Simultaneous Determination of Refractive Index and Thickness of Submicron Optical Polymer Films from Transmission Spectra
Abstract
:1. Introduction
2. Materials and Methods
2.1. Refractive Index Dispersion Analysis of OPs
2.2. Method for Simultaneous Determination of n and h in OP Thin Films
2.3. Film Preparation and Optical Measurements
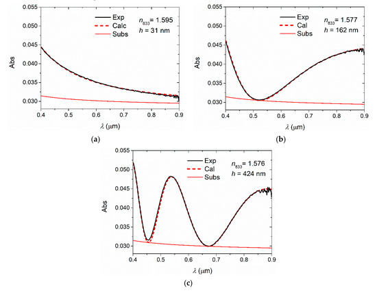
3. Results
3.1. Commercial OPs
3.2. Dye-Doped OP
4. Discussion
5. Conclusions
Supplementary Materials
Author Contributions
Funding
Institutional Review Board Statement
Informed Consent Statement
Data Availability Statement
Acknowledgments
Conflicts of Interest
Appendix A


References
- Yu, K.; Park, B.; Kim, G.; Kim, C.H.; Park, S.; Kim, J.; Jung, S.; Jeong, S.; Kwon, S.; Kang, H.; et al. Optically transparent semiconducting polymer nanonetwork for flexible and transparent electronics. Proc. Natl. Acad. Sci. USA 2016, 113, 14261–14266. [Google Scholar] [CrossRef] [PubMed] [Green Version]
- Thejo Kalyani, N.; Dhoble, S.J. Organic light emitting diodes: Energy saving lighting technology-A review. Renew. Sustain. Energy Rev. 2012, 16, 2696–2723. [Google Scholar] [CrossRef]
- Chen, K.; Hu, Q.; Liu, T.; Zhao, L.; Luo, D.; Wu, J.; Zhang, Y.; Zhang, W.; Liu, F.; Russell, T.P.; et al. Charge-Carrier Balance for Highly Efficient Inverted Planar Heterojunction Perovskite Solar Cells. Adv. Mater. 2016, 28, 10718–10724. [Google Scholar] [CrossRef] [PubMed] [Green Version]
- Quintana, J.A.; Villalvilla, J.M.; Morales-Vidal, M.; Boj, P.G.; Zhu, X.; Ruangsupapichat, N.; Tsuji, H.; Nakamura, E.; Díaz-García, M.A. An Efficient and Color-Tunable Solution-Processed Organic Thin-Film Laser with a Polymeric Top-Layer Resonator. Adv. Opt. Mater. 2017, 5, 1700238. [Google Scholar] [CrossRef]
- Logothetidis, S.; Laskarakis, A. Spectroscopic Ellipsometry for Functional Nano-Layers of Flexible Organic Electronic Devices. In Ellipsometry at the Nanoscale; Springer: Berlin/Heidelberg, Germany, 2013; pp. 529–556. [Google Scholar]
- Pourjamal, S.; Mäntynen, H.; Jaanson, P.; Rosu, D.M.; Hertwig, A.; Manoocheri, F.; Ikonen, E. Characterization of thin-film thickness. Metrologia 2014, 51, S302–S308. [Google Scholar] [CrossRef]
- Swanepoel, R. Determination of the thickness and optical constants of amorphous silicon. J. Phys. E 1983, 16, 1214–1222. [Google Scholar] [CrossRef]
- Poelman, D.; Smet, P.F. Methods for the determination of the optical constants of thin films from single transmission measurements: A critical review. J. Phys. D Appl. Phys. 2003, 36, 1850–1857. [Google Scholar] [CrossRef]
- Minkov, D.A.; Gavrilov, G.M.; Angelov, G.V.; Moreno, J.M.D.; Vázquez, C.G.; Ruano, S.M.F.; Márquez, E. Optimisation of the envelope method for characterisation of optical thin film on substrate specimens from their normal incidence transmittance spectrum. Thin Solid Films 2018, 645, 370–378. [Google Scholar] [CrossRef]
- Bonal, V.; Quintana, J.A.; Muñoz-Mármol, R.; Villalvilla, J.M.; Boj, P.G.; Díaz-García, M.A. Sub-400 nm film thickness determination from transmission spectra in organic distributed feedback lasers fabrication. Thin Solid Films 2019, 692, 137580. [Google Scholar] [CrossRef]
