Temperature Effect of Water Coagulation Bath on Chitin Fiber Prepared through Wet-Spinning Process
Abstract
1. Introduction
2. Materials and Methods
2.1. Materials
2.2. Extraction of Chitin from Crab Shell Waste
2.3. Preparation of Chitin Fiber through Wet-Spinning Process
2.4. Characterization of Chitin Solution and Chitin Fiber
2.4.1. Viscosity
2.4.2. Gel Permeation Chromatography (GPC)
2.4.3. Fourier-Transform Infrared Spectroscopy (FTIR)
2.4.4. Size Measurement
2.4.5. Morphology Observation
2.4.6. Diffusivity Experiment
2.4.7. Water Content
2.4.8. Mechanical Properties
3. Results and Discussion
3.1. The Properties of the Prepared Chitin
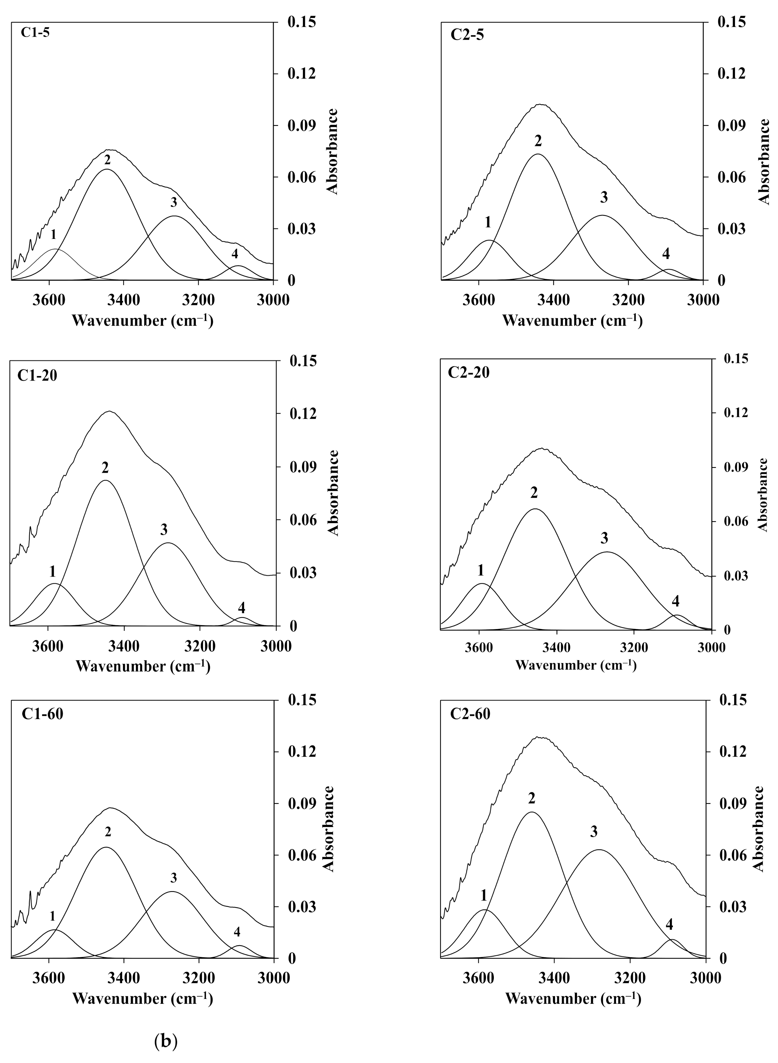
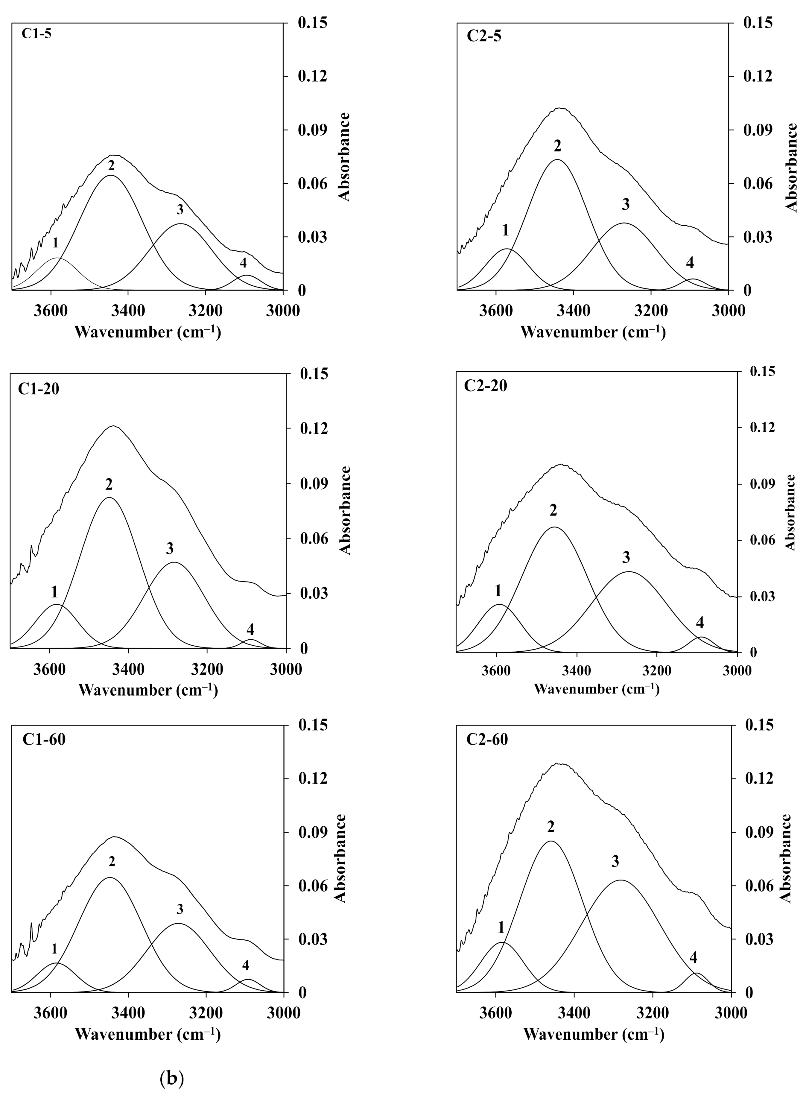
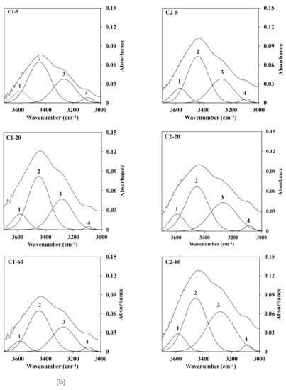
3.2. Characteristics of the Chitin Solution and Chitin Fiber Obtained at Different Temperatures of the Water Coagulation Bath
4. Conclusions
Funding
Institutional Review Board Statement
Informed Consent Statement
Data Availability Statement
Acknowledgments
Conflicts of Interest
References
- Jaworski, A.M.; Jaworski, J. Fabrication and applications of biological fibers. Bio Des. 2014, 2, 69–80. [Google Scholar]
- Viswanathan, G.; Murugesan, S.; Pushparaj, V.; Nalamasu, O.; Ajayan, P.M.; Linhardt, R.J. Preparation of Biopolymer Fibers by Electrospinning from Room Temperature Ionic Liquids. Biomacromolecules 2006, 7, 415–418. [Google Scholar] [CrossRef] [PubMed]
- Jun, Y.; Kang, E.; Chae, S.; Lee, S.-H. Microfluidic spinning of micro- and nano-scale fibers for tissue engineering. Lab Chip 2014, 14, 2145–2160. [Google Scholar] [CrossRef] [PubMed]
- Santos, P.A.; Spinacé, M.A.; Fermoselli, K.K.; De Paoli, M.-A. Polyamide-6/vegetal fiber composite prepared by extrusion and injection molding. Compos. Part A Appl. Sci. Manuf. 2007, 38, 2404–2411. [Google Scholar] [CrossRef]
- Öksüz, M.; Erbil, H.Y. Wet-spun graphene filaments: Effect of temperature of coagulation bath and type of reducing agents on mechanical & electrical properties. RSC Adv. 2018, 8, 17443–17452. [Google Scholar]
- Kobayashi, T.; Ohshiro, M.; Nakamoto, K.; Uchida, S. Decontamination of Extra-Diluted Radioactive Cesium in Fukushima Water Using Zeolite–Polymer Composite Fibers. Ind. Eng. Chem. Res. 2016, 55, 6996–7002. [Google Scholar] [CrossRef]
- Nakamoto, K.; Ohshiro, M.; Kobayashi, T. Mordenite zeolite—Polyethersulfone composite fibers developed for decontamination of heavy metal ions. J. Environ. Chem. Eng. 2017, 5, 513–525. [Google Scholar] [CrossRef]
