Viscoelastic Relaxation of Polymerized Ionic Liquid and Lithium Salt Mixtures: Effect of Salt Concentration
Abstract
1. Introduction
2. Materials and Methods
2.1. Materials
2.2. Synthesis and Characterization of Materials
2.3. Blend Sample Preparation
2.4. Measurements
3. Results and Discussion
3.1. Miscibility of PC4-TFSI/LiTFSI Mixtures
3.2. Weight Fraction Dependence of Calorimetric Glass Transition Temperatures
3.3. Overview of the Chain Dynamics in PC4-TFST Molten System
3.4. LiTFSI Concentration Dependence of the Viscoelastic Spectra
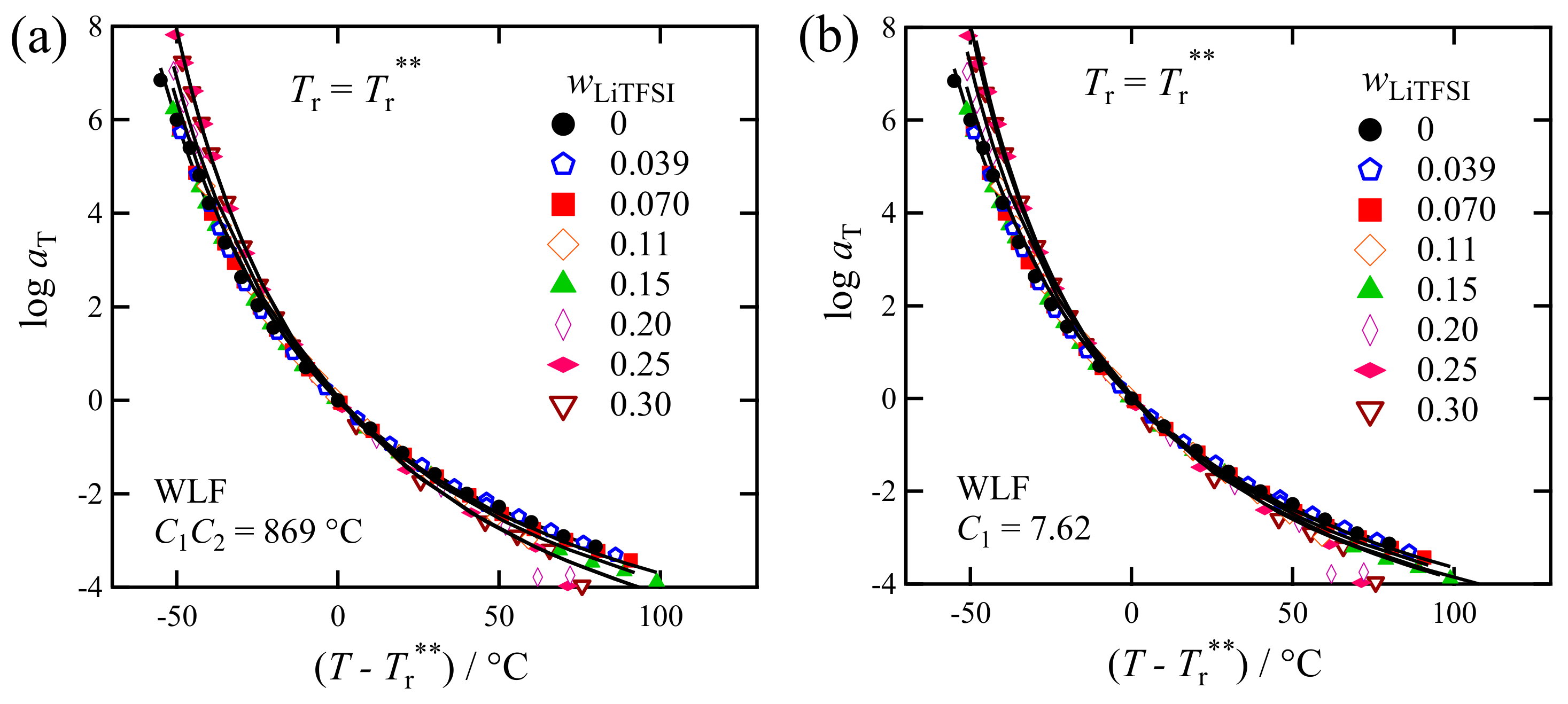
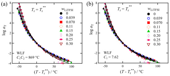
3.5. WLF Analysis of the Rheological Shift Factors
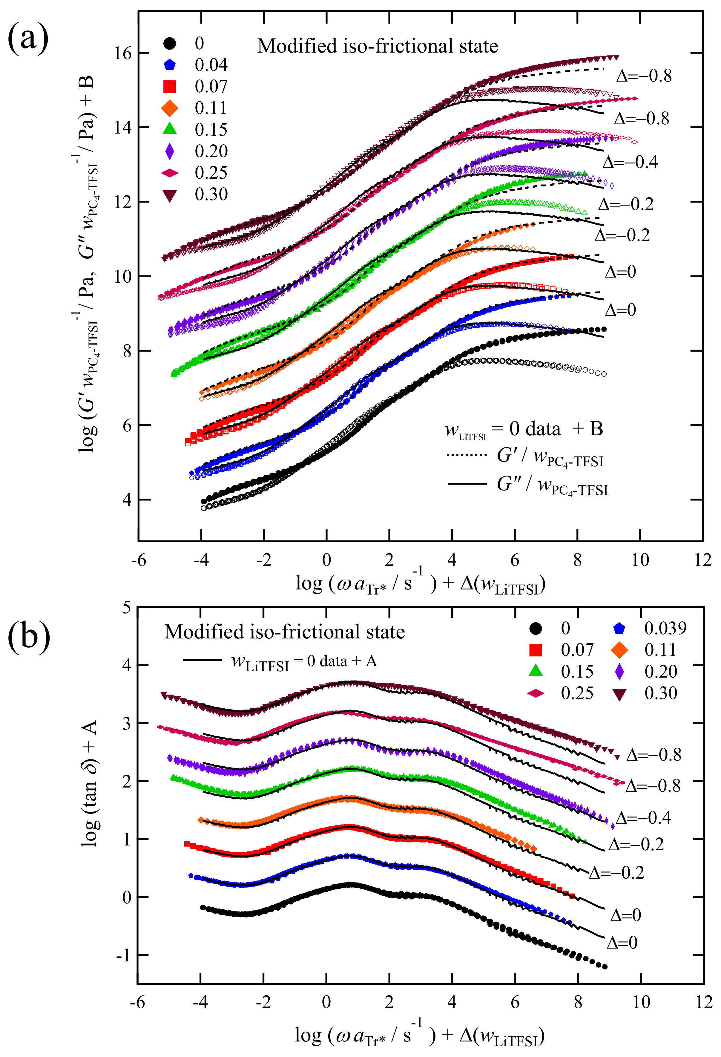
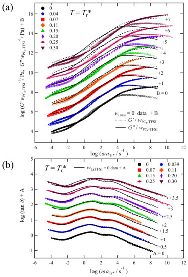
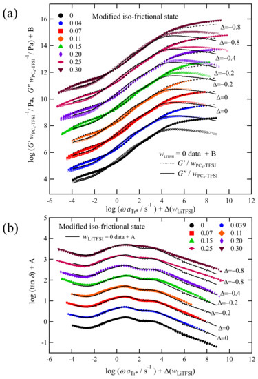
3.6. Chain Dynamics in Mixtures of PC4-TFSI/LiTFSI under Iso-Frictional Condition
4. Conclusions
Supplementary Materials
Author Contributions
Funding
Institutional Review Board Statement
Informed Consent Statement
Data Availability Statement
Acknowledgments
Conflicts of Interest
Appendix A

| C1 (Equation (A2)) | C2/°C (Equation (A2)) | C2/°C with C1 = 7.62 | 104 αf/°C−1 | |
|---|---|---|---|---|
| 0 | 7.62 | 114 | 114 | 5.00 |
| 0.039 | 7.62 | 114 | 114 | 5.00 |
| 0.07 | 7.62 | 114 | 114 | 5.00 |
| 0.11 | 7.82 | 111 | 109 | 5.23 |
| 0.15 | 7.82 | 111 | 109 | 5.22 |
| 0.20 | 8.02 | 108 | 103 | 5.53 |
| 0.25 | 8.42 | 103 | 97.0 | 5.88 |
| 0.30 | 8.42 | 103 | 96.0 | 5.94 |
References
- Forsyth, M.; Porcarelli, L.; Wang, X.; Goujon, N.; Mecerreyes, D. Innovative Electrolytes Based on Ionic Liquids and Polymers for Next-Generation Solid-State Batteries. Acc. Chem. Res. 2019, 52, 686–694. [Google Scholar] [CrossRef]
- Mecerreyes, D. Polymeric ionic liquids: Broadening the properties and applications of polyelectrolytes. Prog. Polym. Sci. 2011, 36, 1629–1648. [Google Scholar] [CrossRef]
- Ohno, H. Molten salt type polymer electrolytes. Electrochim. Acta 2001, 46, 1407–1411. [Google Scholar] [CrossRef]
- Sangoro, J.R.; Iacob, C.; Agapov, A.L.; Wang, Y.; Berdzinski, S.; Rexhausen, H.; Strehmel, V.; Friedrich, C.; Sokolov, A.P.; Kremer, F. Decoupling of ionic conductivity from structural dynamics in polymerized ionic liquids. Soft Matter 2014, 10, 3536–3540. [Google Scholar] [CrossRef]
