Progress of Disintegration of Polylactide (PLA)/Poly(Butylene Succinate) (PBS) Blends Containing Talc and Chalk Inorganic Fillers under Industrial Composting Conditions
Abstract
1. Introduction
- biodeterioration (material fragmentation in tiny pieces due to decomposers such as microorganisms and/or abiotic factors)
- depolymerisation/biofragmentation (molecular mass reduction due to chain cleavages)
- mineralization and biomass production, sometimes named as “assimilation” (uptake of small molecules into the living cells and therein conversion to biomass, storage vesicles and metabolites, finally leading to total mineralization, which is the formation of simple molecules such as H2O and CO2) [12].
2. Materials and Methods
2.1. Materials
2.2. Methods
2.2.1. Sample Preparation
Blending
Injection Molding
Disintegration Trial
2.2.2. Sample Measurements
Degree of Disintegration
Mechanical Properties
Differential Scanning Calorimetry (DSC)
Microscopy
3. Results and Discussion
3.1. Influence of Blend Components after Composting Conditions
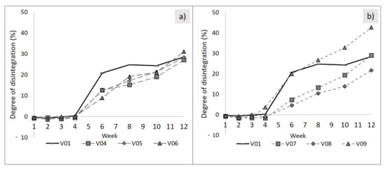
3.2. Influence of Filler Type, Size and Amount
3.2.1. Before Composting
3.2.2. Disintegration and Material Properties after 12 Weeks under Composting Conditions
3.3. Influence of Sample Thickness
3.4. Influence of Surface Roughness
4. Conclusions
Author Contributions
Funding
Acknowledgments
Conflicts of Interest
References
- Vert, M.; Doi, Y.; Hellwich, K.-H.; Hess, M.; Hodge, P.; Kubisa, P.; Rinaudo, M.; Schué, F. Terminology for biorelated polymers and applications (IUPAC Recommendations 2012). Pure Appl. Chem. 2012, 84, 377–410. [Google Scholar] [CrossRef]
- Ebnesajjad, S. Handbook of Biopolymers and Biodegradable Plastics—Properties, Processing. 11. Biodegradability Testing of Compostable Polymer Materials; Elsevier/William Andrew: Waltham, MA, USA, 2013. [Google Scholar]
- Elsawy, M.A.; Kim, K.-H.; Park, J.-W.; Deep, A. Hydrolytic degradation of polylactic acid (PLA) and its composites. Renew. Sustain. Energy Rev. 2017, 79, 1346–1352. [Google Scholar] [CrossRef]
- Zhao, J.-H.; Wang, X.-Q.; Zeng, J.; Yang, G.; Shi, F.-H.; Yan, Q. Biodegradation of poly(butylene succinate) in compost. J. Appl. Polym. Sci. 2005, 97, 2273–2278. [Google Scholar] [CrossRef]
- Wang, Y.-P.; Xiao, Y.-J.; Duan, J.; Yang, J.-H.; Wang, Y.; Zhang, C.-L. Accelerated hydrolytic degradation of poly(lactic acid) achieved by adding poly(butylene succinate). Polym. Bull. 2016, 73, 1067–1083. [Google Scholar] [CrossRef]
- Bhatia, A.; Gupta, R.K.; Bhattacharya, S.N.; Choi, H.J. Compatibility of biodegradable poly(lactic acid) (PLA) and poly(butylene succinate) (PBS) blends for packaging application. Korea-Aust. Rheol. J. 2007, 19, 125–131. [Google Scholar]
- Zhang, X.; Liu, Q.; Shi, J.; Ye, H.; Zhou, Q. Distinctive tensile properties of the blends of Poly(l-lactic acid) (PLLA) and Poly(butylene succinate) (PBS). J. Polym. Env. 2018, 26, 1737–1744. [Google Scholar] [CrossRef]