- Yang, D.; Fadeev, A.; Adams, P.N.; Mattes, B.R. Controlling macrovoid formation in wet-spun polyaniline fibers. In Proceedings of the SPIE’s 8th Annual International Symposium on Smart Structures and Materials, Newport Beach, CA, USA, 4–8 March 2001; pp. 59–72. [Google Scholar]
- Kitagawa, T.; Kiriyama, K.; Shimizu, Y. A Novel Random Preferential Orientation of the Crystal A-axis Along the Radial Direction Confirmed on the Poly-p-phenylenebenzobisoxazole (PBO) Fiber Made with a Water. Sen’i Gakkaishi 2015, 71, 224–231. [Google Scholar] [CrossRef]
- Ji, B.-H.; Wang, C.-G.; Wang, Y.-X. Effect of jet stretch on polyacrylonitrile as-spun fiber formation. J. Appl. Polym. Sci. 2006, 103, 3348–3352. [Google Scholar] [CrossRef]
- Wang, Y.-X.; Wang, C.-G.; Yu, M.-J. Effects of different coagulation conditions on polyacrylonitrile fibers wet spun in a system of dimethylsulphoxide and water. J. Appl. Polym. Sci. 2007, 104, 3723–3729. [Google Scholar] [CrossRef]
- Tovar-Carrillo, K.L.; Nakasone, K.; Sugita, S.; Tagaya, M.; Kobayashi, T. Effects of sodium hypochlorite on Agave tequilana Weber bagasse fibers used to elaborate cyto and biocompatible hydrogel films. Mater. Sci. Eng. C 2014, 42, 808–815. [Google Scholar] [CrossRef]
- Nakasone, K.; Kobayashi, T. Cytocompatible cellulose hydrogels containing trace lignin. Mater. Sci. Eng. C 2016, 64, 269–277. [Google Scholar] [CrossRef] [PubMed]
- Jiang, H.; Kobayashi, T. Ultrasound stimulated release of gallic acid from chitin hydrogel matrix. Mater. Sci. Eng. C 2017, 75, 478–486. [Google Scholar] [CrossRef] [PubMed]
- Nguyen, K.D.; Trang, T.T.C.; Kobayashi, T. Chitin-halloysite nanoclay hydrogel composite adsorbent to aqueous heavy metal ions. J. Appl. Polym. Sci. 2019, 136, 47207. [Google Scholar] [CrossRef]
- Tokura, S.; Nishi, N.; Noguchi, J. Studies on Chitin. III. Preparation of Chitin Fibers. Polym. J. 1979, 11, 781–786. [Google Scholar] [CrossRef]
- Zhang, S.; Li, F.X.; Yu, J.Y. Preparation of cellulose/chitin blend bio-fibers via direct dissolution. Cell. Chem. Technol. 2009, 43, 393–398. [Google Scholar]
- Ota, A.; Beyer, R.; Hageroth, U.; Müller, A.; Tomasic, P.; Hermanutz, F.; Buchmeiser, M.R. Chitin/cellulose blend fibers prepared by wet and dry-wet spinning. Polym. Adv. Technol. 2021, 32, 335–342. [Google Scholar] [CrossRef]