- Zhang, S.Y.; Zhuang, Q.; Zhang, M.; Wang, H.; Gao, Z.M.; Sun, J.K.; Yuan, J.Y. Poly(ionic liquid) composites. Chem. Soc. Rev. 2020, 49, 1726–1755. [Google Scholar] [CrossRef]
- Qian, W.J.; Texter, J.; Yan, F. Frontiers in poly(ionic liquid)s: Syntheses and applications. Chem. Soc. Rev. 2017, 46, 1124–1159. [Google Scholar] [CrossRef]
- Shaplov, A.S.; Ponkratov, D.O.; Vygodskii, Y.S. Poly(ionic liquid)s: Synthesis, properties, and application. Polym. Sci. Ser. B 2016, 58, 73–142. [Google Scholar] [CrossRef]
- Rochow, E.T.; Coeler, M.; Pospiech, D.; Kobsch, O.; Mechtaeva, E.; Vogel, R.; Voit, B.; Nikolowski, K.; Wolter, M. In Situ Preparation of Crosslinked Polymer Electrolytes for Lithium Ion Batteries: A Comparison of Monomer Systems. Polymers 2020, 12, 1707. [Google Scholar] [CrossRef] [PubMed]
- Kalybekkyzy, S.; Kopzhassar, A.; Kahraman, M.V.; Mentbayeva, A.; Bakenov, Z. Fabrication of UV-Crosslinked Flexible Solid Polymer Electrolyte with PDMS for Li-Ion Batteries. Polymers 2021, 13, 15. [Google Scholar] [CrossRef] [PubMed]
- Yoshizawa-Fujita, M.; Ishii, J.; Takeoka, Y.; Rikukawa, M. Oligoether/Zwitterion Diblock Copolymers: Synthesis and Application as Cathode-Coating Material for Li Batteries. Polymers 2021, 13, 800. [Google Scholar] [CrossRef]
- Armand, M. Polymer Solid Electrolytes—An Overview. Solid State Ion. 1983, 9–10, 745–754. [Google Scholar] [CrossRef]
- Robitaille, C.D.; Fauteux, D. Phase-Diagrams and Conductivity Characterization of Some Peo-Lix Electrolytes. J. Electrochem. Soc. 1986, 133, 315–325. [Google Scholar] [CrossRef]
- Watanabe, M.; Nagano, S.; Sanui, K.; Ogata, N. Ionic-Conductivity of Network Polymers from Poly(Ethylene Oxide) Containing Lithium Perchlorate. Polym. J. 1986, 18, 809–817. [Google Scholar] [CrossRef]
- Ratner, M.A.; Johansson, P.; Shriver, D.F. Polymer electrolytes: Ionic transport mechanisms and relaxation coupling. Mrs Bull. 2000, 25, 31–37. [Google Scholar] [CrossRef]
- Borodin, O.; Smith, G.D.; Henderson, W. Li+ cation environment, transport, and mechanical properties of the LiTFSI doped N-methyl-N-alkylpyrrolidinium +TFSI- ionic liquids. J. Phys. Chem. B 2006, 110, 16879–16886. [Google Scholar] [CrossRef]