- Lytle, J.D. Polymeric optics. In Handbook of Optics. Volume II. Devices, Measurements, and Properties; Bass, M., Van Stryland, E.W., Williams, D.R., Wolfe, W.L., Eds.; McGraw-Hill Inc.: New York, NY, USA, 1995; pp. 34.1–34.21. ISBN 0-07-047974-7. [Google Scholar]
- Sultanova, N.G.; Kasarova, S.N.; Nikolov, I.D. Characterization of optical properties of optical polymers. Opt. Quantum Electron. 2013, 45, 221–232. [Google Scholar] [CrossRef]
- Sultanova, N.; Kasarova, S.; Nikolov, I. Refractive index considerations of polymers for optics. In Proceedings of the AIP Conference Proceedings; American Institute of Physics Inc.: University Park, MD, USA, 2019; Volume 2075, p. 30008. [Google Scholar]
- Sultanova, N.; Kasarova, S.; Nikolov, I. Dispersion Properties of Optical Polymers. Acta Phys. Pol. A 2009, 116, 585–587. [Google Scholar] [CrossRef]
- Han, Y.; Huang, X.; Rohrbach, A.C.W.; Roth, C.B. Comparing refractive index and density changes with decreasing film thickness in thin supported films across different polymers. J. Chem. Phys. 2020, 153, 044902. [Google Scholar] [CrossRef] [PubMed]
- Bonal, V.; Quintana, J.A.; Villalvilla, J.M.; Boj, P.G.; Díaz-García, M.A. Controlling the emission properties of solution-processed organic distributed feedback lasers through resonator design. Sci. Rep. 2019, 9, 11159. [Google Scholar] [CrossRef] [PubMed] [Green Version]
- Bonal, V.; Villalvilla, J.M.; Quintana, J.A.; Boj, P.G.; Lin, N.; Watanabe, S.; Kazlauskas, K.; Adomeniene, O.; Jursenas, S.; Tsuji, H.; et al. Blue and Deep-Blue-Emitting Organic Lasers with Top-Layer Distributed Feedback Resonators. Adv. Opt. Mater. 2020, 8, 2001153. [Google Scholar] [CrossRef]
- Calzado, E.M.; Villalvilla, J.M.; Boj, P.G.; Quintana, J.A.; Díaz-García, M.A. Concentration dependence of amplified spontaneous emission in organic-based waveguides. Org. Electron. 2006, 7, 319–329. [Google Scholar] [CrossRef]
- Calzado, E.M.; Villalvilla, J.M.; Boj, P.G.; Quintana, J.A.; Gómez, R.; Segura, J.L.; Díaz García, M.A. Amplified spontaneous emission in polymer films doped with a perylenediimide derivative. Appl. Opt. 2007, 46, 3836–3842. [Google Scholar] [CrossRef]
- Bonal, V.; Muñoz-Mármol, R.; Gordillo Gámez, F.; Morales-Vidal, M.; Villalvilla, J.M.; Boj, P.G.; Quintana, J.A.; Gu, Y.; Wu, J.; Casado, J.; et al. Solution-processed nanographene distributed feedback lasers. Nat. Commun. 2019, 10, 3327. [Google Scholar] [CrossRef] [Green Version]
- Brasse, Y.; Müller, M.B.; Karg, M.; Kuttner, C.; König, T.A.F.; Fery, A. Magnetic and Electric Resonances in Particle-to-Film-Coupled Functional Nanostructures. ACS Appl. Mater. Interfaces 2018, 10, 3133–3141. [Google Scholar] [CrossRef]
- König, T.A.F.; Ledin, P.A.; Kerszulis, J.; Mahmoud, M.A.; El-Sayed, M.A.; Reynolds, J.R.; Tsukruk, V.V. Electrically tunable plasmonic behavior of nanocube-polymer nanomaterials induced by a redox-active electrochromic polymer. ACS Nano 2014, 8, 6182–6192. [Google Scholar] [CrossRef] [PubMed]
- Zhang, X.; Qiu, J.; Li, X.; Zhao, J.; Liu, L. Complex refractive indices measurements of polymers in visible and near-infrared bands. Appl. Opt. 2020, 59, 2337. [Google Scholar] [CrossRef]
