The New Approach to the Preparation of Polyacrylamide-Based Hydrogels: Initiation of Polymerization of Acrylamide with 1,3-Dimethylimidazolium (Phosphonooxy-)Oligosulphanide under Drying Aqueous Solutions
Abstract
1. Introduction
2. Materials and Methods
2.1. Synthesis of Polyacrylamide in the Presence of 1,3-Dimethylimidazolium (Phosphonooxy-)Oligosulphanide
2.2. Swelling Kinetics of Polyacrylamide in Water
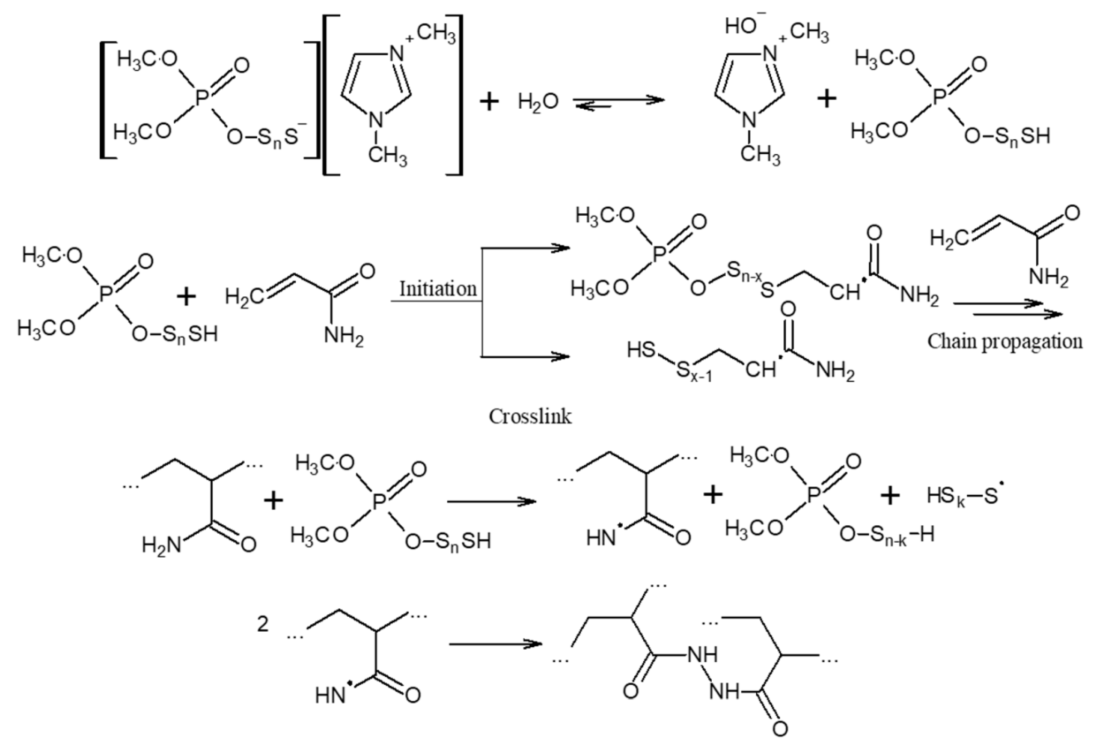
3. Results and Discussion
4. Conclusions
Author Contributions
Funding
Institutional Review Board Statement
Informed Consent Statement
Data Availability Statement
Acknowledgments
Conflicts of Interest
References
- Myagchenkov, V.A.; Kurenkov, V.F. Applications of Acrylamide Polymers and Copolymers: A Review. Polym. Plast. Technol. Eng. 1991, 30, 109–135. [Google Scholar] [CrossRef]
- Daifa, M.; Shmoeli, E.; Domb, A.J. Enhanced flocculation activity of polyacrylamide-based flocculant for purification of industrial wastewater. Polym. Adv. Technol. 2019, 30, 2636–2646. [Google Scholar] [CrossRef]
- Xiong, B.; Loss, R.D.; Shields, D. Polyacrylamide degradation and its implications in environmental systems. NPJ Clean Water 2018, 1, 17. [Google Scholar] [CrossRef]
- Xian’e, L.; Zhi, X.; Hongyao, Y.; Yujun, F.; Hongping, Q. Comparative Studies on Enhanced Oil Recovery: Thermoviscosifying Polymer Versus Polyacrylamide. Energy Fuels 2017, 31, 2479–2487. [Google Scholar]
- Du, W.; Slaný, M.; Wang, X.; Chen, G.; Zhang, J. The Inhibition Property and Mechanism of a Novel Low Molecular Weight Zwitterionic Copolymer for Improving Wellbore Stability. Polymers 2020, 12, 708. [Google Scholar] [CrossRef]
- Cao, J.; Song, T.; Zhu, Y.; Wang, X.; Wang, S.; Yu, J.; Zhang, J. Aqueous hybrids of amino-functionalized nanosilica and acrylamide-based polymer for enhanced oil recovery. RSC Adv. 2018, 8, 38056–38064. [Google Scholar] [CrossRef]
- Cheraghian, G. Synthesis and properties of polyacrylamide by nanoparticles, effect nanoclay on stability polyacrylamide solution. Micro Nano Lett. 2017, 12, 40–44. [Google Scholar] [CrossRef]
- Mirzaie Yegane, M.; Hashemi, F.; Vercauteren, F.; Meulendijks, N.; Gharbi, R.; Boukany, P.E.; Zitha, P. Rheological response of a modified polyacrylamide–silica nanoparticles hybrid at high salinity and temperature. Soft Matter. 2020, 16, 10198–10210. [Google Scholar] [CrossRef]
- Haruna, M.A.; Gardy, J.; Yao, G.; Hu, Z.; Hondow, N.; Wen, D. Nanoparticle modified polyacrylamide for enhanced oil recovery at harsh conditions. Fuel 2020, 268, 117186. [Google Scholar] [CrossRef]
- Chrambach, A.; Rodbard, D. Polyacrylamide Gel Electrophoresis. Science 1971, 172, 440–451. [Google Scholar] [CrossRef]
- Chen, Y.; Li, Q.; Li, Y.; Zhang, Q.; Huang, J.; Wu, Q.; Wang, S. Fabrication of Cellulose Nanocrystal-g-Poly(Acrylic Acid-Co-Acrylamide) Aerogels for Efficient Pb(II) Removal. Polymers 2020, 12, 333. [Google Scholar] [CrossRef]
- Judah, H.L.; Liu, P.; Zarbakhsh, A.; Resmini, M. Influence of Buffers, Ionic Strength, and pH on the Volume Phase Transition Behavior of Acrylamide-Based Nanogels. Polymers 2020, 12, 2590. [Google Scholar] [CrossRef]
