Print Velocity Effects on Strain-Rate Sensitivity of Acrylonitrile-Butadiene-Styrene Using Material Extrusion Additive Manufacturing
Abstract
1. Introduction
2. Material and Methods
2.1. Material
2.2. Material Processing
2.3. Mechanical Characterization
2.4. Apparent Density
2.5. SEM Fractography
2.6. Polymer Chain Orientation and Stretch
2.7. Modeling
3. Results and Discussion
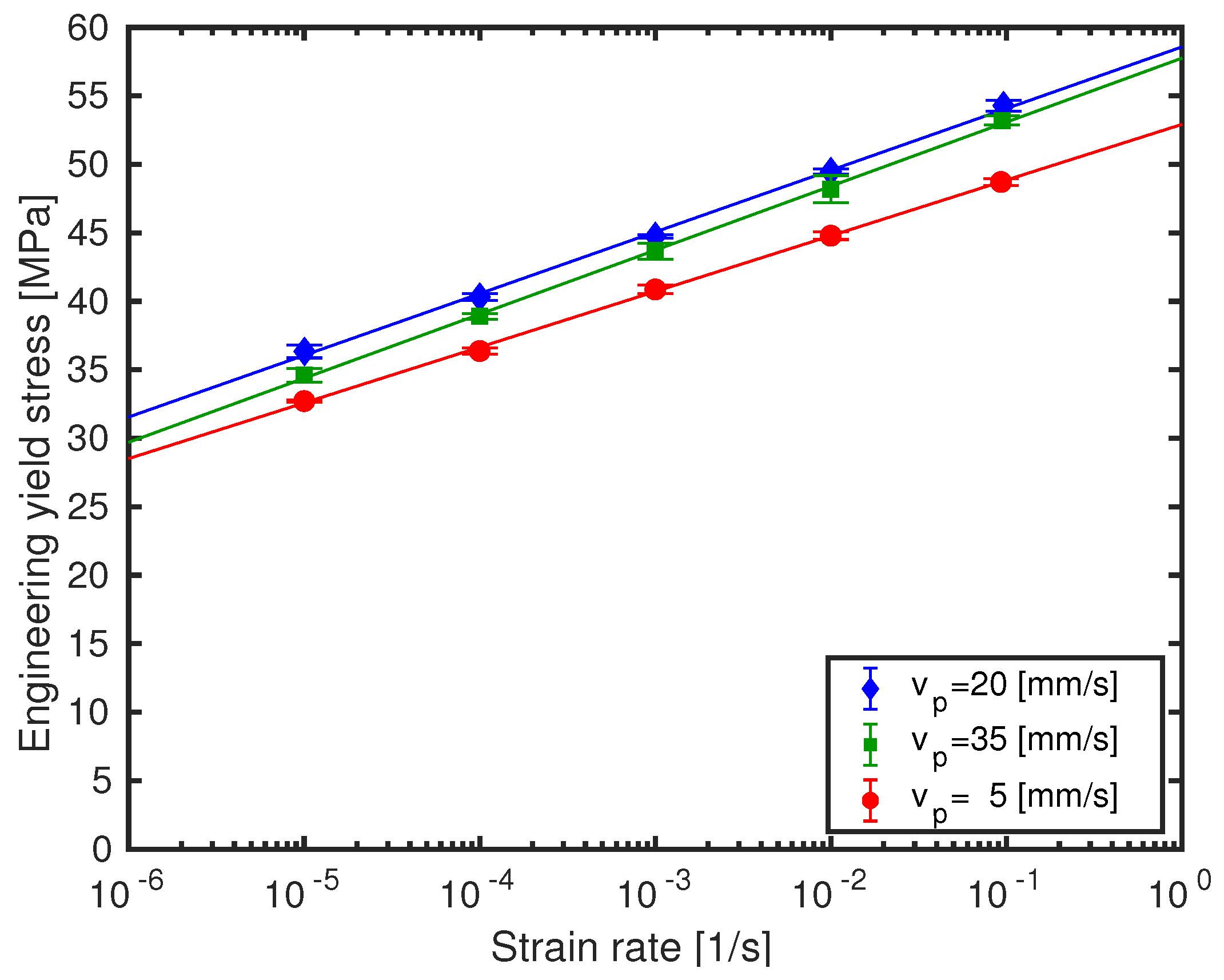
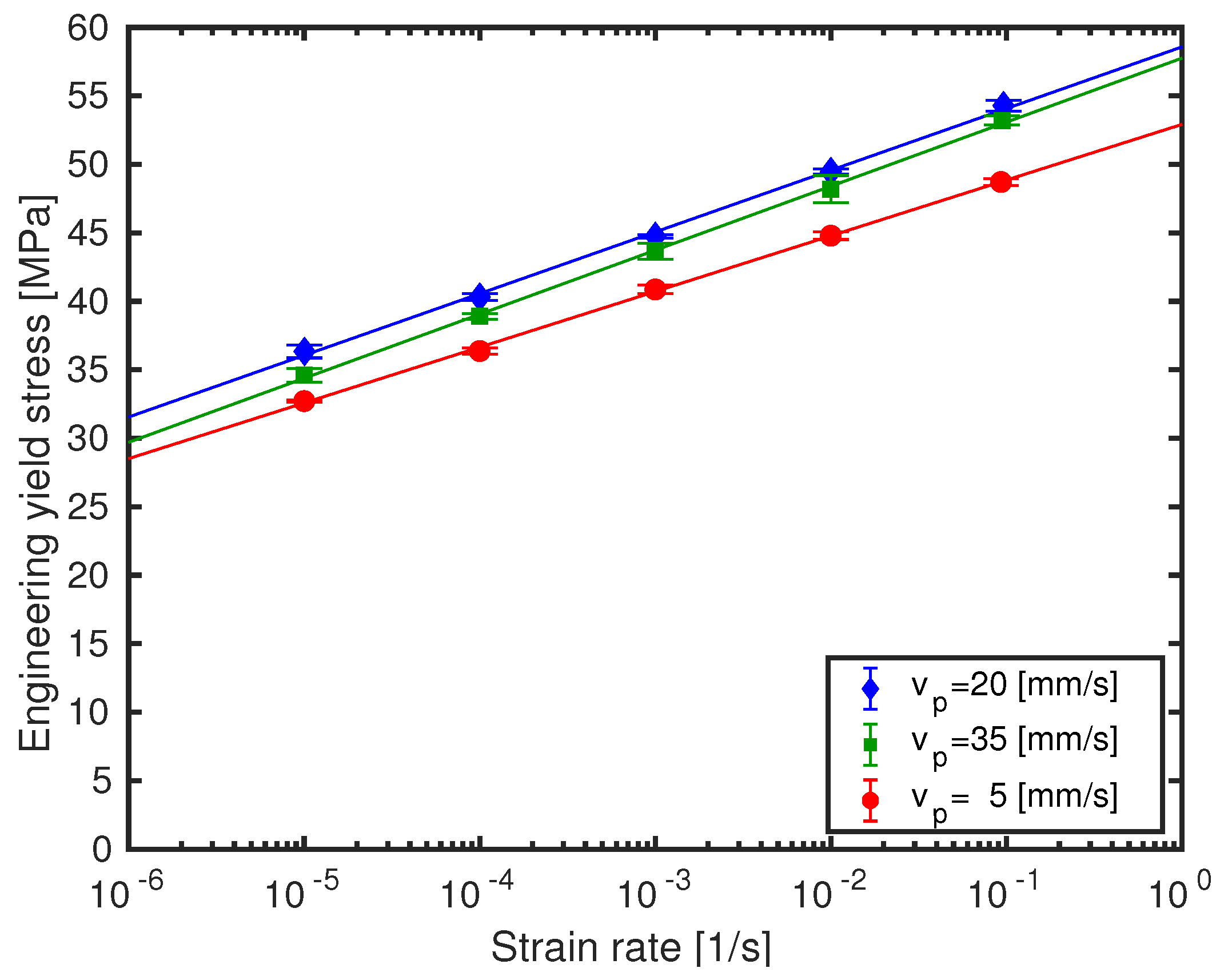
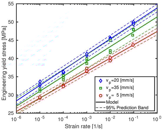
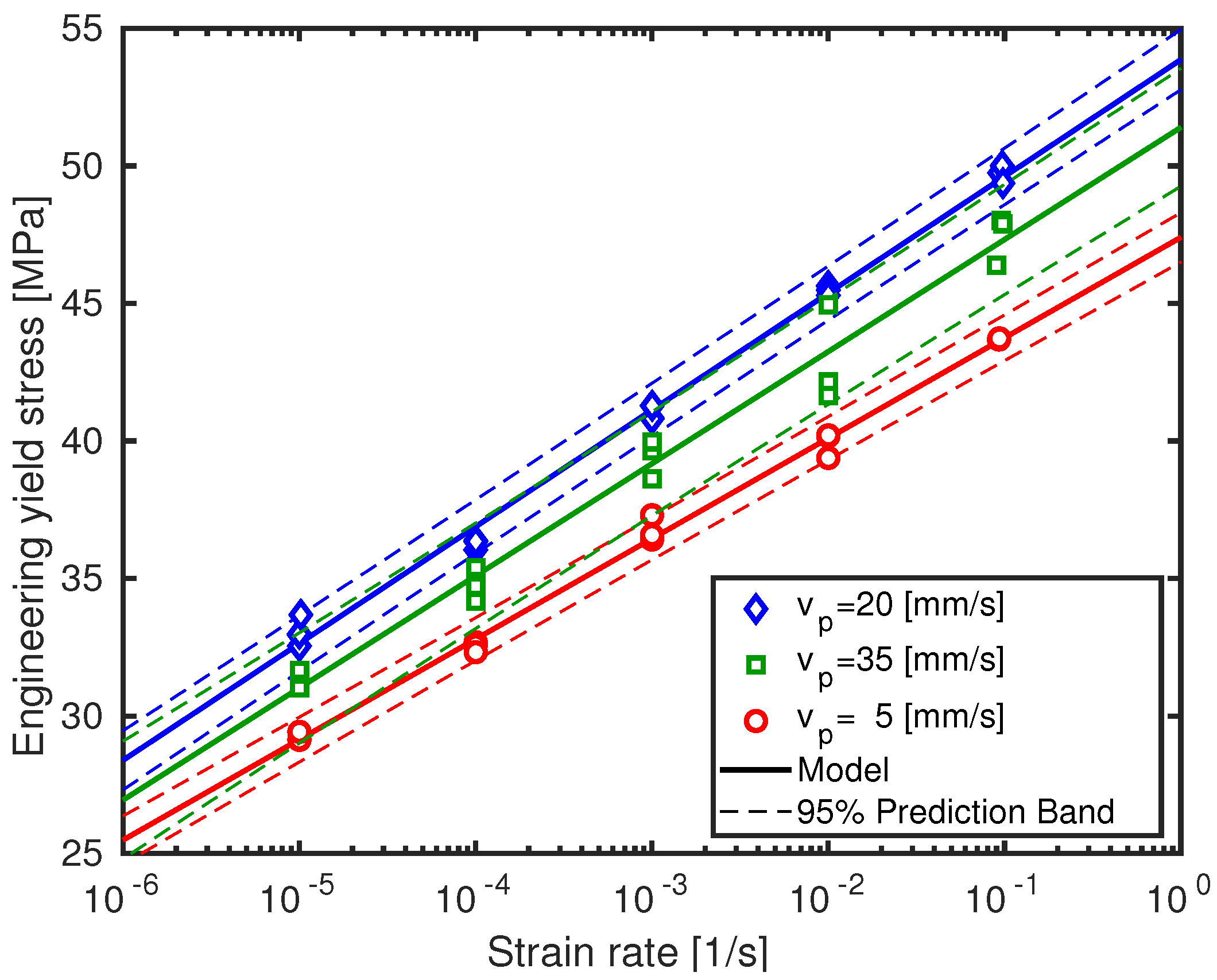
3.1. Mechanical Characterization
3.2. Analysis of Variance
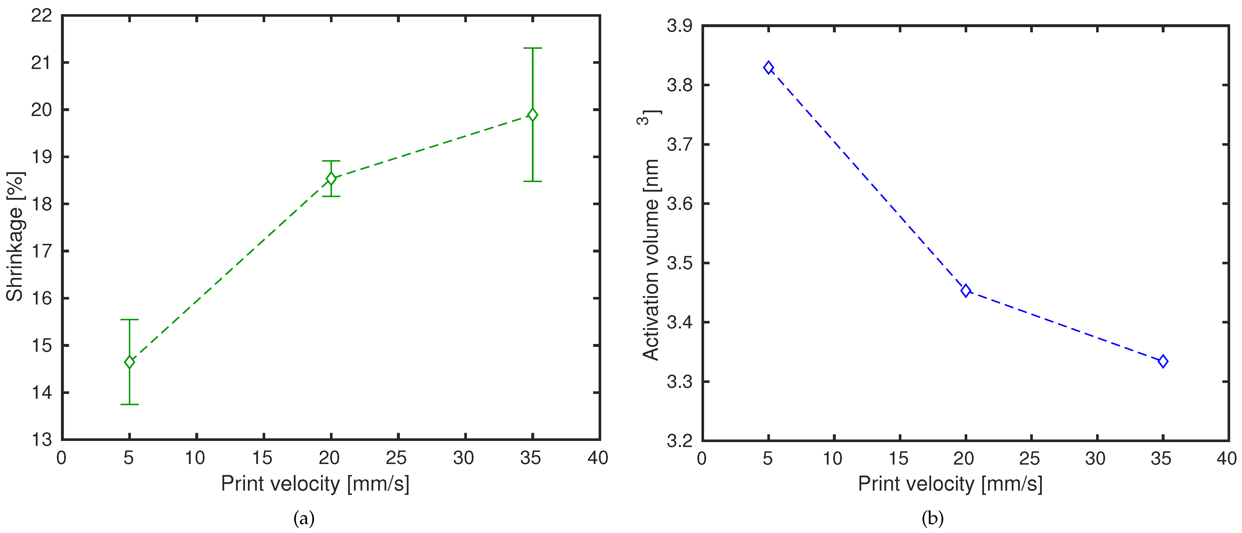
3.3. Polymer Chain Orientation and Stretch
3.4. Strain-Dependent Activation Volume
3.5. SEM Fractography
4. Conclusions
Author Contributions
Funding
Acknowledgments
Conflicts of Interest
References
- Mellor, S.; Hao, L.; Zhang, D. Additive manufacturing: A framework for implementation. Int. J. Prod. Econ. 2014, 149, 194–201. [Google Scholar] [CrossRef]
- ISO/ASTM 52900. Additive Manfucturing—General Principles—Terminology; ISO: Geneva, Switzerland, 2015. [Google Scholar]
- Turner, B.; Strong, R.; Gold, S. A review of melt extrusion additive manufacturing processes: I. Process design and modeling. Rapid Prototyp. J. 2014, 20, 192–204. [Google Scholar] [CrossRef]
- Dizon, J.; Espera, A., Jr.; Chen, Q.; Advincula, R. Mechanical characterization of 3D-printed polymers. Addit. Manuf. 2018, 20, 44–67. [Google Scholar] [CrossRef]
- McIlroy, C.; Olmsted, P. Disentanglement effects on welding behaviour of polymer melts during the fused-filament-fabrication method for additive manufacturing. Polymer 2017, 123, 376–391. [Google Scholar] [CrossRef]
- Mackay, M. The importance of rheological behavior in the additive manufacturing technique material extrusion. J. Rheol. 2018, 62, 1549–1561. [Google Scholar] [CrossRef]