- Matsumiya, Y.; Balsara, N.P.; Kerr, J.B.; Inoue, T.; Watanabe, H. In situ dielectric characterization of poly(ethylene oxide) melts containing lithium perchlorate under steady shear flow. Macromolecules 2004, 37, 544–553. [Google Scholar] [CrossRef]
- Ohno, H.; Ito, K. Room-temperature molten salt polymers as a matrix for fast ion conduction. Chem. Lett. 1998, 751–752. [Google Scholar] [CrossRef]
- Wang, X.E.; Chen, F.F.; Girard, G.M.A.; Zhu, H.J.; MacFarlane, D.R.; Mecerreyes, D.; Armand, M.; Howlett, P.C.; Forsyth, M. Poly(Ionic Liquid)s-in-Salt Electrolytes with Co-coordination-Assisted Lithium-Ion Transport for Safe Batteries. Joule 2019, 3, 2687–2702. [Google Scholar] [CrossRef]
- Zhang, Z.D.; Nasrabadi, A.T.; Aryal, D.; Ganesan, V. Mechanisms of Ion Transport in Lithium Salt-Doped Polymeric Ionic Liquid Electrolytes. Macromolecules 2020, 53, 6995–7008. [Google Scholar] [CrossRef]
- Castiglione, F.; Famulari, A.; Raos, G.; Meille, S.V.; Mele, A.; Appetecchi, G.B.; Passerini, S. Pyrrolidinium-Based Ionic Liquids Doped with Lithium Salts: How Does Li+ Coordination Affect Its Diffusivity? J. Phys. Chem. B 2014, 118, 13679–13688. [Google Scholar] [CrossRef]
- Nakamura, K.; Saiwaki, T.; Fukao, K.; Inoue, T. Viscoelastic Behavior of the Polymerized Ionic Liquid Poly(1-ethyl-3-vinylimidazolium bis(trifluoromethanesulfonylimide)). Macromolecules 2011, 44, 7719–7726. [Google Scholar] [CrossRef]
- Nakamura, K.; Fukao, K.; Inoue, T. Dielectric Relaxation and Viscoelastic Behavior of Polymerized Ionic Liquids with Various Counteranions. Macromolecules 2012, 45, 3850–3858. [Google Scholar] [CrossRef]
- Nakamura, K.; Fukao, K.; Inoue, T. Viscoelastic Behavior of Polymerized Ionic Liquids with Various Charge Densities. Nihon Reoroji Gakkaishi (J. Soc. Rheol. Jpn.) 2013, 41, 21–27. [Google Scholar] [CrossRef]
- Matsumoto, A.; Inoue, T. Detailed Analysis of Sub-Rouse Mode Observed in Polymerized Ionic Liquids with Dynamic Birefringence Measurements. Nihon Reoroji Gakkaishi (J. Soc. Rheol. Jpn.) 2014, 42, 227–233. [Google Scholar] [CrossRef][Green Version]