- Kasarova, S.N.; Sultanova, N.G.; Petrova, T.; Dragostinova, V.; Nikolov, I. Optical properties of thin polymer films. In Proceedings of the International Conference on Ultrafast and Nonlinear Optics 2009; SPIE: Bellingham, WA, USA, 2009; Volume 7501, p. 75010P. [Google Scholar]
- Vogt, M.R.; Holst, H.; Schulte-Huxel, H.; Blankemeyer, S.; Witteck, R.; Hinken, D.; Winter, M.; Min, B.; Schinke, C.; Ahrens, I.; et al. Optical Constants of UV Transparent EVA and the Impact on the PV Module Output Power under Realistic Irradiation. In Proceedings of the Energy Procedia; Elsevier Ltd.: Amsterdam, The Netherlands, 2016; Volume 92, pp. 523–530. [Google Scholar]
- Schnepf, M.J.; Mayer, M.; Kuttner, C.; Tebbe, M.; Wolf, D.; Dulle, M.; Altantzis, T.; Formanek, P.; Förster, S.; Bals, S.; et al. Nanorattles with tailored electric field enhancement. Nanoscale 2017, 9, 9376–9385. [Google Scholar] [CrossRef] [Green Version]
- Shen, M.; Kawai, H. Properties and structure of polymeric alloys. AIChE J. 1978, 24, 1–20. [Google Scholar] [CrossRef]
- Maruhashi, Y.; Iida, S. Transparency of polymer blends. Polym. Eng. Sci. 2001, 41, 1987–1995. [Google Scholar] [CrossRef]
- Nahida, J.H.; Marwa, R.F. Study of the optical constants of the PMMA/PC blends. In Proceedings of the AIP Conference Proceedings; American Institute of PhysicsAIP: University Park, MD, USA, 2011; Volume 1400, pp. 585–595. [Google Scholar]
- Soave, P.A. Refractive index control in bicomponent polymer films for integrated thermo-optical applications. Opt. Eng. 2009, 48, 124603. [Google Scholar] [CrossRef]
- Hifumi, R.; Tomita, I. Synthesis and high refractive index properties of poly(thiophosphonate)s. Polym. J. 2018, 50, 467–471. [Google Scholar] [CrossRef]
- Okutsu, R.; Suzuki, Y.; Ando, S.; Ueda, M. Poly(thioether sulfone) with high refractive index and high Abbe’s number. Macromolecules 2008, 41, 6165–6168. [Google Scholar] [CrossRef]
- Okutsu, R.; Ando, S.; Ueda, M. Sulfur-containing poly(meth)acrylates with high refractive indices and high Abbe’s numbers. Chem. Mater. 2008, 20, 4017–4023. [Google Scholar] [CrossRef]
- Malitson, I.H. Interspecimen Comparison of the Refractive Index of Fused Silica. J. Opt. Soc. Am. 1965, 55, 1205–1209. [Google Scholar] [CrossRef]
- Kim, M.; Huang, Y.; Choi, K.; Hidrovo, C.H. The improved resistance of PDMS to pressure-induced deformation and chemical solvent swelling for microfluidic devices. Microelectron. Eng. 2014, 124, 66–75. [Google Scholar] [CrossRef]






| Polymer | Ref. | n833 | n633 | n633 (Equation(3)) | n486 | n486 (Equation(4)) |
|---|---|---|---|---|---|---|
| PVA | [26] | 1.470 | 1.477 | 1.475 | 1.488 | 1.482 |
| EVASKY S87 | [25] | 1.488 | 1.492 | 1.493 | 1.500 | 1.501 |
| Polyester (ECC) | [24] | 1.491 | 1.496 | 1.496 | 1.505 | 1.504 |
| PNIPAM | [21] | 1.497 | 1.501 | 1.502 | 1.510 | 1.511 |
| PVP | [22] | 1.520 | 1.525 | 1.526 | 1.536 | 1.537 |
| PMMA/PC 20% | [30] | 1.520 | 1.524 | 1.526 | 1.533 | 1.537 |
| Gelatin 8% | VASE | 1.535 | 1.541 | 1.542 | 1.552 | 1.555 |
| PVC | [23] | 1.534 | 1.540 | 1.541 | 1.550 | 1.554 |