- Su, S.; Kopitzky, R.; Tolga, S.; Kabasci, S. Polylactide (PLA) and its blends with Poly(butylene succinate) (PBS): A brief review. Polymers 2019, 11, 1193. [Google Scholar] [CrossRef]
- Maier, R.-D.; Schiller, M. Handbuch Kunststoff-Additive, 4th ed.; Vollständig Neu Bearbeitete Auflage; Hanser: München, Germany, 2016. [Google Scholar]
- Davison, N.L.; Barrère-de Groot, F.; Grijpma, D.W. Degradation of biomaterials. In Tissue Engineering; Elsevier: Amsterdam, The Netherlands, 2014; pp. 177–215. [Google Scholar] [CrossRef]
- Soroudi, A.; Jakubowicz, I. Recycling of bioplastics, their blends and biocomposites: A review. Eur. Polym. J. 2013, 49, 2839–2858. [Google Scholar] [CrossRef]
- Lucas, N.; Bienaime, C.; Belloy, C.; Queneudec, M.; Silvestre, F.; Nava-Saucedo, J.-E. Polymer biodegradation: Mechanisms and estimation techniques. Chemosphere 2008, 73, 429–442. [Google Scholar] [CrossRef]
- Chinaglia, S.; Tosin, M.; Degli-Innocenti, F. Biodegradation rate of biodegradable plastics at molecular level. Polym. Degrad. Stab. 2018, 147, 237–244. [Google Scholar] [CrossRef]
- Rapacz-Kmita, A.; Stodolak-Zych, E.; Szaraniec, B.; Gajek, M.; Dudek, P. Effect of clay mineral on the accelerated hydrolytic degradation of polylactide in the polymer/clay nanocomposites. Mater. Lett. 2015, 146, 73–76. [Google Scholar] [CrossRef]
- Pantani, R.; Sorrentino, A. Influence of crystallinity on the biodegradation rate of injection-moulded poly(lactic acid) samples in controlled composting conditions. Polym. Degrad. Stab. 2013, 98, 1089–1096. [Google Scholar] [CrossRef]
- Gorrasi, G.; Pantani, R. Effect of PLA grades and morphologies on hydrolytic degradation at composting temperature: Assessment of structural modification and kinetic parameters. Polym. Degrad. Stab. 2013, 98, 1006–1014. [Google Scholar] [CrossRef]
- Cho, K.; Lee, J.; Kwon, K. Hydrolytic degradation behavior of poly(butylene succinate)s with different crystalline morphologies. J. Appl. Polym. Sci. 2001, 79, 1025–1033. [Google Scholar] [CrossRef]
- Yokohara, T.; Yamaguchi, M. Structure and properties for biomass-based polyester blends of PLA and PBS. Eur. Polym. J. 2008, 44, 677–685. [Google Scholar] [CrossRef]
- Yang, H.-S.; Yoon, J.-S.; Kim, M.-N. Dependence of biodegradability of plastics in compost on the shape of specimens. Polym. Degrad. Stab. 2005, 87, 131–135. [Google Scholar] [CrossRef]
- Suhartini, M.; Mitomo, H.; Yoshii, F.; Nagasawa, N.; Kume, T. Radiation crosslinking of poly(butylene succinate) in the presence of inorganic material and its biodegradability. J. Polym. Environ. 2002, 9, 163–171. [Google Scholar] [CrossRef]
- Day, M.; Nawaby, A.V.; Liao, X. A DSC study of the crystallization behaviour o polylactic acid and its nanocomposites. J. Therm. Anal. Calorim. 2006, 86, 623–629. [Google Scholar] [CrossRef]
- Zhou, Q.; Xanthos, M. Nanoclay and crystallinity effects on the hydrolytic degradation of ploylactides. Polym. Degrad. Stab. 2008, 93, 1450–1459. [Google Scholar] [CrossRef]
