Non-Markovian Methods in Glass Transition
Abstract
1. Introduction
2. Methods
3. Results and Discussion
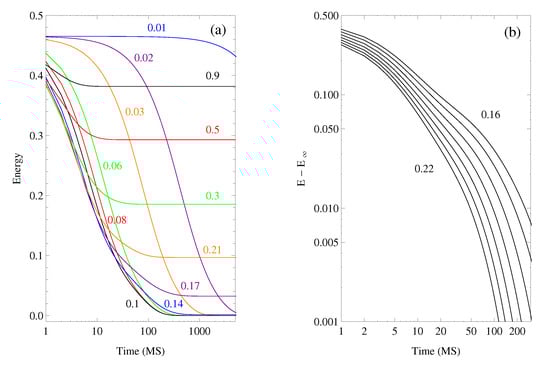
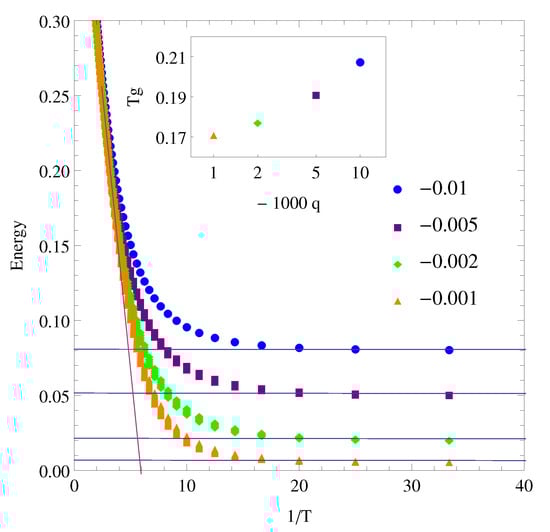
3.1. Equilibrium States and on Cooling
3.2. Isothermal Relaxations
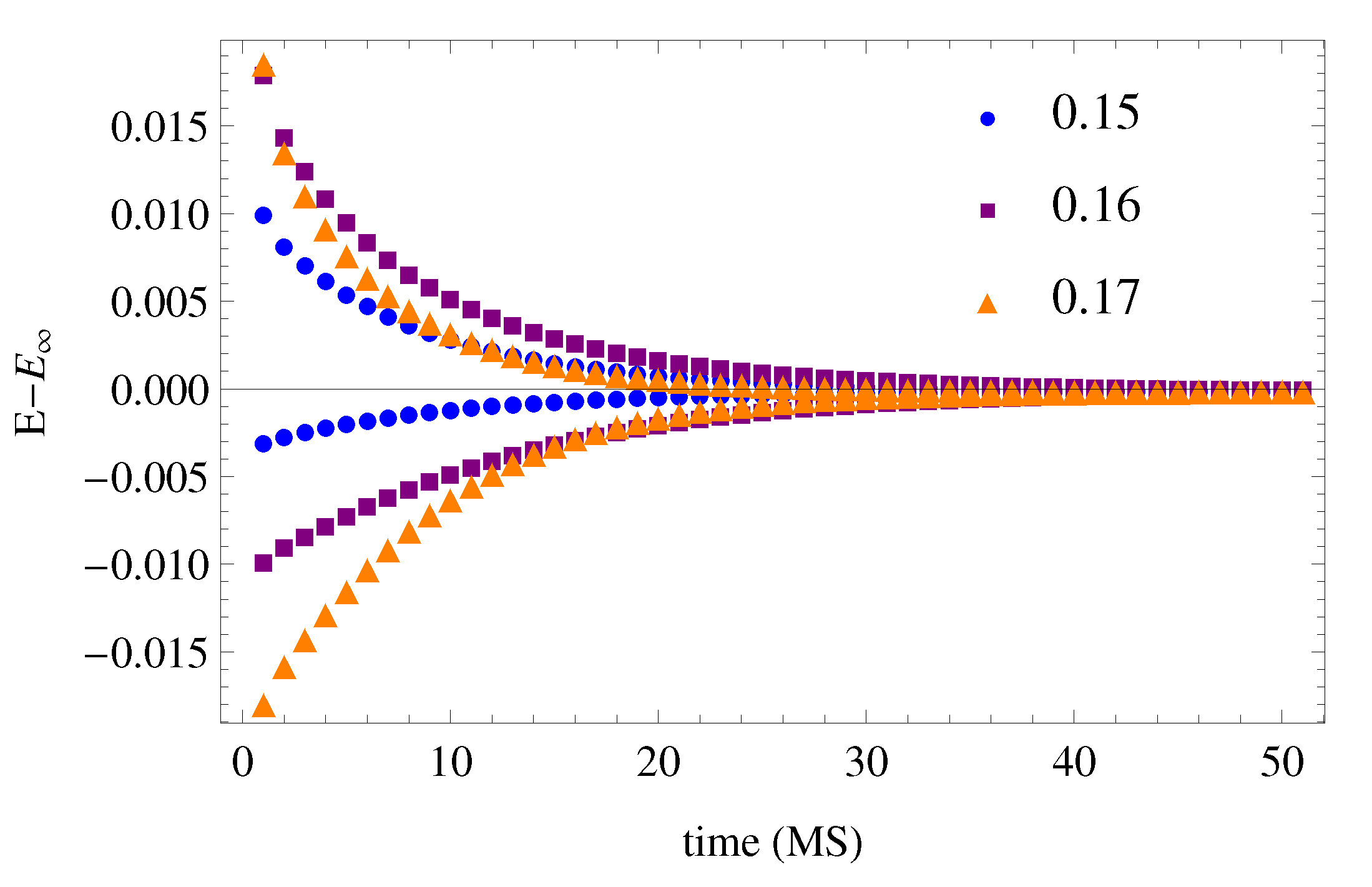
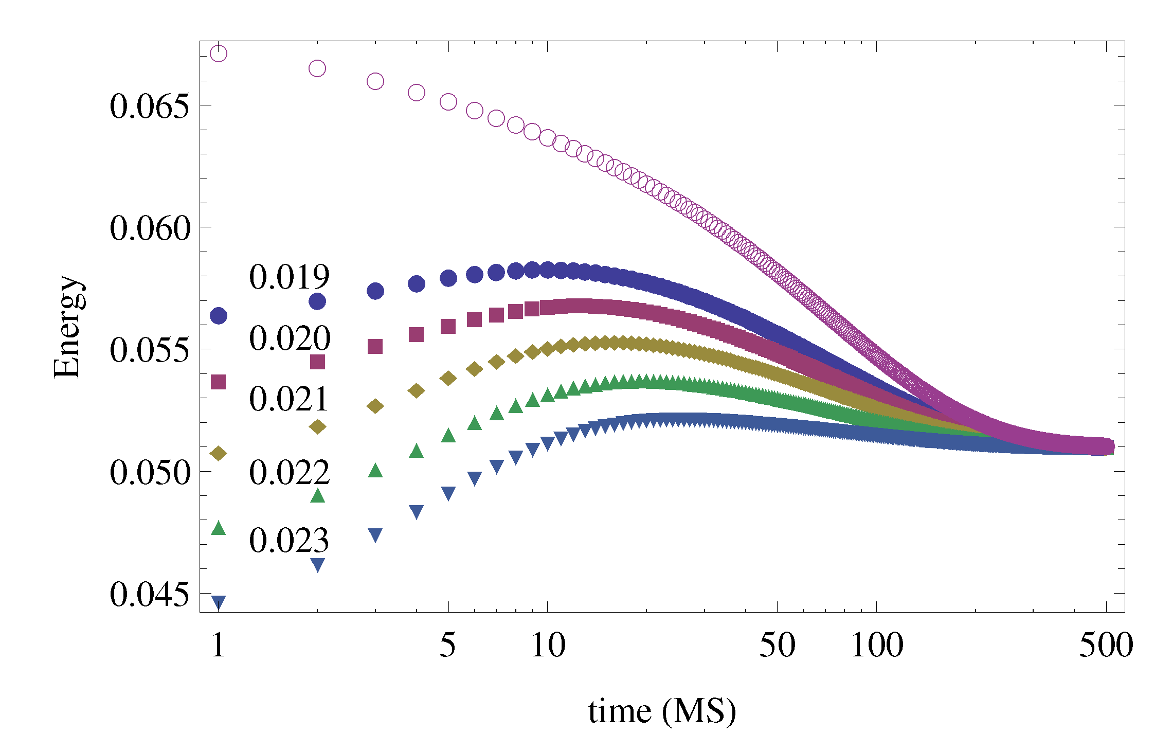
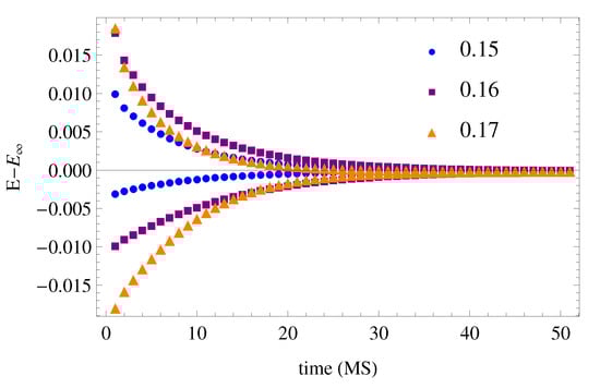
3.3. Kovacs Asymmetry and Memory
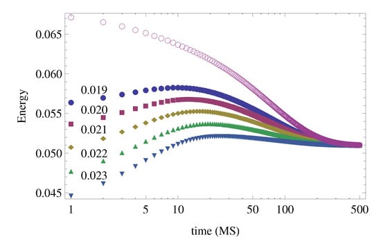
3.4. Heat Capacity
4. Conclusions
Author Contributions
Funding
Acknowledgments
Conflicts of Interest
References
- McKenna, G.B.; Simon, S.L. 50th Anniversary Perspective: Challenges in the Dynamics and Kinetics of Glass-Forming Polymers. Macromolecules 2017, 50, 6333–6361. [Google Scholar] [CrossRef]
- Niss, K.; Hecksher, T. Perspective: Searching for simplicity rather than universality in glass-forming liquids. J. Chem. Phys. 2018, 149, 230901. [Google Scholar] [CrossRef] [PubMed]
- Theodorou, D.N.; Suter, U.W. Detailed Molecular Structure of a Vinyl Polymer Glass. Macromolecules 1985, 18, 1467–1478. [Google Scholar] [CrossRef]
- Binder, K.K. (Ed.) Monte Carlo and Molecular Dynamics Simulations in Polymer Science; Oxford University Press: New York, NY, USA, 1995; Volume 1, p. 608. [Google Scholar]
- Ninarello, A.; Berthier, L.; Coslovich, D. Models and Algorithms for the Next, Generation of Glass Transition Studies. Phys. Rev. X 2017, 7, 021039. [Google Scholar] [CrossRef]
