Polystyrene Biodegradation by Tenebrio molitor Larvae: Identification of Generated Substances Using a GC-MS Untargeted Screening Method
Abstract
1. Introduction
2. Materials and Methods
2.1. Chemicals
2.2. Polystyrene Samples
2.3. Biodegradation of Polystyrene
2.4. Lyophilzation
2.5. Solid-Liquid Extraction
2.6. GC-MS Analysis
2.7. Differential Scanning Calorimetry (DSC)
2.8. Fourier-Transform Infrared Spectroscopy (FTIR)
2.9. Quantification of Identified Compounds
2.10. Data Processing and Statistical Analysis
3. Results
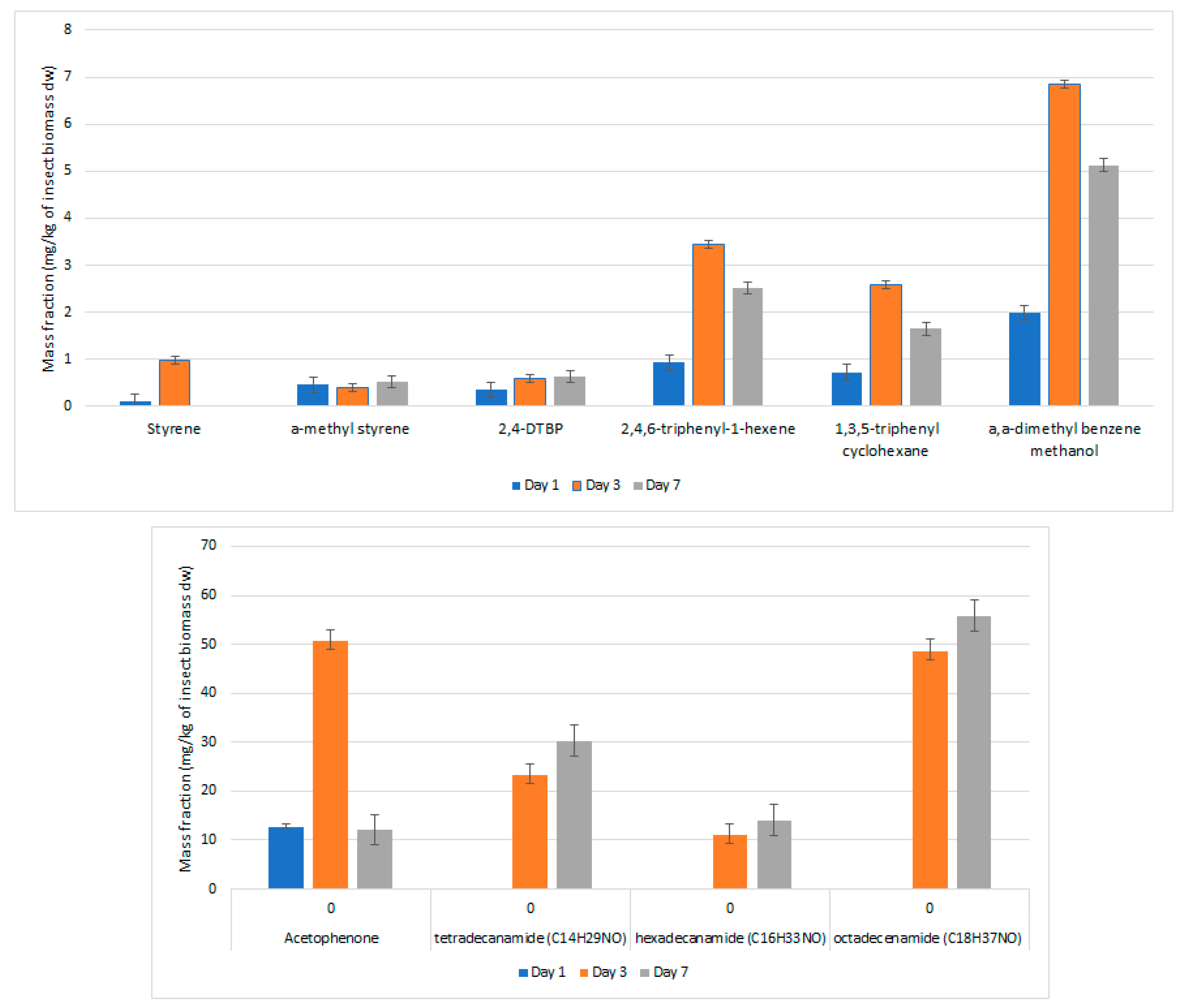
3.1. Untargeted Screening and Identification of Chemical Compounds
3.2. Degradation Rate
4. Discussion
4.1. Analytical Method and Identified Compounds
4.2. Release and Fate of the Identified Chemical Compounds
5. Conclusions
Supplementary Materials
Author Contributions
Funding
Institutional Review Board Statement
Informed Consent Statement
Conflicts of Interest
References
- Tsochatzis, E.D.; Gika, H.; Theodoridis, G. Development and validation of a fast gas chromatography mass spectrometry method for the quantification of selected non-intentionally added substances and polystyrene/polyurethane oligomers in liquid food simulants. Anal. Chim. Acta 2020, 1130, 49–59. [Google Scholar] [CrossRef]
- International Life Sciences Institute (Ed.) Packaging materials. In Polystyrene for Food Packaging Applications: Report Prepared under the Responsibility of the ILSI Europe Packaging Material Task Force; ILSI Europe: Brussels, Belgium, 2002; Volume 2, ISBN 978-1-57881-127-4. [Google Scholar]
- Lou, Y.; Ekaterina, P.; Yang, S.-S.; Lu, B.; Liu, B.; Ren, N.; Corvini, P.F.-X.; Xing, D. Biodegradation of Polyethylene and Polystyrene by Greater Wax Moth Larvae (Galleria mellonella L.) and the Effect of Co-diet Supplementation on the Core Gut Microbiome. Environ. Sci. Technol. 2020, 54, 2821–2831. [Google Scholar] [CrossRef] [PubMed]
- Yang, S.-S.; Wu, W.-M.; Brandon, A.M.; Fan, H.-Q.; Receveur, J.P.; Li, Y.; Wang, Z.-Y.; Fan, R.; McClellan, R.L.; Gao, S.-H.; et al. Ubiquity of polystyrene digestion and biodegradation within yellow mealworms, larvae of Tenebrio molitor Linnaeus (Coleoptera: Tenebrionidae). Chemosphere 2018, 212, 262–271. [Google Scholar] [CrossRef] [PubMed]