- Abe, M.; Kobayashi, K.; Honma, N.; Nakasaki, K. Microbial degradation of poly(butylene succinate) by Fusarium solani in soil environments. Polym. Degrad. Stab. 2010, 95, 138–143. [Google Scholar] [CrossRef]
- Phua, Y.J.; Lau, N.S.; Sudesh, K.; Chow, W.S.; Ishak, Z.A.M. Biodegradability studies of poly(butylene succinate)/organo-montmorillonite nanocomposites under controlled compost soil conditions: Effects of clay loading and compatibiliser. Polym. Degrad. Stab. 2012, 97, 1345–1354. [Google Scholar] [CrossRef]
- Luzi, F.; Fortunati, E.; Jiménez, A.; Puglia, D.; Pezzolla, D.; Gigliotti, G.; Kenny, J.M.; Chiralt, A.; Torre, L. Production and characterization of PLA_PBS biodegradable blends reinforced with cellulose nanocrystals extracted from hemp fibres. Ind. Crop. Prod. 2016, 93, 276–289. [Google Scholar] [CrossRef]
- Kale, G.; Auras, R.; Singh, S.P.; Narayan, R. Biodegradability of polylactide bottles in real and simulated composting conditions. Polym. Test. 2007, 26, 1049–1061. [Google Scholar] [CrossRef]
- Itävaara, M.; Karjomaa, S.; Selin, J.-F. Biodegradation of polylactide in aerobic and anaerobic thermophilic conditions. Chemosphere 2002, 46, 879–885. [Google Scholar] [CrossRef]
- Rudeekit, Y.; Numnoi, J.; Tajan, M.; Chaiwutthinan, P.; Leejarkpai, T. Determing biodegradability of polylactic acid under different environments. J. Met. Mater. Miner. 2008, 18, 83–87. [Google Scholar]
- De Jong, S.J.; Arias, E.R.; Rijkers, D.T.S.; van Nostrum, C.F. New insights into the hydrolytic degradation of poly(lactid acid): Participation of the alcohol terminus. Polymer 2001, 42, 2795–2802. [Google Scholar] [CrossRef]
- Laycock, B.; Nikolić, M.; Colwell, J.M.; Gauthier, E.; Halley, P.; Bottle, S.; George, G. Lifetime prediction of biodegradable polymers. Prog. Polym. Sci. 2017, 71, 144–189. [Google Scholar] [CrossRef]
- Emadian, S.M.; Onay, T.T.; Demirel, B. Biodegradation of bioplastics in natural environments. Waste Manag. 2017, 59, 526–536. [Google Scholar] [CrossRef]
- Tosin, M.; Degli-Innocenti, F.; Bastioli, C. Effect of the composting substrate on biodegradation of solid materials under controlled composting conditions. J. Environ. Polym. Degrad. 1996, 4, 55–63. [Google Scholar] [CrossRef]
- Matyjaszewski, K.; Möller, M. Polymer Science: A Comprehensive Reference; 9.28 Biodegradation of Polymers; Elsevier: Amsterdam, The Netherlands, 2012. [Google Scholar]
- Zhang, S.J.; Tang, Y.W.; Cheng, L.H. Biodegradation behavior of PLA/PBS blends. AMR 2013, 821–822, 937–940. [Google Scholar] [CrossRef]
- Fukushima, K.; Tabuani, D.; Dottori, M.; Armentano, I.; Kenny, J.M.; Camino, G. Effect of temperature and nanoparticle type on hydrolytic degradation of poly(lactic acid) nanocomposites. Polym. Degrad. Stab. 2011, 96, 2120–2129. [Google Scholar] [CrossRef]
- Pivsa-Art, W.; Fujii, K.; Nomura, K.; Aso, Y.; Ohara, H.; Yamane, H. Isothermal crystallization kinetics of talc-filled poly(lactic acid) and poly(butylene succinate) blends. J. Polym. Res. 2016, 23, 160. [Google Scholar] [CrossRef]
