Influence of Mechanical Couplings on the Dynamical Behavior and Energy Harvesting of a Composite Structure
Abstract
1. Introduction
2. Composite Active Beam Modeling
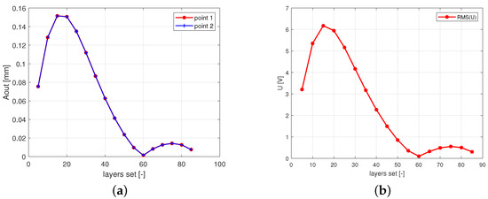
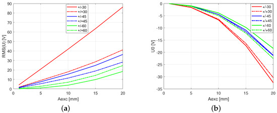
3. Numerical Results
4. Conclusions
Author Contributions
Funding
Institutional Review Board Statement
Informed Consent Statement
Data Availability Statement
Acknowledgments
Conflicts of Interest
References
- Rincón-Casado, A.; González-Carbajal, J.; García-Vallejo, D.; Domínguez, J. Analytical and numerical study of the influence of different support types in the nonlinear vibrations of beams. Eur. J. Mech. A/Solids 2021, 85, 104113. [Google Scholar] [CrossRef]
- Kloda, L.; Lenci, S.; Warminski, J. Nonlinear dynamics of a planar beam–spring system: Analytical and numerical approaches. Nonlinear Dyn. 2018, 94, 1721–1738. [Google Scholar] [CrossRef]
- Kloda, L.; Lenci, S.; Warminski, J. Nonlinear Dynamics of a Planar Hinged-Supported Beam with One End Lumped Mass and Longitudinal Elastic Support. MATEC Web Conf. 2018, 241, 01016. [Google Scholar] [CrossRef]
- Kloda, L.; Lenci, S.; Warminski, J. Nonlinear Dynamics of a Planar Hinged-Simply Supported Beam with One End Spring: Higher Order Resonances. IUTAM Symp. Exploit. Nonlinear Dyn. Eng. Syst. 2019, 37, 155–165. [Google Scholar] [CrossRef]
- Kloda, L.; Lenci, S.; Warminski, J. Hardening vs. softening dichotomy of a hinged-simply supported beam with one end axial linear spring: Experimental and numerical studies. Int. J. Mech. Sci. 2020, 178, 105588. [Google Scholar] [CrossRef]
- Lenci, S.; Clementi, F.; Kloda, L.; Warminski, J.; Rega, G. Longitudinal–transversal internal resonances in Timoshenko beams with an axial elastic boundary condition. Nonlinear Dyn. 2020. [Google Scholar] [CrossRef]
- Warminski, J.; Kloda, L.; Lenci, S. Nonlinear vibrations of an extensional beam with tip mass in slewing motion. Meccanica 2020, 55, 2311–2335. [Google Scholar] [CrossRef]
- Swanson, S.R. Introduction to Design and Analysis with Advanced Composite Materials; Prentice Hall: Englewood Cliffs, NJ, USA, 1997. [Google Scholar]
- Latalski, J. A coupled-field model of a rotating composite beam with an integrated nonlinear piezoelectric active element. Nonlinear Dyn. 2017, 90, 2145–2162. [Google Scholar] [CrossRef]
- Kollar, L.P.; Springer, G.S. Mechanics of Composite Structures; Cambridge University Press: Cambridge, UK; New York, NY, USA, 2003. [Google Scholar]
- Santiuste, C.; Sánchez-Sáez, S.; Barbero, E. Dynamic analysis of bending–torsion coupled composite beams using the Flexibility Influence Function Method. Int. J. Mech. Sci. 2008, 50, 1611–1618. [Google Scholar] [CrossRef]
- Gawryluk, J.; Bocheński, M.; Teter, A. Modal analysis of laminated “CAS” and “CUS” box-beams. Arch. Mech. Eng. 2017, 64, 441–454. [Google Scholar] [CrossRef]
- Latalski, J.; Bochenski, M.; Warminski, J. Control of Bending-Bending Coupled Vibrations of a Rotating Thin-Walled Composite Beam. Arch. Acoust. 2014, 39, 605–613. [Google Scholar] [CrossRef][Green Version]
- Latalski, J.; Warminski, J.; Rega, G. Bending-twisting vibrations of a rotating hub-thin-walled composite beam system. Math. Mech. Solids 2017, 22, 1303–1325. [Google Scholar] [CrossRef]
- Czapski, P.; Kubiak, T. Influence of Fibre Arrangement on the Buckling Load of Composite Plates—Analytical Solution. Fibres Text. East. Eur. 2015, 23, 92–97. [Google Scholar] [CrossRef][Green Version]
- Cui, D.; Li, D. Bending-twisting coupled structures based on composite laminates with extension-shear coupling effect. Compos. Struct. 2019, 209, 434–442. [Google Scholar] [CrossRef]
- Murray, R.E.; Doman, D.A.; Pegg, M.J. Finite element modeling and effects of material uncertainties in a composite laminate with bend–twist coupling. Compos. Struct. 2015, 121, 362–376. [Google Scholar] [CrossRef]
- Teter, A.; Gawryluk, J.; Bochenski, M. Experimental and numerical studies of a cracked thin-walled box-beams. Compos. Struct. 2018, 202, 807–817. [Google Scholar] [CrossRef]
- Falkowicz, K.; Debski, H.; Wysmulski, P. Effect of extension-twisting and extension-bending coupling on a compressed plate with a cut-out. Compos. Struct. 2020, 238, 111941. [Google Scholar] [CrossRef]