- Srinivas, V.; Van Hooy-Corstjens, C.; Harings, J. Correlating molecular and crystallization dynamics to macroscopic fusion and thermodynamic stability in fused deposition modeling; a model study on polylactides. Polymer 2018, 142, 348–355. [Google Scholar] [CrossRef]
- Abbott, A.; Tandon, G.; Bradford, R.; Koerner, H.; Baur, J. Process-structure-property effects on ABS bond strength in fused filament fabrication. Addit. Manuf. 2018, 19, 29–38. [Google Scholar] [CrossRef]
- Rodríguez, J.; Thomas, J.; Renaud, J. Mechanical behavior of acrylonitrile butadiene styrene (ABS) fused deposition materials. Experimental investigation. Rapid Prototyp. J. 2001, 7, 148–158. [Google Scholar] [CrossRef]
- Kousiatza, C.; Karalekas, D. In-situ monitoring of strain and temperature distributions during fused deposition modeling process. Mater. Des. 2016, 97, 400–406. [Google Scholar] [CrossRef]
- Sun, Q.; Rizvi, G.; Bellehumeur, C.; Gu, P. Effect of processing conditions on the bonding quality of FDM polymer filaments. Rapid Prototyp. J. 2008, 14, 72–80. [Google Scholar] [CrossRef]
- Seppala, J.; Migler, K. Infrared thermography of welding zones produced by polymer extrusion additive manufacturing. Addit. Manuf. 2016, 12, 71–76. [Google Scholar] [CrossRef] [PubMed]
- McIlroy, C.; Graham, R. Modelling flow-enhanced crystallisation during fused filament fabrication of semi-crystalline polymer melts. Addit. Manuf. 2018, 24, 323–340. [Google Scholar] [CrossRef]
- Northcutt, L.; Orski, S.; Migler, K.; Kotula, A. Effect of processing conditions on crystallization kinetics during materials extrusion additive manufacturing. Polymer 2018, 154, 182–187. [Google Scholar] [CrossRef] [PubMed]
- Rodriguez, J.; Thomas, J.; Renaud, J. Characterization of the mesostructure of fused-deposition acrylonitrile-butadiene-styrene materials. Rapid Prototyp. J. 2000, 6, 175–185. [Google Scholar] [CrossRef]