- Yang, Y.; Yang, J.; Wu, W.-M.; Zhao, J.; Song, Y.; Gao, L.; Yang, R.; Jiang, L. Biodegradation and Mineralization of Polystyrene by Plastic-Eating Mealworms: Part 1. Chemical and Physical Characterization and Isotopic Tests. Environ. Sci. Technol. 2015, 49, 12080–12086. [Google Scholar] [CrossRef] [PubMed]
- Yang, Y.; Yang, J.; Wu, W.-M.; Zhao, J.; Song, Y.; Gao, L.; Yang, R.; Jiang, L. Biodegradation and Mineralization of Polystyrene by Plastic-Eating Mealworms: Part 2. Role of Gut Microorganisms. Environ. Sci. Technol. 2015, 49, 12087–12093. [Google Scholar] [CrossRef]
- Yang, Y.; Wang, J.; Xia, M. Biodegradation and mineralization of polystyrene by plastic-eating superworms Zophobas atratus. Sci. Total Environ. 2020, 708, 135233. [Google Scholar] [CrossRef]
- Bombelli, P.; Howe, C.J.; Bertocchini, F. Polyethylene bio-degradation by caterpillars of the wax moth Galleria mellonella. Curr. Biol. 2017, 27, R292–R293. [Google Scholar] [CrossRef]
- Kundungal, H.; Gangarapu, M.; Sarangapani, S.; Patchaiyappan, A.; Devipriya, S.P. Efficient biodegradation of polyethylene (HDPE) waste by the plastic-eating lesser waxworm (Achroia grisella). Environ. Sci. Pollut. Res. 2019, 26, 18509–18519. [Google Scholar] [CrossRef]
- EFSA Panel on Food Contact Materials, Enzymes and Processing Aids (CEP); Silano, V.; Barat Baviera, J.M.; Bolognesi, C.; Chesson, A.; Cocconcelli, P.S.; Crebelli, R.; Gott, D.M.; Grob, K.; Lambré, C.; et al. Assessment of the impact of the IARC Monograph Vol. 121 on the safety of the substance styrene (FCM No 193) for its use in plastic food contact materials. EFS2 2020, 18. [Google Scholar] [CrossRef]
- World Health Organization (WHO). International Agency for Research on Cancer (IARC) Monographs on the Identification of Carcinogenic Hazards to Humans. Agents Classified by the IARC Monographs, Volumes 1–127. Available online: https://monographs.iarc.fr/list-of-classifications/ (accessed on 5 November 2020).
- European Commission Commission Regulation (EU) No 10/2011. 2011. Available online: https://eur-lex.europa.eu/eli/reg/2011/10/ (accessed on 15 November 2020).