- Anton, S.; Sodano, H. A Review of Power Harvesting Using Piezoelectric Materials (2003–2006). Smart Mater. Struct. 2007, 16, R1. [Google Scholar] [CrossRef]
- Safaei, M.; Sodano, H.A.; Anton, S.R. A review of energy harvesting using piezoelectric materials: State-of-the-art a decade later (2008–2018). Smart Mater. Struct. 2019, 28, 113001. [Google Scholar] [CrossRef]
- Sodano, H.; Inman, D. A Review of Power Harvesting From Vibration Using Piezoelectric Materials. Shock Vib. Dig. 2004, 36, 197–205. [Google Scholar] [CrossRef]
- Li, X.; Upadrashta, D.; Yu, K.; Yang, Y. Sandwich piezoelectric energy harvester: Analytical modeling and experimental validation. Energy Convers. Manag. 2018, 176, 69–85. [Google Scholar] [CrossRef]
- Latalski, J.; Kowalczuk, M. Experimental vs. analytical modal analysis of a composite circumferentially asymmetric stiffness box beam. AIP Conf. Proc. 2017, 100018. [Google Scholar] [CrossRef]
- Krzyzak, A.; Kosicka, E.; Borowiec, M.; Szczepaniak, R. Selected Tribological Properties and Vibrations in the Base Resonance Zone of the Polymer Composite Used in the Aviation Industry. Materials 2020, 13, 1364. [Google Scholar] [CrossRef] [PubMed]
- Borowiec, M.; Bochenski, M.; Gawryluk, J.; Augustyniak, M. Analysis of the Macro Fiber Composite Characteristics for Energy Harvesting Efficiency. In Dynamical Systems: Theoretical and Experimental Analysis; Springer: Cham, Switzerland, 2016; Volume 182. [Google Scholar] [CrossRef]
- Yang, Y.; Tang, L.; Li, H. Vibration energy harvesting using macro-fiber composites. Smart Mater. Struct. 2009, 18, 115025. [Google Scholar] [CrossRef]
- Gawryluk, J.; Mitura, A.; Teter, A. Dynamic control of kinematically excited laminated, thin-walled beam using macro fibre composite actuator. Compos. Struct. 2020, 236, 111898. [Google Scholar] [CrossRef]
- Available online: https://www.smart-material.com/MFC-product-P1.html (accessed on 21 November 2020).
- Borowiec, M.; Bocheński, M. Energy harvesting of a composite beam with optimizing stacking sequence of layers. AIP Conf. Proc. 2020, 2239, 020003. [Google Scholar] [CrossRef]
- Jarzyna, W.; Augustyniak, M.; Warminski, J.; Bochenski, M. Characteristics and implementation of the piezoelectric structures in active composite systems. Prz. Elektrotechniczny 2010, 86, 320–322. [Google Scholar]









| Dimensions | Beam | Piezo Type M8514-P1 |
|---|---|---|
| length | 300 mm | 85 mm |
| width | 20 mm | 14 mm |
| thickness | 2.75 mm | 0.3 mm |
| Composite Layer | |
| longitudinal modulus | 46.4 GPa |
| transverse modulus | 14.9 GPa |
| shear modulus | 5.20 GPa |
| Poisson’s ratio | 0.27 |
| mass density | 2032 kg/m3 |
| Active Element | |
| Young’s modulus | 6.75 GPa |
| Poisson’s ratio | 0.31 |
| piezoelectric constant | 1.02 × m/V |
| Stacking Sequence | (Hz) |
|---|---|
| +30 (5)/0/−30 (5) | 19.89 |
| +30 (5)/0/+30 (5) | 18.31 |
| +45 (5)/0/−45 (5) | 16.76 |
| +45 (5)/0/+45 (5) | 16.41 |
| +60 (5)/0/−60 (5) | 15.92 |
| +60 (5)/0/+60 (5) | 15.91 |
Publisher’s Note: MDPI stays neutral with regard to jurisdictional claims in published maps and institutional affiliations. |
© 2020 by the authors. Licensee MDPI, Basel, Switzerland. This article is an open access article distributed under the terms and conditions of the Creative Commons Attribution (CC BY) license (http://creativecommons.org/licenses/by/4.0/).
Share and Cite
Borowiec, M.; Gawryluk, J.; Bochenski, M. Influence of Mechanical Couplings on the Dynamical Behavior and Energy Harvesting of a Composite Structure. Polymers 2021, 13, 66. https://doi.org/10.3390/polym13010066
Borowiec M, Gawryluk J, Bochenski M. Influence of Mechanical Couplings on the Dynamical Behavior and Energy Harvesting of a Composite Structure. Polymers. 2021; 13(1):66. https://doi.org/10.3390/polym13010066
Chicago/Turabian StyleBorowiec, Marek, Jaroslaw Gawryluk, and Marcin Bochenski. 2021. "Influence of Mechanical Couplings on the Dynamical Behavior and Energy Harvesting of a Composite Structure" Polymers 13, no. 1: 66. https://doi.org/10.3390/polym13010066
APA StyleBorowiec, M., Gawryluk, J., & Bochenski, M. (2021). Influence of Mechanical Couplings on the Dynamical Behavior and Energy Harvesting of a Composite Structure. Polymers, 13(1), 66. https://doi.org/10.3390/polym13010066