- Fukushima, K.; Giménez, E.; Cabedo, L.; Lagarón, J.M.; Feijoo, J.L. Biotic degradation of poly(dl-lactide) based nanocomposites. Polym. Degrad. Stab. 2012, 97, 1278–1284. [Google Scholar] [CrossRef]
- Jain, S.; Misra, M.; Mohanty, A.K.; Ghosh, A.K. Thermal, mechanical and rheological behavior of Poly(lactic acid)/Talc composites. J. Polym. Env. 2012, 20, 1027–1037. [Google Scholar] [CrossRef]
- Ghorpade, V.M.; Gennadios, A.; Hanna, M.A. Laboratory composting of extruded poly(lactic acid) sheets. Bioresour. Technol. 2001, 76, 57–61. [Google Scholar] [CrossRef]
- Lee, S.-R.; Park, H.-M.; Lim, H.; Kang, T.; Li, X.; Cho, W.-J.; Ha, C.-S. Microstructure, tensile properties, and biodegradability of aliphatic polyester/clay nanocomposites. Polymer 2002, 43, 2495–2500. [Google Scholar] [CrossRef]
- Dobersek, D.; Goricanec, D. Influence of water scale on thermal flow losses of domestic appliances. Int. J. Math. Models Methods Appl. Sci. 2007, 1, 55–61. [Google Scholar]
- Coto, B.; Martos, C.; Peña, J.L.; Rodríguez, R.; Pastor, G. Effects in the solubility of CaCO3: Experimental study and model description. Fluid Phase Equilibria 2012, 324, 1–7. [Google Scholar] [CrossRef]










| Trial Number | PLA | PBS | PBAT | Talc Coarse | Talc Fine | Chalk | Experimental Purpose | |
|---|---|---|---|---|---|---|---|---|
| R01 | 70 | 30 | References | unfilled blend | ||||
| R02 | 30 | 70 | influence of major component | |||||
| R03 | 70 | 30 | influence of minor component | |||||
| V04 | 70 | 30 | 5 | influence of particle size | ||||
| V05 | 70 | 30 | 5 | influence of filler type | ||||
| V06 | 70 | 30 | 5 | |||||
| V07 | 70 | 30 | 15 | influence of (higher) filler amount | ||||
| V08 | 70 | 30 | 15 | |||||
| V09 | 70 | 30 | 15 | |||||
| Tg,PLA [°C] | Tcc,PBS/ Tcc,PBAT [°C] | ΔHcc,PBS/ ΔHcc,PBAT [J/g] | Tcc,PLA [°C] | ΔHcc,PLA [J/g] | Tm,PBS/ Tm,PBAT [°C] | ΔHm,PBS/ ΔHm,PBAT [J/g] | Tm,PLA [°C] | ΔHm,PLA [J/g] | |
|---|---|---|---|---|---|---|---|---|---|
| R01_w0 | 58.6 | 95.0 | −17.04 | 154.9 | 2.6 | 116.8 | 21.9 | 170.7 | 31.6 |
| R01_w12 | 6.5 | 72.7; 81.2 * | −33.54 | n.d. | n.d. | 102.4 | 17.0 | 138.0 | 20.4 |
| R02_w0 | 59.2 | 103.6 | −8.14 | 154.7 | -1.5 | 117.1 | 50.9 | 169.9 | 13.3 |
| R02_w12 | n.d. | 90.3 | −6.14 | n.d. | n.d. | 111.4 | 59.3 | 137.6 | 4.8 |
| R03_w0 | 61.4 | 99.9 | −17.73 | 156.7 | −2.1 | n.d. | n.d. | 171.2 | 27.7 |
| R03_w12 | 42.2 | 84.3 | −11.82 | n.d. | n.d. | n.d. | n.d. | 145.9 | 31.6 |
| Tg,PLA [°C] | Tcc,PBS [°C] | ΔHcc,PBS [J/g] | Tcc,PLA [°C] | ΔHcc,PLA [J/g] | Tm,PBS [°C] | ΔHm,PBS [J/g] | Tm,PLA [°C] | ΔHm,PLA [J/g] | |
|---|---|---|---|---|---|---|---|---|---|
| R01_w0 | 58.6 | 95.0 | −17.0 | 154.9 | −2.6 | 116.8 | 21.9 | 170.7 | 31.6 |
| V04_w0 | n.d. | n.d. | n.d. | n.d. | n.d. | 116.5 | 25.6 | 163.3; 172.4 * | 31.7 |
| V04_w12 | n.d. | n.d. | n.d. | n.d. | n.d. | 105.1 | 17.2 | 139.4 | 16.8 |
| V05_w0 | n.d. | n.d. | n.d. | n.d. | n.d. | 116.4 | 23.7 | 165.5; 172.4 * | 31.7 |
| V05_w12 | n.d. | n.d. | n.d. | n.d. | n.d. | 106.4 | 17.4 | 140.7 | 18.9 |
| V06_w0 | 63.7 | 91.7 | −2.3 | 157.3 | -0.8 | 115.9 | 17.7 | 171.1 | 26.8 |