- Inoue, T.; Matsumoto, A.; Nakamura, K. Dynamic Viscoelasticity and Birefringence of Poly(ionic liquids) in the Vicinity of Glass Transition Zone. Macromolecules 2013, 46, 6104–6109. [Google Scholar] [CrossRef]
- Fitzgerald, E.R.; Grandine, L.D.; Ferry, J.D. Dynamic Mechanical Properties of Polyisobutylene. J. Appl. Phys. 1953, 24, 650–655. [Google Scholar] [CrossRef]
- Okamoto, H.; Inoue, T.; Osaki, K. Viscoelasticity and Birefringence of Polyisobutylene. J. Polym. Sci. Part B Polym. Phys. 1995, 33, 1409–1416. [Google Scholar] [CrossRef]
- Ferry, J.D.; Grandine, L.D., Jr.; Fitzgerald, E.R. The Relaxation Distribution Function of Polyisobutylene in the Transition from Rubber-Like to Glass-Like Behavior. J. Appl. Phys. 1953, 24, 911–916. [Google Scholar] [CrossRef]
- Ngai, K.L.; Plazek, D.J. Resolution of Sub-Rouse Modes of Polystyrene by Dissolution. Macromolecules 2002, 35, 9136–9141. [Google Scholar] [CrossRef]
- Plazek, D.J.; Ngai, K.L. Correlation of Polymer Segmental Chain Dynamics with Temperature-Dependent Time-Scale Shifts. Macromolecules 1991, 24, 1222–1224. [Google Scholar] [CrossRef]
- Ferry, J.D.; Landel, R.F. Molecular friction coefficients in polymers and their temperature dependence. Kolloid Z. 1956, 148, 1–6. [Google Scholar] [CrossRef]
- Inoue, T.; Oba, N.; Urakawa, O. Reliability of Intrinsic Viscosity Estimated by Single Point Procedure at High Concentrations. Nihon Reoroji Gakkaishi (J. Soc. Rheol. Jpn.) 2014, 42, 261–264. [Google Scholar] [CrossRef]
- Matsumoto, A.; Del Giudice, F.; Rotrattanadumrong, R.; Shen, A.Q. Rheological Scaling of Ionic-Liquid -Based Polyelectrolytes in Ionic Liquid Solutions. Macromolecules 2019, 52, 2759–2771. [Google Scholar] [CrossRef]
- Zhang, S.; Sun, N.; He, X.; Lu, X.; Zhang, X. Physical Properties of Ionic Liquids: Database and Evaluation. J. Phys. Chem. Ref. Data 2006, 35, 1475–1517. [Google Scholar] [CrossRef]
- Inoue, T.; Onogi, T.; Yao, M.L.; Osaki, K. Viscoelasticity of low molecular weight polystyrene. Separation of rubbery and glassy components. J. Polym. Sci. Part B Polym. Phys. 1999, 37, 389–397. [Google Scholar] [CrossRef]
- Liu, C.Y.; He, J.S.; van Ruymbeke, E.; Keunings, R.; Bailly, C. Evaluation of different methods for the determination of the plateau modulus and the entanglement molecular weight. Polymer 2006, 47, 4461–4479. [Google Scholar] [CrossRef]