- Kapteijns, G.; Ji, W.; Brito, C.; Wyart, M.; Lerner, E. Fast generation of ultrastable computer glasses by minimization of an augmented potential energy. Phys. Rev. E 2019, 99, 012106. [Google Scholar] [CrossRef] [PubMed]
- Goldstein, M. Viscous Liquids and the Glass Transition: A Potential Energy Barrier Picture. J. Chem. Phys. 1969, 51, 3728–3739. [Google Scholar] [CrossRef]
- Stillinger, F.H. A topographic view of supercooled liquids and glass formation. Science 1995, 267, 1935–1939. [Google Scholar] [CrossRef]
- Sastry, S.; Debenedetti, P.G.; Stillinger, F.H. Signatures of distinct dynamical regimes in the energy landscape of a glass-forming liquid. Nature 1998, 393, 554–557. [Google Scholar] [CrossRef]
- Sciortino, F. Potential energy landscape description of supercooled liquids and glasses. J. Stat. Mech. Theory Exp. 2005, 5, P05015. [Google Scholar] [CrossRef]
- Adam, G.; Gibbs, J.H. On the Temperature Dependence of Cooperative Relaxation Properties in Glass-Forming Liquids. J. Chem. Phys. 1965, 43, 139–146. [Google Scholar] [CrossRef]
- Dasgupta, C.; Indrani, A.V.; Ramaswamy, S.; Phani, M.K. Is There a Growing Correlation Length near the Glass Transition? EPL 1991, 15, 307–312. [Google Scholar] [CrossRef]
- Di, X.; McKenna, G.B. Evaluation of heterogeneity measures and their relation to the glass transition. J. Chem. Phys. 2013, 138, 12A530. [Google Scholar] [CrossRef] [PubMed]
