 2015, 120, 1703–1714. [Google Scholar] [CrossRef]
- Sing, K.S.W.; Everett, D.H.; Haul, R.A.W.; Moscou, L.; Pierotti, R.A.; Rouquerol, J.; Siemieniewska, T. Reporting physisorption data for gas/solid systems—with special reference to the determination of surface area and porosity. Pure Appl. Chem. 1985, 57, 603–619. [Google Scholar] [CrossRef]
- Gujel, A.A.; Bandeira, M.; Menti, C.; Perondi, D.; Guegan, R.; Roesch-Ely, M.; Giovanela, M.; Crespo, J.S. Evaluation of vulcanization nanoactivators with low zinc content: Characterization of zinc oxides, cure, physico-mechanical properties, Zn2+ release in water and cytotoxic effect of EPDM compositions. Polym. Eng. Sci. 2018, 58, 1800–1809. [Google Scholar] [CrossRef]
- Crank, J. The Mathematics of Diffusion, 2nd ed.; Clarendon Press: Oxford, UK, 1975. [Google Scholar]
- Balik, C.M. On the extraction of diffusion coefficients from gravimetric data for sorption of small molecules by polymer thin films. Macromolecules 1996, 29, 3025–3029. [Google Scholar] [CrossRef]
- Brunauer, S.; Deming, L.S.; Deming, W.E.; Teller, E. On a theory of the van der Waals adsorption of gases. J. Am. Chem. Soc. 1940, 62, 1723–1732. [Google Scholar] [CrossRef]
- Murray, K.L.; Seaton, N.A.; Day, M.A. An adsorption-based method for the characterization of pore networks containing both mesopores and macropores. Langmuir 1999, 15, 6728–6737. [Google Scholar] [CrossRef]
- Chigondo, F.; Shoko, P.; Nyamunda, B.C.; Guyo, U.; Moyo, M. Maize stalk as reinforcement in natural rubber composites. Int. J. Sci. Technol. Res. 2013, 2, 263–271. [Google Scholar]


















| Material/Code | Loading (phr *) | ||||
|---|---|---|---|---|---|
| E0 | EF5 | EF10 | EF15 | EF20 | |
| EPDM | 100 | 100 | 100 | 100 | 100 |
| Flax | 0 | 5 | 10 | 15 | 20 |
| PEG 400 | 3 | 3 | 3 | 3 | 3 |
| Irganox 1010 | 1 | 1 | 1 | 1 | 1 |
| Perkadox 14-40B | 8 | 8 | 8 | 8 | 8 |
| Sample | Sorption Capacity, % d.b. | Average Pore Size, nm | BET Data | D1, cm2 s−1 (Mt/M∞)2 < 0.5 | D2, cm2 s−1 (Mt/M∞)2 > 0.5 | |
|---|---|---|---|---|---|---|
| Area, m2 g−1 | Monolayer, g g−1 | |||||
| E0 | 0.28 | 3.07 | 1.827 | 0.00052 | 1.68 × 10−8 | 5.32 × 10−8 |
| E0-75 | 0.29 | 3.83 | 1.519 | 0.00320 | 5.30 × 10−8 | 1.24 × 10−7 |
| E0-300 | 0.35 | 5.12 | 1.370 | 0.00390 | 5.67 × 10−8 | 1.64 × 10−7 |
| EP0-600 | 0.52 | 1.19 | 8.782 | 0.00250 | 5.28 × 10−8 | 1.26 × 10−7 |
| EF5 | 0.88 | 2.10 | 8.416 | 0.00234 | 4.92 × 10−8 | 1.27 × 10−7 |
| EF5-75 | 0.63 | 2.14 | 5.900 | 0.00168 | 4.59 × 10−8 | 1.40 × 10−7 |
| EF5-300 | 0.92 | 1.72 | 10.700 | 0.00305 | 4.59 × 10−8 | 1.35 × 10−7 |
| EF5-600 | 0.48 | 1.11 | 8.680 | 0.00240 | 6.80 × 10−8 | 1.32 × 10−7 |
| EF15 | 1.48 | 1.56 | 19.050 | 0.00540 | 4.60 × 10−8 | 1.30 × 10−7 |
| EF15-75 | 1.12 | 1.36 | 16.554 | 0.00471 | 4.29 × 10−8 | 1.56 × 10−7 |
| EF15-300 | 0.82 | 2.05 | 8.039 | 0.00229 | 4.32 × 10−8 | 1.42 × 10−7 |
| EF15-600 | 0.96 | 2.08 | 9.280 | 0.00264 | 4.69 × 10−8 | 1.59 × 10−7 |
| EF20 | 1.51 | 0.72 | 42.090 | 0.00110 | 4.84 × 10−8 | 1.05 × 10−7 |
| EF20-75 | 3.19 | 2.54 | 25.180 | 0.00730 | 4.54 × 10−8 | 1.72 × 10−7 |
| EF20-300 | 2.31 | 1.47 | 31.617 | 0.00900 | 4.96 × 10−8 | 1.43 × 10−7 |
| EF20-600 | 1.47 | 1.60 | 18.430 | 0.00520 | 4.91 × 10−8 | 1.47 × 10−7 |
Publisher’s Note: MDPI stays neutral with regard to jurisdictional claims in published maps and institutional affiliations. |
© 2021 by the authors. Licensee MDPI, Basel, Switzerland. This article is an open access article distributed under the terms and conditions of the Creative Commons Attribution (CC BY) license (https://creativecommons.org/licenses/by/4.0/).
Share and Cite
Airinei, A.; Asandulesa, M.; Stelescu, M.D.; Tudorachi, N.; Fifere, N.; Bele, A.; Musteata, V. Dielectric, Thermal and Water Absorption Properties of Some EPDM/Flax Fiber Composites. Polymers 2021, 13, 2555. https://doi.org/10.3390/polym13152555
Airinei A, Asandulesa M, Stelescu MD, Tudorachi N, Fifere N, Bele A, Musteata V. Dielectric, Thermal and Water Absorption Properties of Some EPDM/Flax Fiber Composites. Polymers. 2021; 13(15):2555. https://doi.org/10.3390/polym13152555
Chicago/Turabian StyleAirinei, Anton, Mihai Asandulesa, Maria Daniela Stelescu, Niţǎ Tudorachi, Nicusor Fifere, Adrian Bele, and Valentina Musteata. 2021. "Dielectric, Thermal and Water Absorption Properties of Some EPDM/Flax Fiber Composites" Polymers 13, no. 15: 2555. https://doi.org/10.3390/polym13152555
APA StyleAirinei, A., Asandulesa, M., Stelescu, M. D., Tudorachi, N., Fifere, N., Bele, A., & Musteata, V. (2021). Dielectric, Thermal and Water Absorption Properties of Some EPDM/Flax Fiber Composites. Polymers, 13(15), 2555. https://doi.org/10.3390/polym13152555