- Verbeeten, W.; Kanters, M.; Engels, T.; Govaert, L. Yield stress distribution in injection-moulded glassy polymers. Polym. Int. 2015, 64, 1527–1536. [Google Scholar] [CrossRef]
- Verbeeten, W.; Lorenzo-Bañuelos, M.; Arribas-Subiñas, P. Anisotropic rate-dependent mechanical behavior of Poly(Lactic Acid) processed by Material Extrusion Additive Manufacturing. Addit. Manuf. 2020, 31, 100968. [Google Scholar] [CrossRef]
- Bertoldi, M.; Yardimci, M.; Pistor, C.M.; Güceri, S.; Sala, G. Mechanical Characterization of Parts Processed via Fused Deposition. Solid Free. Fabr. Symp. 1998, 9, 557–565. [Google Scholar]
- McIlroy, C.; Olmsted, P. Deformation of an amorphous polymer during the fused-filament-fabrication method for additive manufacturing. J. Rheol. 2017, 61, 379–397. [Google Scholar] [CrossRef]
- Seppala, J.; Han, S.; Hillgartner, K.; Davis, C.; Migler, K. Weld formation during material extrusion additive manufacturing. Soft Matter 2017, 13, 6761–6769. [Google Scholar] [CrossRef]
- Coogan, T.; Kazmer, D. In-line rheological monitoring of fused deposition modeling. J. Rheol. 2019, 63, 141–155. [Google Scholar] [CrossRef]
- Peng, F.; Vogt, B.; Cakmak, M. Complex flow and temperature history during melt extrusion in material extrusion additive manufacturing. Addit. Manuf. 2018, 22, 197–206. [Google Scholar] [CrossRef]
- Verbeeten, W.; Lorenzo-Bañuelos, M.; Saiz-Ortiz, R.; González, R. Strain-rate dependent properties of short carbon-fiber reinforced Acrylonitrile-Butadiene-Styrene using Material Extrusion Additive Manufacturing. Rapid Prototyp. J. 2020. [Google Scholar] [CrossRef]
- Coates, P.; Ward, I. The plastic deformation behaviour of linear polyethylene and polyoxymethylene. J. Mater. Sci. 1978, 13, 1957–1970. [Google Scholar] [CrossRef]
- Ward, I. The Role of Molecular Networks and Thermally Activated Processes in the Deformation Behavior of Polymers. Polym. Eng. Sci. 1984, 24, 724–736. [Google Scholar] [CrossRef]