- Hibbins, A.R.; Kumar, P.; Choonara, Y.E.; Kondiah, P.P.D.; Marimuthu, T.; Du Toit, L.C.; Pillay, V. Design of a Versatile pH-Responsive Hydrogel for Potential Oral Delivery of Gastric-Sensitive Bioactives. Polymers 2017, 9, 474. [Google Scholar] [CrossRef]
- Yang, T.H. Recent Applications of Polyacrylamide as Biomaterials. Recent Pat. Mater. Sci. 2008, 1, 29–40. [Google Scholar] [CrossRef]
- Audureau, N.; Coumes, F.; Guigner, J.; Nguyen, T.; Menager, C.; Stoffelbach, F.; Rieger, J. Thermoresponsive properties of poly(acrylamide-co-acrylonitrile)-based diblock copolymers synthesized (by PISA) in water. Polym. Chem. 2020, 11, 5998–6008. [Google Scholar] [CrossRef]
- Kurenkov, V.F.; Myagchenkov, V.A. Effects of reaction medium on the radical polymerization and copolymerization of acrylamide. Eur. Polym. J. 1980, 16, 1229–1239. [Google Scholar] [CrossRef]
- Lee, G.H.; Vo, N.D.; Jeon, R.Y.; Han, S.W.; Hong, S.U.; Oh, M. Modeling and simulation for acrylamide polymerization of super absorbent polymer. Korean J. Chem. Eng. 2018, 35, 1791–1799. [Google Scholar] [CrossRef]
- Xia, Y.; He, Z.; Su, J.; Hu, K. Polyacrylamide gel synthesis and photocatalytic performance of PbBiO2Br nanosheets. Mat. Lett. 2019, 241, 64–67. [Google Scholar] [CrossRef]
- Sánchez-Leija, R.J.; Torres-Lubián, J.R.; Reséndiz-Rubio, A.; Luna-Bárcenas, G.; Mota-Morales, J.D. Enzyme-mediated free radical polymerization of acrylamide in deep eutectic solvents. RSC Adv. 2016, 6, 13072–13079. [Google Scholar] [CrossRef]
- Kumar, A.; Behera, B.; Ray, S.S. Microwave-assisted surface-initiated redox polymerization of acrylamide with functionalized graphene oxide for aqueous lubricant additive. RSC Adv. 2015, 5, 39474–39481. [Google Scholar] [CrossRef]
- Tarasova, N.; Krivoborodov, E.; Egorova, A.; Zanin, A.; Glukhov, L.; Toropygin, I.; Mezhuev, Y. Reaction of 1,3-dimethylimidazolium dimethylphosphate with elemental sulfur. Pure Appl. Chem. 2020, 92, 1297–1304. [Google Scholar] [CrossRef]
- Lopatin, V.V.; Berestnev, V.A.; Askadskii, A.A.; Peregudov, A.S.; Shekhter, A.B. Structure and properties of polyacrylamide gels for medical applications. Polym. Bull. Ser. A 2004, 46, 1282–1292. [Google Scholar]
- Al-Sabagh, A.M.; Kandile, N.G.; El-Ghazawy, R.A.; Noor El-Din, M.R.; El-sharaky, E.A. Synthesis and characterization of high molecular weight hydrophobically modified polyacrylamide nanolatexes using novel nonionic polymerizable surfactants. Egypt. J. Pet. 2013, 22, 531–538. [Google Scholar] [CrossRef]
- Moulay, S.; Bensacia, N.; Garin, F.; Fechete, I.; Boos, A. Polyacrylamide-Based Sorbents for the Removal of Hazardous Metals. Adsorp. Sci. Technol. 2013, 31, 691–709. [Google Scholar] [CrossRef]
- Zang, Y.; Muller, R.; Froelich, D. Determination of crosslinking density of polymer networks by mechanical data in simple extension and by swelling degree at equilibrium. Polymer 1989, 30, 2060–2062. [Google Scholar] [CrossRef]
