The Influence of the Furan and Maleimide Stoichiometry on the Thermoreversible Diels–Alder Network Polymerization
Abstract
:1. Introduction
2. Materials and Methods
2.1. Materials
2.2. Synthesis
2.3. Instruments
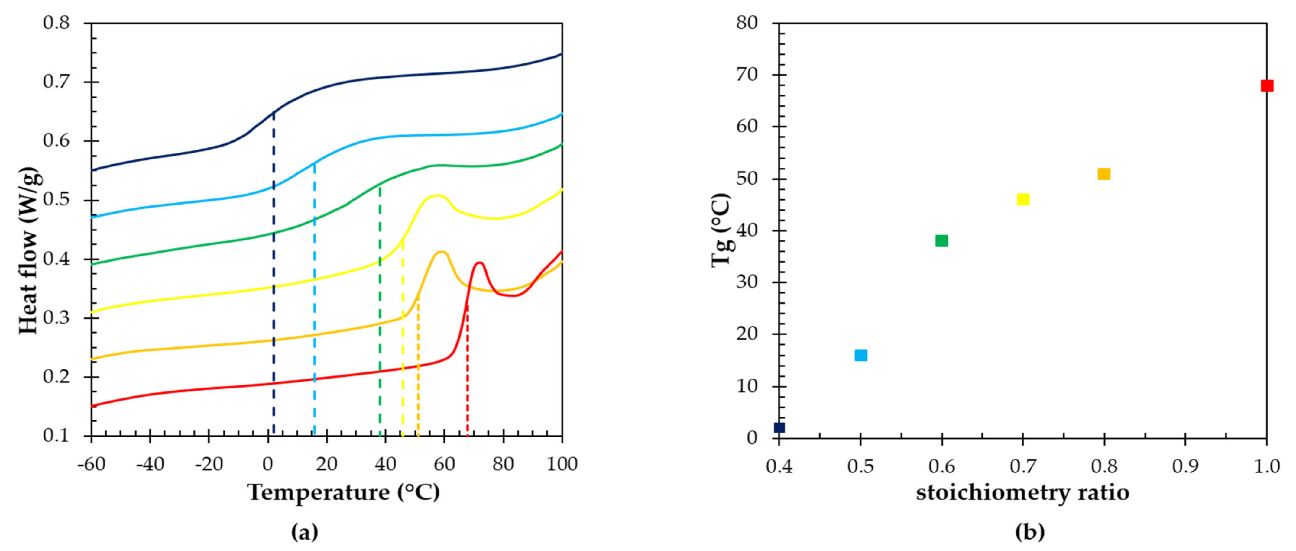
2.3.1. Differential Scanning Calorimetry
2.3.2. Dynamic Mechanical Analysis
2.3.3. Dynamic Rheometry
3. Results
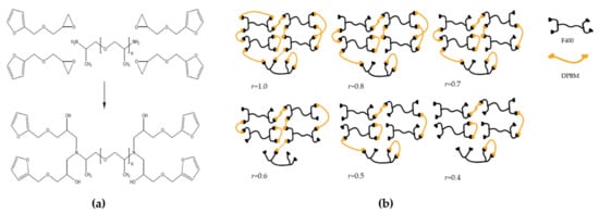
3.1. Effect of Stoichiometric Ratio on Crosslink Density
3.2. Effect of the Stoichiometric Ratio on the Glass Transition Temperature
3.3. Effect of the Stoichiometric Ratio on the Mechanical Properties
3.4. Effect of the Stoichiometric Ratio on the Thermomechanical Behavior
3.4.1. Viscoelastic Properties
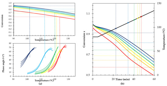
3.4.2. Gel Transition Temperature
3.5. Effect of the Stoichiometric Ratio on the Diels–Alder Kinetics
3.6. Effect of Stoichiometric Ratio on the Self-Healing Behavior
4. Discussion
5. Conclusions
Author Contributions
Funding
Institutional Review Board Statement
Informed Consent Statement
Acknowledgments
Conflicts of Interest
Appendix A
| Kinetics Parameter | Units | Endo Isomer | Exo Isomer |
|---|---|---|---|
| ln(ADA,i) | kg.mol−1 s−1 | 14.3 | 15 |
| EDA,i | kj mol−1 | 60.3 | 65.3 |
| ln(ArDA,i) | s−1 | 30.2 | 31.8 |
| ErDA,i | kJ mol−1 | 108 | 121 |
| ΔrH0i | kJ mol−1 | −47.7 | −55.7 |
| ΔrS0i | J mol−1 K−1 | −133 | −140 |

References
- Flory, P.J. Molecular Size Distribution in Three Dimensional Polymers. I. Gelation. J. Am. Chem. Soc. 1941, 63, 3083–3090. [Google Scholar] [CrossRef]
- Kihara, N.; Komatsu, S.; Takata, T.; Endo, T. Significance of Stoichiometric Imbalance in Step Polymerization via Reactive Intermediate. Macromolecules 1999, 32, 4776–4783. [Google Scholar] [CrossRef]
- Diels, O.; Kech, H. Synthesen in Der Hydroaromatischen Reihe. XXIV “Dien-Synthesen” Stickstoffhaltiger Heteroringe. Justus Liebigs Ann. Chem. 1935, 519, 140–146. [Google Scholar] [CrossRef]
- Liu, Y.-L.; Chuo, T.-W. Self-Healing Polymers Based on Thermally Reversible Diels–Alder Chemistry. Polym. Chem. 2013, 4, 2194–2205. [Google Scholar] [CrossRef]
- Toncelli, C.; Reus, D.C.D.; Picchioni, F.; Broekhuis, A.A. Properties of Reversible DielsAlder Furan/Maleimide Polymer Networks as Function of Crosslink Density. Macromol. Chem. Phys. 2012, 213, 157–165. [Google Scholar] [CrossRef]
- Mangialetto, J.; Cuvellier, A.; Verhelle, R.; Brancart, J.; Rahier, H.; Van Assche, G.; Van den Brande, N.; Van Mele, B. Diffusion- and Mobility-Controlled Self-Healing Polymer Networks with Dynamic Covalent Bonding. Macromolecules 2019, 52, 8440–8452. [Google Scholar] [CrossRef]
- Diaz, M.M.; Van Assche, G.; Maurer, F.H.J.; Van Mele, B. Thermophysical Characterization of a Reversible Dynamic Polymer Network Based on Kinetics and Equilibrium of an Amorphous Furan-Maleimide Diels-Alder Cycloaddition. Polymer 2017, 120, 176–188. [Google Scholar] [CrossRef]