- Botto, P.; Duckett, R.; Ward, I. The yield and thermoelastic properties of oriented poly(methyl methacrylate). Polymer 1987, 28, 257–262. [Google Scholar] [CrossRef]
- Hope, P.; Ward, I.; Gibson, A. The hydrostatic extrusion of polymethylmethacrylate. J. Mater. Sci. 1980, 15, 2207–2220. [Google Scholar] [CrossRef]
- Hope, P.; Ward, I. An activated rate theory approach to the hydrostatic extrusion of polymers. J. Mater. Sci. 1981, 16, 1511–1521. [Google Scholar] [CrossRef]
- Bauwens-Crowet, C.; Bauwens, J.; Homès, G. Tensile yield-stress behavior of glassy polymers. J. Polym. Sci. Part A-2 Polym. Phys. 1969, 7, 735–742. [Google Scholar] [CrossRef]
- Roetling, J. Yield Stress Behaviour of Polymethylmethacrylate. Polymer 1965, 6, 311–317. [Google Scholar] [CrossRef]
- Wendlandt, M.; Tervoort, T.; Suter, U. Nonlinear, rate-dependent strain-hardening behavior of polymer glasses. Polymer 2005, 46, 11786–11797. [Google Scholar] [CrossRef]
- Senden, D.; Krop, S.; Van Dommelen, J.; Govaert, L. Rate- and Temperature-Dependent Strain Hardening of Polycarbonate. J. Polym. Sci. Part B Polym. Phys. 2012, 50, 1680–1693. [Google Scholar] [CrossRef]
- Van Erp, T.; Reynolds, C.; Peijs, T.; Van Dommelen, J.; Govaert, L. Prediction of yield and long-term failure of oriented polypropylene: Kinetics and anisotropy. J. Polym. Sci. Part B Polym. Phys. 2009, 47, 2026–2035. [Google Scholar] [CrossRef]
- Senden, D.; Van Dommelen, J.; Govaert, L. Strain hardening and its relation to Bauschinger effects in oriented polymers. J. Polym. Sci. Part B Polym. Phys. 2010, 48, 1483–1494. [Google Scholar] [CrossRef]
- Van Erp, T.; Govaert, L.; Peters, G. Mechanical Performance of Injection-Molded Poly(propylene): Characterization and Modeling. Macromol. Mater. Eng. 2013, 298, 348–358. [Google Scholar] [CrossRef]