- Ferry, J.D. Viscoelastic Properties of Polymers, 3rd ed.; Wiley: New York, NY, USA, 1980. [Google Scholar]
- Colby, R.H.; Fetters, L.J.; Funk, W.G.; Graessley, W.W. Effects of Concentration and Thermodynamic Interaction on the Viscoelastic Properties of Polymer-Solutions. Macromolecules 1991, 24, 3873–3882. [Google Scholar] [CrossRef]
- Williams, M.L.; Landel, R.F.; Ferry, J.D. Mechanical Properties of Substances of High Molecular Weight 19. The Temperature Dependence of Relaxation Mechanisms in Amorphous Polymers and Other Glass-Forming Liquids. J. Am. Chem. Soc. 1955, 77, 3701–3707. [Google Scholar] [CrossRef]
- Yan, Z.-C.; Zhang, B.-Q.; Liu, C.-Y. Dynamics of Concentrated Polymer Solutions Revisited: Isomonomeric Friction Adjustment and Its Consequences. Macromolecules 2014, 47, 4460–4470. [Google Scholar] [CrossRef]
- Urakawa, O.; Ikuta, H.; Maji, S.; Inoue, T. Rheological Behavior of Weakly Associated Polymers. Nihon Reoroji Gakkaishi (J. Soc. Rheol. Jpn.) 2018, 46, 131–137. [Google Scholar] [CrossRef]
- Angell, C.A. Formation of glasses from liquids and biopolymers. Science 1995, 267, 1924–1935. [Google Scholar] [CrossRef]
- Nakazawa, M.; Urakawa, O.; Adachi, K. Effect of local heterogeneity on dielectric relaxation spectra in concentrated solutions of poly(vinyl acetate) and poly(vinyl octanoate). Macromolecules 2000, 33, 7898–7904. [Google Scholar] [CrossRef]
- Yada, M.; Nakazawa, M.; Urakawa, O.; Morishima, Y.; Adachi, K. Effect of local heterogeneity on dielectric segmental relaxation of poly(vinyl acetate) in concentrated solution. Macromolecules 2000, 33, 3368–3374. [Google Scholar] [CrossRef]
- Nobukawa, S.; Urakawa, O.; Shikata, T.; Inoue, T. Cooperative Dynamics in Polystyrene and Low-Mass Molecule Mixtures. Macromolecules 2011, 44, 8324–8332. [Google Scholar] [CrossRef]
- Nobukawa, S.; Urakawa, O.; Shikata, T.; Inoue, T. Dynamics of a Probe Molecule Dissolved in Several Polymer Matrices with Different Side-Chain Structures: Determination of Correlation Length Relevant to Glass Transition. Macromolecules 2013, 46, 2206–2215. [Google Scholar] [CrossRef]