- Gelbke, H.-P.; Banton, M.; Block, C.; Dawkins, G.; Eisert, R.; Leibold, E.; Pemberton, M.; Puijk, I.M.; Sakoda, A.; Yasukawa, A. Risk assessment for migration of styrene oligomers into food from polystyrene food containers. Food Chem. Toxicol. 2019, 124, 151–167. [Google Scholar] [CrossRef]
- Pilevar, Z.; Bahrami, A.; Beikzadeh, S.; Hosseini, H.; Jafari, S.M. Migration of styrene monomer from polystyrene packaging materials into foods: Characterization and safety evaluation. Trends Food Sci. Technol. 2019, 91, 248–261. [Google Scholar] [CrossRef]
- Tsochatzis, E.D.; Alberto Lopes, J.; Hoekstra, E.; Emons, H. Development and validation of a multi-analyte GC-MS method for the determination of 84 substances from plastic food contact materials. Anal. Bioanal. Chem. 2020, 412, 5419–5434. [Google Scholar] [CrossRef] [PubMed]
- Tsochatzis, E.; Karayannakidis, P.; Kalogiannis, S. Determination of selected dichloroanilines and phthalates in lyophilised mussels samples with ultra-high performance liquid chromatography-tandem mass spectrometry after QuEChERS clean-up. Food Addit. Contam. Part A 2019, 36, 1253–1260. [Google Scholar] [CrossRef]
- Thompson, M.; Ellison, S.L.R.; Wood, R. Harmonized guidelines for single-laboratory validation of methods of analysis (IUPAC Technical Report). Pure Appl. Chem. 2002, 74, 835–855. [Google Scholar] [CrossRef]
- European Commission. Directorate General for Health and Food Safety Guidance Document on Analytical Quality Control and Method Validation Procedures for Pesticide Residues and Analysis in Food and Feed; SANTE/11813/2017; European Commission: Brussels, Belgium, 2017. [Google Scholar]
- Brandon, A.M.; Gao, S.-H.; Tian, R.; Ning, D.; Yang, S.-S.; Zhou, J.; Wu, W.-M.; Criddle, C.S. Biodegradation of Polyethylene and Plastic Mixtures in Mealworms (Larvae of Tenebrio molitor ) and Effects on the Gut Microbiome. Environ. Sci. Technol. 2018, 52, 6526–6533. [Google Scholar] [CrossRef]
- Magnusson, B.; Örnemark, U. Eurachem Guide: The Fitness for Purpose of Analytical Methods—A Laboratory Guide to Method Validation and Related Topics, 2nd ed.; Eurachem: Lisboa, Portugal, 2014; ISBN 978-91-87461-59-0. [Google Scholar]
- Wang, X.; Venkataramanan, N.S.; Kawanami, H.; Ikushima, Y. Selective oxidation of styrene to acetophenone over supported Au–Pd catalyst with hydrogen peroxide in supercritical carbon dioxide. Green Chem. 2007, 9, 1352. [Google Scholar] [CrossRef]
- Nobuta, T.; Hirashima, S.; Tada, N.; Miura, T.; Itoh, A. One-Pot Metal-Free Syntheses of Acetophenones from Styrenes through Aerobic Photo-oxidation and Deiodination with Iodine. Org. Lett. 2011, 13, 2576–2579. [Google Scholar] [CrossRef]
- Hatano, M.; Ito, O.; Suzuki, S.; Ishihara, K. Zinc(II)-Catalyzed Addition of Grignard Reagents to Ketones. J. Org. Chem. 2010, 75, 5008–5016. [Google Scholar] [CrossRef]
- Engleder, M.; Pichler, H. On the current role of hydratases in biocatalysis. Appl. Microbiol. Biotechnol. 2018, 102, 5841–5858. [Google Scholar] [CrossRef]
- Kong, H.G.; Kim, H.H.; Chung, J.; Jun, J.; Lee, S.; Kim, H.-M.; Jeon, S.; Park, S.G.; Bhak, J.; Ryu, C.-M. The Galleria mellonella Hologenome Supports Microbiota-Independent Metabolism of Long-Chain Hydrocarbon Beeswax. Cell Rep. 2019, 26, 2451–2464.e5. [Google Scholar] [CrossRef]
- Hara, R.; Hirai, K.; Suzuki, S.; Kino, K. A chemoenzymatic process for amide bond formation by an adenylating enzyme-mediated mechanism. Sci. Rep. 2018, 8, 2950. [Google Scholar] [CrossRef]
- Goswami, A.; Van Lanen, S.G. Enzymatic strategies and biocatalysts for amide bond formation: Tricks of the trade outside of the ribosome. Mol. BioSyst. 2015, 11, 338–353. [Google Scholar] [CrossRef]