- Senden, D.; Peters, G.; Govaert, L.; Van Dommelen, J. Anisotropic yielding of injection molded polyethylene: Experiments and modeling. Polymer 2013, 54, 5899–5908. [Google Scholar] [CrossRef]
- Sweeney, J.; Naz, S.; Coates, P. Viscoplastic Constitutive Modeling of Polymers—Flow Rules and the Plane Strain Response. J. Appl. Polym. Sci. 2009, 111, 1190–1198. [Google Scholar] [CrossRef]
- Sweeney, J.; Naz, S.; Coates, P. Modeling the Tensile Behavior of Ultra-High-Molecular-Weight Polyethylene with a Novel Flow Rule. J. Appl. Polym. Sci. 2011, 121, 2936–2944. [Google Scholar] [CrossRef]
- Ree, T.; Eyring, H. Theory of Non-Newtonian Flow. I. Solid Plastic System. J. Appl. Phys. 1955, 26, 793–800. [Google Scholar] [CrossRef]
- Tervoort, T.; Klompen, E.; Govaert, L. A multi-mode approach to finite, three-dimensional, nonlinear viscoelastic behavior of polymer glasses. J. Rheol. 1996, 40, 779–797. [Google Scholar] [CrossRef]
- Van Breemen, L.; Klompen, E.; Govaert, L.; Meijer, H. Extending the EGP constitutive model for polymer glasses to multiple relaxation times. J. Mech. Phys. Solids 2011, 59, 2191–2207. [Google Scholar] [CrossRef]
- Haward, R.; Thackray, G. The Use of a Mathematical Model to Describe Isothermal Stress-Strain Curves in Glassy Thermoplastics. Proc. R. Soc. Lond. Ser. A Math. Phys. Eng. Sci. 1968, 302, 453–472. [Google Scholar] [CrossRef]
- Klompen, E.; Govaert, L. Nonlinear Viscoelastic Behaviour of Thermorheologically Complex Materials. Mech. Time-Dep. Mater. 1999, 3, 49–69. [Google Scholar] [CrossRef]
- Janssen, R.; de Kanter, D.; Govaert, L.; Meijer, H. Fatigue Life Predictions for Glassy Polymers: A Constitutive Approach. Macromolecules 2008, 41, 2520–2530. [Google Scholar] [CrossRef]
- Visser, H.; Bor, T.; Wolters, M.; Engels, T.; Govaert, L. Lifetime Assessment of Load-Bearing Polymer Glasses: An Analytical Framework for Ductile Failure. Macromol. Mater. Eng. 2010, 295, 637–651. [Google Scholar] [CrossRef]