- Jiang, B.; Na, J.; Wang, L.; Li, D.; Liu, C.; Feng, Z. Reutilization of Food Waste: One-Step Extration, Purification and Characterization of Ovalbumin from Salted Egg White by Aqueous Two-Phase Flotation. Foods 2019, 8, 286. [Google Scholar] [CrossRef]
- Jiang, B.; Wang, L.; Zhu, M.; Wu, S.; Wang, X.; Li, D.; Liu, C.; Feng, Z.; Tian, B. Separation, structural characteristics and biological activity of lactic acid bacteria exopolysaccharides separated by aqueous two-phase system. LWT 2021, 147, 111617. [Google Scholar] [CrossRef]
- Jiang, B.; Wang, X.; Wang, L.; Wu, S.; Li, D.; Liu, C.; Feng, Z. Fabrication and Characterization of a Microemulsion Stabilized by Integrated Phosvitin and Gallic Acid. J. Agric. Food Chem. 2020, 68, 5437–5447. [Google Scholar] [CrossRef]
- Sohel, R.; Subramani, P.; Parveen, S.; Raul, F. Roadmap to Sustainable Textiles and Clothing: Eco-Friendly Raw Materials, Technologies and Processing Methods; Biosynthetic Fibers: Production, Processing, Properties and Their Sustainability Parameters; Muthu, S.S., Ed.; Springer: Singapore, 2014; pp. 109–138. [Google Scholar]
- Rafael, P.L.; Luis, Q.-A. Methods in Plant Biochemistry; Dey, P.M., Harborne, J.B., Eds.; Academic Press: Cambridge, MA, USA, 1990; pp. 443–481. [Google Scholar]
- Nguyen, K.D.; Kobayashi, T. Chitin hydrogels prepared at various lithium chloride/n,n-dimethylacetamide solutions by water vapor-induced phase inversion. J. Chem. 2020, 2020, 6645351. [Google Scholar] [CrossRef]
- Gbenebor, O.; Adeosun, S.; Lawal, G.; Jun, S.; Olaleye, S. Acetylation, crystalline and morphological properties of structural polysaccharide from shrimp exoskeleton. Eng. Sci. Technol. Int. J. 2017, 20, 1155–1165. [Google Scholar] [CrossRef]
- Hajji, S.; Younes, I.; Ghorbel-Bellaaj, O.; Hajji, R.; Rinaudo, M.; Nasri, M.; Jellouli, K. Structural differences between chitin and chitosan extracted from three different marine sources. Int. J. Biol. Macromol. 2014, 65, 298–306. [Google Scholar] [CrossRef] [PubMed]
- Gbenebor, O.P.; Akpan, E.I.; Adeosun, S.O. Thermal, structural and acetylation behavior of snail and periwinkle shells chitin. Prog. Biomater. 2017, 6, 97–111. [Google Scholar] [CrossRef]
- Gbenebor, O.; Adeosun, S.; Lawal, G.; Jun, S. Role of CaCO3 in the physicochemical properties of crustacean-sourced structural polysaccharides. Mater. Chem. Phys. 2016, 184, 203–209. [Google Scholar] [CrossRef]