- Son, Y.-J.; Choi, S.Y.; Hwang, I.-K.; Nho, C.W.; Kim, S.H. Could Defatted Mealworm (Tenebrio molitor) and Mealworm Oil Be Used as Food Ingredients? Foods 2020, 9, 40. [Google Scholar] [CrossRef]
- Chiu, H.-H.; Kuo, C.-H. Gas chromatography-mass spectrometry-based analytical strategies for fatty acid analysis in biological samples. J. Food Drug Anal. 2020, 28, 60–73. [Google Scholar] [CrossRef]
- Hoppe, M.; Fornari, R.; de Voogt, P.; Franz, R. Migration of oligomers from PET: Determination of diffusion coefficients and comparison of experimental versus modelled migration. Food Addit. Contam. Part A 2017, 34, 1251–1260. [Google Scholar] [CrossRef]
- Tsochatzis, E.D.; Alberto Lopes, J.; Kappenstein, O.; Tietz, T.; Hoekstra, E.J. Quantification of PET cyclic and linear oligomers in teabags by a validated LC-MS method—In silico toxicity assessment and consumer’s exposure. Food Chem. 2020, 317, 126427. [Google Scholar] [CrossRef]





| Analyte | tR | m/z | Molecular Formula | Molecular Mass (Da) |
|---|---|---|---|---|
| Styrene | 6.783 | 104.0 | C8H8 | 104.15 |
| α-Methyl styrene | 7.291 | 117.9 | C9H10 | 118.18 |
| Acetophenone | 9.127 | 104.9 | C8H8O | 120.15 |
| α,α-Dimethyl benzene methanol (cumyl alcohol) | 9.544 | 120.9 | C9H12O | 136.19 |
| Ethyl myristate | 10.770 | 88.0 | C16H32O2 | 256.42 |
| Ethyl palmitate | 11.562 | 88.0 | C18H36O2 | 284.48 |
| Ethyl linoleate | 12.475 | 67.0 | C20H36O2 | 308.50 |
| 2,4-Di-tert butyl phenol (DTBP) | 11.750 | 191.1 | C14H22O | 206.32 |
| 2,4,6-Triphenyl-1-hexene | 12.399 | 117.1 | C24H24 | 312.45 |
| Methyl-9,12-octadecadienoate | 12.775 | 67.0 | C19H34O2 | 294.47 |
| 1,3,5-Triphenylcyclohexane | 12.595 | 117.1 | C24H24 | 312.45 |
| Tetradecanamide | 15.013 | 59.0 | C14H29NO | 227.39 |
| Hexadecanamide | 17.038 | 59.0 | C16H33NO | 255.44 |
| 9-Octadecenamide (oleamide) | 20.691 | 59.0 | C18H35NO | 281.48 |
| Undecanoic acid (undecylic acid) | 12.815 | 73.0 | C11H22O2 | 186.29 |
| Tetradecanoic acid (myristic acid) | 13.360 | 73.0 | C14H28O2 | 228.37 |
| Hexadecanoic acid (palmitic acid) | 15.022 | 73.0 | C16H32O2 | 256.42 |
| Oleic acid | 17.326 | 41.0 | C18H34O2 | 282.46 |
Publisher’s Note: MDPI stays neutral with regard to jurisdictional claims in published maps and institutional affiliations. |
© 2020 by the authors. Licensee MDPI, Basel, Switzerland. This article is an open access article distributed under the terms and conditions of the Creative Commons Attribution (CC BY) license (http://creativecommons.org/licenses/by/4.0/).
Share and Cite
Tsochatzis, E.; Lopes, J.A.; Gika, H.; Theodoridis, G. Polystyrene Biodegradation by Tenebrio molitor Larvae: Identification of Generated Substances Using a GC-MS Untargeted Screening Method. Polymers 2021, 13, 17. https://doi.org/10.3390/polym13010017
Tsochatzis E, Lopes JA, Gika H, Theodoridis G. Polystyrene Biodegradation by Tenebrio molitor Larvae: Identification of Generated Substances Using a GC-MS Untargeted Screening Method. Polymers. 2021; 13(1):17. https://doi.org/10.3390/polym13010017
Chicago/Turabian StyleTsochatzis, Emmanouil, Joao Alberto Lopes, Helen Gika, and Georgios Theodoridis. 2021. "Polystyrene Biodegradation by Tenebrio molitor Larvae: Identification of Generated Substances Using a GC-MS Untargeted Screening Method" Polymers 13, no. 1: 17. https://doi.org/10.3390/polym13010017
APA StyleTsochatzis, E., Lopes, J. A., Gika, H., & Theodoridis, G. (2021). Polystyrene Biodegradation by Tenebrio molitor Larvae: Identification of Generated Substances Using a GC-MS Untargeted Screening Method. Polymers, 13(1), 17. https://doi.org/10.3390/polym13010017