- Kanters, M.; Remerie, K.; Govaert, L. A New Protocol for Accelerated Screening of Long-Term Plasticity-Controlled Failure of Polyethylene Pipe Grades. Polym. Eng. Sci. 2016, 56, 676–688. [Google Scholar] [CrossRef]
- Martins, J.; Klohn, T.; Bianchi, O.; Fiorio, R.; Freire, E. Dynamic mechanical, thermal, and morphological study of ABS/textile fiber composites. Polym. Bull. 2010, 64, 497–510. [Google Scholar] [CrossRef]
- Díez-Pascual, A.; Gascón, D. Carbon Nanotube Buckypaper Reinforced Acrylonitrile–Butadiene–Styrene Composites for Electronic Applications. ACS Appl. Mater. Interfaces 2013, 5, 12107–12119. [Google Scholar] [CrossRef]
- Ceresana. Market Study: Engineering Plastics, 3rd ed.; Ceresana: Constance, Germany, 2018. [Google Scholar]
- Bauwens-Crowet, C. The compression yield behaviour of polymethyl methacrylate over a wide range of temperatures and strain-rates. J. Mater. Sci. 1973, 8, 968–979. [Google Scholar] [CrossRef]
- Ward, I. Review: The Yield Behaviour of Polymers. J. Mater. Sci. 1971, 6, 1397–1417. [Google Scholar] [CrossRef]
- Truss, R.; Chadwick, G. Tensile deformation behaviour of ABS polymers. J. Mater. Sci. 1976, 11, 111–117. [Google Scholar] [CrossRef]
- Klompen, E.; Engels, T.; Govaert, L.; Meijer, H. Modeling of the Postyield Response of Glassy Polymers: Influence of Thermomechanical History. Macromolecules 2005, 38, 6997–7008. [Google Scholar] [CrossRef]
- Chen, C.; Sauer, J. Yield and fracture mechanisms in ABS. J. Appl. Polym. Sci. 1990, 40, 503–521. [Google Scholar] [CrossRef]
- Bernal, C.; Frontini, P.; Sforza, M.; Bibbó, M. Microstructure, deformation, and fracture behavior of commercial ABS resins. J. Appl. Polym. Sci. 1995, 58, 1–10. [Google Scholar] [CrossRef]
- Louche, H.; Piette-Coudol, F.; Arrieux, R.; Issartel, J. An experimental and modeling study of the thermomechanical behavior of an ABS polymer structural component during an impact test. Int. J. Impact Eng. 2009, 36, 847–861. [Google Scholar] [CrossRef]