- Kumar, M.N.V.R. Chitin and chitosan fibres: A review. Bull. Mater. Sci. 1999, 22, 905–915. [Google Scholar] [CrossRef]
- Hirano, S. Wet-spinning and applications of functional fibers based on chitin and chitosan. Macromol. Symp. 2001, 168, 21–30. [Google Scholar] [CrossRef]










| Temperature (°C) | Chitin Solution in DMAc/LiCl | Diameter (µm) | WC (%) | Tensile Strength (MPa) | Elongation (%) | |
|---|---|---|---|---|---|---|
| Shear Viscosity (Pa.s) | ||||||
| 5 | C1 | 3.1 ± 0.3 | 107 ± 9 | 1871 ± 37 | 58 ± 15 | 8 ± 2 |
| C2 | 17.3 ± 1.6 | 108 ± 6 | 1101 ± 25 | 80 ± 7 | 11 ± 1 | |
| 20 | C1 | 2.0 ± 0.1 | 69 ± 3 | 1380 ± 39 | 82 ± 8 | 17 ± 4 |
| C2 | 12.6 ± 1.3 | 127 ± 10 | 1620 ± 37 | 104 ± 8 | 19 ± 1 | |
| 60 | C1 | 0.63 ± 0.04 | 71 ± 1 | 725 ± 29 | 167 ± 16 | 28 ± 2 |
| C2 | 3.2 ± 0.3 | 102 ± 2 | 335 ± 31 | 182 ± 23 | 33 ± 1 | |
| Position | Hydrogen Bonding | % Area | ||||||
|---|---|---|---|---|---|---|---|---|
| Extracted Chitin | C1 | C2 | ||||||
| 5 °C | 20 °C | 60 °C | 5 °C | 20 °C | 60 °C | |||
| Peak 1 | C(6)–OH…OC (intra) | 7.1 | 3.2 | 1.1 | 2.4 | 2 | 2.4 | 2.2 |
| Peak 2 | C(3)–OH…O–C (intra) | 51.3 | 55.2 | 55.3 | 55.5 | 55.3 | 49.2 | 45.6 |
| Peak 3 | NH…OC (inter) | 37.5 | 31.6 | 32.2 | 33.4 | 30.4 | 36.3 | 42.2 |
| Peak 4 | C(6)–OH…OH–C(6) (inter) | 4.1 | 10 | 11.4 | 8.7 | 12.3 | 12.1 | 10 |
Publisher’s Note: MDPI stays neutral with regard to jurisdictional claims in published maps and institutional affiliations. |
© 2021 by the author. Licensee MDPI, Basel, Switzerland. This article is an open access article distributed under the terms and conditions of the Creative Commons Attribution (CC BY) license (https://creativecommons.org/licenses/by/4.0/).
Share and Cite
Nguyen, K.D. Temperature Effect of Water Coagulation Bath on Chitin Fiber Prepared through Wet-Spinning Process. Polymers 2021, 13, 1909. https://doi.org/10.3390/polym13121909
Nguyen KD. Temperature Effect of Water Coagulation Bath on Chitin Fiber Prepared through Wet-Spinning Process. Polymers. 2021; 13(12):1909. https://doi.org/10.3390/polym13121909
Chicago/Turabian StyleNguyen, Khoa Dang. 2021. "Temperature Effect of Water Coagulation Bath on Chitin Fiber Prepared through Wet-Spinning Process" Polymers 13, no. 12: 1909. https://doi.org/10.3390/polym13121909
APA StyleNguyen, K. D. (2021). Temperature Effect of Water Coagulation Bath on Chitin Fiber Prepared through Wet-Spinning Process. Polymers, 13(12), 1909. https://doi.org/10.3390/polym13121909