- Baselga, J.; Hernández-Fuentes, I.; Masegosa, R.; Llorente, M. Effect of Crosslinker on Swelling and Thermodynamic Properties of Polyacrylamide Gels. Polym. J. 1989, 21, 467–474. [Google Scholar] [CrossRef]
- Hodgson, W.G.; Buckler, S.A.; Peters, G. Free Radicals in Amine Solutions of Elemental Sulfur. J. Am. Chem. Soc. 1963, 85, 543–546. [Google Scholar] [CrossRef]
- Zhang, Y.; Pavlopoulos, N.G.; Kleine, T.S.; Karayilan, M.; Glass, R.S.; Char, K.; Pyun, J. Nucleophilic Activation of Elemental Sulfur for Inverse Vulcanization and Dynamic Covalent Polymerizations. Polym. Sci. Part A Polym. Chem. 2019, 57, 7–12. [Google Scholar] [CrossRef]
- Parker, D.J.; Chong, S.T.; Hasell, T. Sustainable inverse-vulcanised sulfur polymers. RSC Adv. 2018, 8, 27892–27899. [Google Scholar] [CrossRef]
- Zhang, Y.; Glass, R.S.; Char, K.; Pyun, J. Recent advances in the polymerization of elemental sulphur, inverse vulcanization and methods to obtain functional Chalcogenide Hybrid Inorganic/Organic Polymers (CHIPs). Polym. Chem. 2019, 10, 4078–4105. [Google Scholar] [CrossRef]
- Liu, H.; Radford, M.N.; Yang, C.; Chen, W.; Xian, M. Inorganic hydrogen polysulfides: Chemistry, chemical biology and detection. Br. J. Pharmacol. 2019, 176, 616–627. [Google Scholar] [CrossRef] [PubMed]






Publisher’s Note: MDPI stays neutral with regard to jurisdictional claims in published maps and institutional affiliations. |
© 2021 by the authors. Licensee MDPI, Basel, Switzerland. This article is an open access article distributed under the terms and conditions of the Creative Commons Attribution (CC BY) license (https://creativecommons.org/licenses/by/4.0/).
Share and Cite
Tarasova, N.; Zanin, A.; Krivoborodov, E.; Toropygin, I.; Pascal, E.; Mezhuev, Y. The New Approach to the Preparation of Polyacrylamide-Based Hydrogels: Initiation of Polymerization of Acrylamide with 1,3-Dimethylimidazolium (Phosphonooxy-)Oligosulphanide under Drying Aqueous Solutions. Polymers 2021, 13, 1806. https://doi.org/10.3390/polym13111806
Tarasova N, Zanin A, Krivoborodov E, Toropygin I, Pascal E, Mezhuev Y. The New Approach to the Preparation of Polyacrylamide-Based Hydrogels: Initiation of Polymerization of Acrylamide with 1,3-Dimethylimidazolium (Phosphonooxy-)Oligosulphanide under Drying Aqueous Solutions. Polymers. 2021; 13(11):1806. https://doi.org/10.3390/polym13111806
Chicago/Turabian StyleTarasova, Natalia, Alexey Zanin, Efrem Krivoborodov, Ilya Toropygin, Ekaterina Pascal, and Yaroslav Mezhuev. 2021. "The New Approach to the Preparation of Polyacrylamide-Based Hydrogels: Initiation of Polymerization of Acrylamide with 1,3-Dimethylimidazolium (Phosphonooxy-)Oligosulphanide under Drying Aqueous Solutions" Polymers 13, no. 11: 1806. https://doi.org/10.3390/polym13111806
APA StyleTarasova, N., Zanin, A., Krivoborodov, E., Toropygin, I., Pascal, E., & Mezhuev, Y. (2021). The New Approach to the Preparation of Polyacrylamide-Based Hydrogels: Initiation of Polymerization of Acrylamide with 1,3-Dimethylimidazolium (Phosphonooxy-)Oligosulphanide under Drying Aqueous Solutions. Polymers, 13(11), 1806. https://doi.org/10.3390/polym13111806