- Bellini, A.; Güçeri, S. Mechanical characterization of parts fabricated using fused deposition modeling. Rapid Prototyp. J. 2003, 9, 252–264. [Google Scholar] [CrossRef]
- Tymrak, B.; Kreiger, M.; Pearce, J. Mechanical properties of components fabricated with open-source 3D printers under realistic environmental conditions. Mater. Des. 2014, 58, 242–246. [Google Scholar] [CrossRef]
- Ning, F.; Cong, W.; Hu, Y.; Wang, H. Additive manufacturing of carbon fiber-reinforced plastic composites using fused deposition modeling: Effects of process parameters on tensile properties. J. Compos. Mater. 2017, 51, 451–462. [Google Scholar] [CrossRef]
- Bauwens-Crowet, C.; Bauwens, J.C.; Homès, G. The Temperature Dependence of Yield of Polycarbonate in Uniaxial Compression and Tensile Tests. J. Mater. Sci. 1972, 7, 176–183. [Google Scholar] [CrossRef]








| Processing Parameter | Value |
|---|---|
| Nozzle diameter [mm] | 0.40 |
| Extrusion width [mm] | 0.30 |
| Layer height [mm] | 0.20 |
| Number of perimeters | 2 |
| Infill pattern | Rectilinear |
| Fill percentage | 100% |
| Outline overlap | 80% |
| Extrusion temperature [C] | 230 |
| Bed temperature [C] | 100 |
| Infill orientation angle | |
| Printing speed [mm/s] | 5, 20, 35 |
| Sample | E | ||||||||
|---|---|---|---|---|---|---|---|---|---|
| Nomenclature | [] | [MPa] | [MPa] | [%] | [%] | ||||
| 1886 | |||||||||
| 1918 | |||||||||
| ABSv05 | 1954 | ||||||||
| 1978 | |||||||||
| 1949 | |||||||||
| 2192 | |||||||||
| 2192 | |||||||||
| ABSv20 | 2208 | ||||||||
| 2202 | |||||||||
| 2168 | |||||||||
| 2018 | |||||||||
| 2025 | |||||||||
| ABSv35 | 2101 | ||||||||
| 2084 | |||||||||
| 2109 | |||||||||
| Sample | Porosity | |||||
|---|---|---|---|---|---|---|
| Nomenclature | [] | [%] | [] | [] | ||
| ABSv05 | ||||||
| ABSv20 | ||||||
| ABSv35 | ||||||