| V06_w12 | n.d. | 88.8 | −3.3 | n.d. | n.d. | 109.7 | 28.4 | 140.9 | 19.0 |
| V07_w0 | n.d. | 94.0 | −1,1 | n.d. | n.d. | 116.2 | 17.4 | 165.4; 172.2* | 25.6 |
| V07_w12 | n.d. | n.d. | n.d. | n.d. | n.d. | 107.6 | 13.6 | 143.7 | 17.0 |
| V08_w0 | n.d. | n.d. | n.d. | n.d. | n.d. | 116.0 | 16.1 | 166.6; 172.9* | 27.4 |
| V08_w12 | n.d. | n.d. | n.d. | n.d. | n.d. | 108.3 | 17.2 | 143.2 | 16.8 |
| V09_w0 | n.d. | 94.5 | −1.7 | 158.7 | −0.7 | 116.0 | 17.0 | 171.2 | 23.6 |
| V09_w12 | n.d. | 92.0 | −9.2 | n.d. | n.d. | 113.1 | 29.2 | 134.7 | 7.9 |
| Week 0 | Week 1 | Week 2 | Week 3 | |
|---|---|---|---|---|
| Young’s modulus [MPa] | ||||
| R01 | 2557 ± 43 | 3155 ± 39 | 3230 ± 90 | 3226 ± 104 |
| V04 | 2817 ± 148 | 3259 ± 60 | 3523 ± 86 | 3765 ± 51 |
| V05 | 2929 ± 106 | 3457 ± 73 | 3523 ± 92 | 3960 ± 131 |
| V06 | 2561 ± 168 | 3128 ± 38 | 3099 ± 76 | 3438 ± 83 |
| V07 | 3538 ± 343 | 3647 ± 114 | 4113 ± 127 | 4460 ± 205 |
| V08 | 3907 ± 189 | 4261 ± 70 | 4470 ± 176 | 4823 ± 200 |
| V09 | 2718 ± 148 | 3144 ± 159 | 3380 ± 61 | 3505 ± 46 |
| Tensile strength [MPa] | ||||
| R01 | 56.9 ± 0.3 | 49.5 ± 3.7 | 28.0 ± 2.7 | 18.6 ± 2.4 |
| V04 | 51.9 ± 0.3 | 39.3 ± 3.0 | 31.2 ± 1.7 | 20.0 ± 5.1 |
| V05 | 53.4 ± 0.2 | 48.4 ± 2.0 | 23.4 ± 2.4 | 15.5 ± 3.6 |
| V06 | 55.3 ± 0.4 | 57.8 ± 0.4 | 34.1 ± 2.1 | 24.7 ± 0.5 |
| V07 | 49.4 ± 0.5 | 42.6 ± 3.8 | 43.7 ± 1.5 | 31.0 ± 1.2 |
| V08 | 52.7 ± 0.4 | 54.7 ± 1.7 | 49.8 ± 1.4 | 37.5 ± 6.4 |
| V09 | 52.8 ± 0.2 | 53.5 ± 0.3 | 37.7 ± 2.4 | 21.7 ± 1.9 |
Publisher’s Note: MDPI stays neutral with regard to jurisdictional claims in published maps and institutional affiliations. |
© 2020 by the authors. Licensee MDPI, Basel, Switzerland. This article is an open access article distributed under the terms and conditions of the Creative Commons Attribution (CC BY) license (http://creativecommons.org/licenses/by/4.0/).
Share and Cite
Tolga, S.; Kabasci, S.; Duhme, M. Progress of Disintegration of Polylactide (PLA)/Poly(Butylene Succinate) (PBS) Blends Containing Talc and Chalk Inorganic Fillers under Industrial Composting Conditions. Polymers 2021, 13, 10. https://doi.org/10.3390/polym13010010
Tolga S, Kabasci S, Duhme M. Progress of Disintegration of Polylactide (PLA)/Poly(Butylene Succinate) (PBS) Blends Containing Talc and Chalk Inorganic Fillers under Industrial Composting Conditions. Polymers. 2021; 13(1):10. https://doi.org/10.3390/polym13010010
Chicago/Turabian StyleTolga, Sengül, Stephan Kabasci, and Mona Duhme. 2021. "Progress of Disintegration of Polylactide (PLA)/Poly(Butylene Succinate) (PBS) Blends Containing Talc and Chalk Inorganic Fillers under Industrial Composting Conditions" Polymers 13, no. 1: 10. https://doi.org/10.3390/polym13010010
APA StyleTolga, S., Kabasci, S., & Duhme, M. (2021). Progress of Disintegration of Polylactide (PLA)/Poly(Butylene Succinate) (PBS) Blends Containing Talc and Chalk Inorganic Fillers under Industrial Composting Conditions. Polymers, 13(1), 10. https://doi.org/10.3390/polym13010010