- Cuvellier, A.; Verhelle, R.; Brancart, J.; Vanderborght, B.; Van Assche, G.; Rahier, H. The Influence of Stereochemistry on the Reactivity of the Diels-Alder Cycloaddition and the Implications for Reversible Network Polymerization. Polym. Chem. 2019, 10, 473–485. [Google Scholar] [CrossRef]
- Roels, E.; Terryn, S.; Brancart, J.; Verhelle, R.; Van Assche, G.; Vanderborght, B. Additive Manufacturing for Self-Healing Soft Robots. Soft Robot. 2020, 7, 711–723. [Google Scholar] [CrossRef] [PubMed]
- Terryn, S.; Roels, E.; Van Assche, G.; Vanderborght, B. Self-Healing and High Interfacial Strength in Multi- Material Soft Pneumatic Robots via Reversible Diels-Alder Bonds. Actuators 2020, 9, 23. [Google Scholar] [CrossRef]
- Roels, E.; Terryn, S.; Brancart, J.; Van Assche, G.; Vanderborght, B. A Multi-Material Self-Healing Soft Gripper. In Proceedings of the 2019 2nd IEEE International Conference on Soft Robotics (RoboSoft), Seoul, Korea, 14–18 April 2019; pp. 316–321. [Google Scholar]
- Terryn, S.; Brancart, J.; Roels, E.; Van Assche, G.; Vanderborght, B. Room Temperature Self-Healing in Soft Pneumatic Robotics: Autonomous Self-Healing in a Diels-Alder Polymer Network. IEEE Robot. Automat. Mag. 2020, 27, 44–55. [Google Scholar] [CrossRef]
- Terryn, S.; Langenbach, J.; Roels, E.; Brancart, J.; Bakkali-Hassani, C.; Poutrel, Q.-A.; Georgopoulou, A.; George Thuruthel, T.; Safaei, A.; Ferrentino, P.; et al. A Review on Self-Healing Polymers for Soft Robotics. Mater. Today 2021. [Google Scholar] [CrossRef]
- Scheltjens, G.; Brancart, J.; De Graeve, I.; Van Mele, B.; Terryn, H.; Van Assche, G. Self-healing property characterization of reversible thermoset coatings. J. Therm. Anal. Calorim. 2011, 105, 805–809. [Google Scholar] [CrossRef]
- Brancart, J.; Scheltjens, G.; Muselle, T.; Van Mele, B.; Terryn, H.; Van Assche, G. Atomic Force Microscopy—Based Study of Self-Healing Coatings Based on Reversible Polymer Network Systems. J. Intell. Mater. Syst. Struct. 2014, 25, 40–46. [Google Scholar] [CrossRef]
- Brancart, J.; Verhelle, R.; Mangialetto, J.; Van Assche, G. Coupling the Microscopic Healing Behaviour of Coatings to the Thermoreversible Diels-Alder Network Formation. Coatings 2019, 9, 13. [Google Scholar] [CrossRef] [Green Version]
- Terryn, S.; Brancart, J.; Lefeber, D.; Van Assche, G.; Vanderborght, B. Self-Healing Soft Pneumatic Robots. Sci. Robot. 2017, 2, eaan4268. [Google Scholar] [CrossRef] [PubMed]
- Scheltjens, G.; Diaz, M.M.; Brancart, J.; Van Assche, G.; Van Mele, B. Thermal Evaluation of a Self-Healing Polymer Network Coating Based on Reversible Covalent Bonding. React. Funct. Polym. 2013, 73, 413–420. [Google Scholar] [CrossRef]
- Li, H.; Chen, G.; Su, H.; Li, D.; Sun, L.; Yang, J. Effect of the Stoichiometric Ratio on the Crosslinked Network Structure and Cryogenic Properties of Epoxy Resins Cured at Low Temperature. Eur. Polym. J. 2019, 112, 792–798. [Google Scholar] [CrossRef]