| Source | Degree of Freedom | Sum of Squares | Mean Square | F-Value | p-Value |
|---|---|---|---|---|---|
| Strain rate | 4 | 0 | |||
| Print velocity | 2 | 0 | |||
| 8 | |||||
| Error | 30 | ||||
| Total | 44 |
| Sample | Length | Width | Height | Pre-Strain | ||||
|---|---|---|---|---|---|---|---|---|
| Nomenclature | [%] | [%] | [%] | [-] | ||||
| Filament | ||||||||
| ABSv05 | ||||||||
| ABSv20 | ||||||||
| ABSv35 | ||||||||
Publisher’s Note: MDPI stays neutral with regard to jurisdictional claims in published maps and institutional affiliations. |
© 2021 by the authors. Licensee MDPI, Basel, Switzerland. This article is an open access article distributed under the terms and conditions of the Creative Commons Attribution (CC BY) license (http://creativecommons.org/licenses/by/4.0/).
Share and Cite
Verbeeten, W.M.H.; Arnold-Bik, R.J.; Lorenzo-Bañuelos, M. Print Velocity Effects on Strain-Rate Sensitivity of Acrylonitrile-Butadiene-Styrene Using Material Extrusion Additive Manufacturing. Polymers 2021, 13, 149. https://doi.org/10.3390/polym13010149
Verbeeten WMH, Arnold-Bik RJ, Lorenzo-Bañuelos M. Print Velocity Effects on Strain-Rate Sensitivity of Acrylonitrile-Butadiene-Styrene Using Material Extrusion Additive Manufacturing. Polymers. 2021; 13(1):149. https://doi.org/10.3390/polym13010149
Chicago/Turabian StyleVerbeeten, Wilco M. H., Rob J. Arnold-Bik, and Miriam Lorenzo-Bañuelos. 2021. "Print Velocity Effects on Strain-Rate Sensitivity of Acrylonitrile-Butadiene-Styrene Using Material Extrusion Additive Manufacturing" Polymers 13, no. 1: 149. https://doi.org/10.3390/polym13010149
APA StyleVerbeeten, W. M. H., Arnold-Bik, R. J., & Lorenzo-Bañuelos, M. (2021). Print Velocity Effects on Strain-Rate Sensitivity of Acrylonitrile-Butadiene-Styrene Using Material Extrusion Additive Manufacturing. Polymers, 13(1), 149. https://doi.org/10.3390/polym13010149