- Yasue, A.; Urakawa, O. Glass Transition Behaviors of Poly(Vinyl Pyridine)/Poly(Vinyl Phenol) Revisited. Polymers 2019, 11, 1153. [Google Scholar] [CrossRef]
- Urakawa, O.; Yasue, A.; Inoue, T. Rheological Behavior of Hydrogen Bonding Miscible Blend: High Molecular Weight Poly(2-vinyl pyridine) and Low Molecular Weight Poly(4-vinyl phenol). Nihon Reoroji Gakkaishi (J. Soc. Rheol. Jpn.) 2021, 49, 155–162. (in press). [CrossRef]











| Tr*/°C | Tr**/°C | |
|---|---|---|
| 0 | 100 | 100 |
| 0.039 | 93.9 | 93.9 |
| 0.07 | 89.2 | 89.2 |
| 0.11 | 83.8 | 80.9 |
| 0.15 | 84.1 | 81.1 |
| 0.20 | 83.7 | 78.0 |
| 0.25 | 79.5 | 68.7 |
| 0.30 | 75.1 | 64.3 |
Publisher’s Note: MDPI stays neutral with regard to jurisdictional claims in published maps and institutional affiliations. |
© 2021 by the authors. Licensee MDPI, Basel, Switzerland. This article is an open access article distributed under the terms and conditions of the Creative Commons Attribution (CC BY) license (https://creativecommons.org/licenses/by/4.0/).
Share and Cite
Yokokoji, A.; Kitayama, W.; Wichai, K.; Urakawa, O.; Matsumoto, A.; Vao-Soongnern, V.; Inoue, T. Viscoelastic Relaxation of Polymerized Ionic Liquid and Lithium Salt Mixtures: Effect of Salt Concentration. Polymers 2021, 13, 1772. https://doi.org/10.3390/polym13111772
Yokokoji A, Kitayama W, Wichai K, Urakawa O, Matsumoto A, Vao-Soongnern V, Inoue T. Viscoelastic Relaxation of Polymerized Ionic Liquid and Lithium Salt Mixtures: Effect of Salt Concentration. Polymers. 2021; 13(11):1772. https://doi.org/10.3390/polym13111772
Chicago/Turabian StyleYokokoji, Arisa, Wakana Kitayama, Kamonthira Wichai, Osamu Urakawa, Atsushi Matsumoto, Visit Vao-Soongnern, and Tadashi Inoue. 2021. "Viscoelastic Relaxation of Polymerized Ionic Liquid and Lithium Salt Mixtures: Effect of Salt Concentration" Polymers 13, no. 11: 1772. https://doi.org/10.3390/polym13111772
APA StyleYokokoji, A., Kitayama, W., Wichai, K., Urakawa, O., Matsumoto, A., Vao-Soongnern, V., & Inoue, T. (2021). Viscoelastic Relaxation of Polymerized Ionic Liquid and Lithium Salt Mixtures: Effect of Salt Concentration. Polymers, 13(11), 1772. https://doi.org/10.3390/polym13111772