- Alhabill, F.N.; Ayoob, R.; Andritsch, T.; Vaughan, A.S. Effect of Resin/Hardener Stoichiometry on Electrical Behavior of Epoxy Networks. IEEE Trans. Dielect. Electr. Insul. 2017, 24, 3739–3749. [Google Scholar] [CrossRef] [Green Version]
- Pandini, S.; Bignotti, F.; Baldi, F.; Sartore, L.; Consolati, G.; Panzarasa, G. Thermomechanical and Large Deformation Behaviors of Antiplasticized Epoxy Resins: Effect of Material Formulation and Network Architecture. Polym. Eng. Sci. 2017, 57, 553–565. [Google Scholar] [CrossRef]
- Quienne, B.; Kasmi, N.; Dieden, R.; Caillol, S.; Habibi, Y. Isocyanate-Free Fully Biobased Star Polyester-Urethanes: Synthesis and Thermal Properties. Biomacromolecules 2020, 21, 1943–1951. [Google Scholar] [CrossRef]
- Cash, J.J.; Kubo, T.; Bapat, A.P.; Sumerlin, B.S. Room-Temperature Self-Healing Polymers Based on Dynamic-Covalent Boronic Esters. Macromolecules 2015, 48, 2098–2106. [Google Scholar] [CrossRef]
- Capelot, M.; Montarnal, D.; Tournilhac, F.; Leibler, L. Metal-Catalyzed Transesterification for Healing and Assembling of Thermosets. J. Am. Chem. Soc. 2012, 134, 7664–7667. [Google Scholar] [CrossRef]
- Poutrel, Q.-A.; Blaker, J.J.; Soutis, C.; Tournilhac, F.; Gresil, M. Dicarboxylic Acid-Epoxy Vitrimers: Influence of the off-Stoichiometric Acid Content on Cure Reactions and Thermo-Mechanical Properties. Polym. Chem. 2020, 11, 5327–5338. [Google Scholar] [CrossRef]
- Winter, H.H. Can the gel point of a cross-linking polymer be detected by the G’–G’’ crossover? Polym. Eng. Sci. 1987, 27, 1698–1702. [Google Scholar] [CrossRef]
- Van Damme, J.; van den Berg, O.; Brancart, J.; Vlaminck, L.; Huyck, C.; Van Assche, G.; Van Mele, B.; Du Prez, F. Anthracene-Based Thiol–Ene Networks with Thermo-Degradable and Photo-Reversible Properties. Macromolecules 2017, 50, 1930–1938. [Google Scholar] [CrossRef]
- Stockmayer, W.H. Theory of Molecular Size Distribution and Gel Formation in Branched Polymers II. General Cross Linking. J. Chem. Phys. 1944, 12, 125–131. [Google Scholar] [CrossRef]










| Network | Initial Condition | Equilibrium Condition | |||||
|---|---|---|---|---|---|---|---|
| [M]0 (mol kg−1) | [F]0 (mol kg−1) | [DA]eq (mol kg−1) | [M]eq (mol kg−1) | [F]eq (mol kg−1) | [x]eq at 25 °C | [x]eq at 100 °C | |
| DPBM-F400 (r = 1.0) | 2.231 | 2.231 | 2.149 | 0.082 | 0.082 | 0.963 | 0.710 |
| DPBM-F400 (r = 0.8) | 1.940 | 2.425 | 1.928 | 0.012 | 0.497 | 0.994 | 0.777 |
| DPBM-F400 (r = 0.7) | 1.775 | 2.535 | 1.768 | 0.007 | 0.768 | 0.996 | 0.807 |
| DPBM-F400 (r = 0.6) | 1.594 | 2.656 | 1.589 | 0.005 | 1.067 | 0.997 | 0.834 |
| DPBM-F400 (r = 0.5) | 1.394 | 2.789 | 1.391 | 0.003 | 1.397 | 0.998 | 0.858 |
| DPBM-F400 (r = 0.4) | 1.174 | 2.935 | 1.172 | 0.002 | 1.763 | 0.999 | 0.878 |
| Network | [DA]eq at 25 °C (mol kg−1) | Tg (°C) | Young’s Modulus (MPa) | Fracture Stress (MPa) | Fracture Strain (%) |