| PET | [23] | 1.556 | 1.565 | 1.565 | 1.584 | 1.581 |
| PC1 | [31] | 1.595 | 1.606 | 1.608 | 1.627 | 1.631 |
| Sample | n833 | h (nm) | ||
|---|---|---|---|---|
| Polymer % in Solvent (Spin-Coat) | SP | VASE | SP | VASE |
| PS 0.9% | 1.595 | 1.598 | 31 | 31.76 |
| PS 1.2% | 1.579 | 1.585 | 48 | 48.62 |
| PS 1.9% | 1.576 | 1.581 | 82 | 79.44 |
| PS 3.0% | 1.577 | 1.578 | 162 | 161.6 |
| PS 4.6% | 1.577 | 1.575 | 204 | 210.5 |
| PS 6.7% | 1.577 | 1.575 | 335 | 335.9 |
| PS 8.0% | 1.576 | 1.574 | 424 | 427.0 |
| Sample | n833 | h (nm) | ||
|---|---|---|---|---|
| Polymer % in Solvent (Spin-Coat) | SP | VASE | SP | VASE |
| PMMA 2.8% | 1.492 | 1.480 | 64 | 67.15 |
| PMMA 3.2% | 1.486 | 1.478 | 88 | 89.72 |
| PMMA 3.5% | 1.484 | 1.479 | 101 | 105.0 |
| PMMA 5.0% | 1.484 | 1.480 | 234 | 236.7 |
| PMMA 7.0% | 1.483 | 1.479 | 339 | 344.3 |
| PMMA 10% | 1.484 | 1.480 | 529 | 532.0 |
| Gelatin 4.0% | 1.528 | 1.526 | 241 | 236.0 |
| Sample | n833 | h (nm) | ||
|---|---|---|---|---|
| Polymer/Dye (Dye wt % in Polymer) | SP | VASE | SP | VASE |
| PS/PDI-O (1%) | 1.580 | 1.581 | 522 | 521.9 |
| PS/TPD (2.5%) | 1.581 | 1.581 | 374 | 378.9 |
| PS/TPD (5%) | 1.580 | 1.583 | 352 | 349.7 |
| PS/TPD (15%) | 1.592 | 1.594 | 347 | 344.0 |
| PS/TPD (30%) | 1.607 | 1.609 | 324 | 316.9 |
| PS/FZ3 (1%) | 1.575 | 1.579 | 643 | 647.9 |
| PS/FZ3 (1%) V-670 | 1.579 | 1.579 | 647 | 647.9 |
Publisher’s Note: MDPI stays neutral with regard to jurisdictional claims in published maps and institutional affiliations. |
© 2021 by the authors. Licensee MDPI, Basel, Switzerland. This article is an open access article distributed under the terms and conditions of the Creative Commons Attribution (CC BY) license (https://creativecommons.org/licenses/by/4.0/).
Share and Cite
Bonal, V.; Quintana, J.A.; Villalvilla, J.M.; Muñoz-Mármol, R.; Mira-Martínez, J.C.; Boj, P.G.; Cruz, M.E.; Castro, Y.; Díaz-García, M.A. Simultaneous Determination of Refractive Index and Thickness of Submicron Optical Polymer Films from Transmission Spectra. Polymers 2021, 13, 2545. https://doi.org/10.3390/polym13152545
Bonal V, Quintana JA, Villalvilla JM, Muñoz-Mármol R, Mira-Martínez JC, Boj PG, Cruz ME, Castro Y, Díaz-García MA. Simultaneous Determination of Refractive Index and Thickness of Submicron Optical Polymer Films from Transmission Spectra. Polymers. 2021; 13(15):2545. https://doi.org/10.3390/polym13152545
Chicago/Turabian StyleBonal, Víctor, José A. Quintana, José M. Villalvilla, Rafael Muñoz-Mármol, Jose C. Mira-Martínez, Pedro G. Boj, María E. Cruz, Yolanda Castro, and María A. Díaz-García. 2021. "Simultaneous Determination of Refractive Index and Thickness of Submicron Optical Polymer Films from Transmission Spectra" Polymers 13, no. 15: 2545. https://doi.org/10.3390/polym13152545
APA StyleBonal, V., Quintana, J. A., Villalvilla, J. M., Muñoz-Mármol, R., Mira-Martínez, J. C., Boj, P. G., Cruz, M. E., Castro, Y., & Díaz-García, M. A. (2021). Simultaneous Determination of Refractive Index and Thickness of Submicron Optical Polymer Films from Transmission Spectra. Polymers, 13(15), 2545. https://doi.org/10.3390/polym13152545