|---|---|---|---|---|---|
| DPBM-F400 (r = 1.0) | 2.149 | 68 | 1755 ± 78 | 20.9 ± 1.8 | 1.58 ± 0.07 |
| DPBM-F400 (r = 0.8) | 1.928 | 51 | 844 ± 12 | 13.4 ± 0.2 | 2.0 ± 0.1 |
| DPBM-F400 (r = 0.7) | 1.768 | 46 | 584 ± 49 | 7.6 ± 0.3 | 2.1 ± 0.2 |
| DPBM-F400 (r = 0.6) | 1.589 | 38 | 216 ± 28 | 4.5 ± 1.6 | 3.4 ± 0.2 |
| DPBM-F400 (r = 0.5) | 1.391 | 16 | 9.8 ± 2.1 | 0.48 ± 0.06 | 156 ± 17 |
| DPBM-F400 (r = 0.4) | 1.172 | 2 | 0.23 ± 0.04 | 0.13 ± 0.01 | 317 ± 14 |
| Network | [DA]eq (mol kg−1) | E′ (MPa) | E″ (MPa) | δ |
|---|---|---|---|---|
| DPBM-F400 (r = 1.0) | 2.149 | 2023 | 208.2 | 4.68 |
| DPBM-F400 (r = 0.8) | 1.928 | 1974 | 161.7 | 5.87 |
| DPBM-F400 (r = 0.7) | 1.768 | 1896 | 218.7 | 6.58 |
| DPBM-F400 (r = 0.6) | 1.589 | 594.5 | 277.6 | 25.03 |
| DPBM-F400 (r = 0.5) | 1.391 | 208.8 | 119.5 | 29.79 |
| DPBM-F400 (r = 0.4) | 1.172 | 45.95 | 47.2 | 45.74 |
| Network | xgel | Tgel,sim (eq) (°C) | Tgel,sim (non-eq) (°C) | Tgel,exp (°C) | tgel, 25 °C (h) | t95% eq, 25 °C (h) |
|---|---|---|---|---|---|---|
| DPBM-F400 (r = 1.0) | 0.577 | 121.7 | 122.5 | 124.0 | 2.83 | 216 |
| DPBM-F400 (r = 0.8) | 0.645 | 120.0 | 120.9 | 123.0 | 3.00 | 18.3 |
| DPBM-F400 (r = 0.7) | 0.690 | 117.9 | 118.9 | 121.5 | 3.17 | 12.5 |
| DPBM-F400 (r = 0.6) | 0.745 | 114.2 | 115.4 | 120.5 | 3.33 | 10.0 |
| DPBM-F400 (r = 0.5) | 0.816 | 107.4 | 109.5 | 113.0 | 4.00 | 8.33 |
| DPBM-F400 (r = 0.4) | 0.913 | 91.8 | 97.6 | 102.0 | 5.28 | 6.94 |
Publisher’s Note: MDPI stays neutral with regard to jurisdictional claims in published maps and institutional affiliations. |
© 2021 by the authors. Licensee MDPI, Basel, Switzerland. This article is an open access article distributed under the terms and conditions of the Creative Commons Attribution (CC BY) license (https://creativecommons.org/licenses/by/4.0/).
Share and Cite
Safaei, A.; Terryn, S.; Vanderborght, B.; Van Assche, G.; Brancart, J. The Influence of the Furan and Maleimide Stoichiometry on the Thermoreversible Diels–Alder Network Polymerization. Polymers 2021, 13, 2522. https://doi.org/10.3390/polym13152522
Safaei A, Terryn S, Vanderborght B, Van Assche G, Brancart J. The Influence of the Furan and Maleimide Stoichiometry on the Thermoreversible Diels–Alder Network Polymerization. Polymers. 2021; 13(15):2522. https://doi.org/10.3390/polym13152522
Chicago/Turabian StyleSafaei, Ali, Seppe Terryn, Bram Vanderborght, Guy Van Assche, and Joost Brancart. 2021. "The Influence of the Furan and Maleimide Stoichiometry on the Thermoreversible Diels–Alder Network Polymerization" Polymers 13, no. 15: 2522. https://doi.org/10.3390/polym13152522
APA StyleSafaei, A., Terryn, S., Vanderborght, B., Van Assche, G., & Brancart, J. (2021). The Influence of the Furan and Maleimide Stoichiometry on the Thermoreversible Diels–Alder Network Polymerization. Polymers, 13(15), 2522. https://doi.org/10.3390/polym13152522