- Wyart, M.; Cates, M.E. Does a growing static length scale control the glass transition? Phys. Rev. Lett. 2017, 119, 195501. [Google Scholar] [CrossRef]
- Starr, F.W.; Douglas, J.F.; Sastry, S. The relationship of dynamical heterogeneity to the Adam-Gibbs and random first-order transition theories of glass formation. J. Chem. Phys. 2013, 138, 12A541. [Google Scholar] [CrossRef] [PubMed]
- Royall, C.P.; Williams, S.R. The role of local structure in dynamical arrest. Phys. Rep. 2015, 560, 1–75. [Google Scholar] [CrossRef]
- Berthier, L.; Biroli, G.; Bouchaud, J.P.; Tarjus, G. Can the glass transition be explained without a growing static length scale? J. Chem. Phys. 2019, 150, 094501. [Google Scholar] [CrossRef]
- Bouchaud, J.P.; Biroli, G. On the Adam-Gibbs-Kirkpatrick-Thirumalai-Wolynes scenario for the viscosity increase in glasses. J. Chem. Phys. 2004, 121, 7347–7354. [Google Scholar] [CrossRef]
- Appignanesi, G.A.; Rodríguez Fris, J.A.; Montani, R.A.; Kob, W. Democratic Particle Motion for Metabasin Transitions in Simple Glass Formers. Phys. Rev. Lett. 2006, 96, 057801. [Google Scholar] [CrossRef]
- Heuer, A. Exploring the potential energy landscape of glass-forming systems: From inherent structures via metabasins to macroscopic transport. J. Phys. Condens. Matter 2008, 20, 373101. [Google Scholar] [CrossRef]
- Fan, Y.; Iwashita, T.; Egami, T. Energy landscape-driven non-equilibrium evolution of inherent structure in disordered material. Nat. Commun. 2017, 8, 15417. [Google Scholar] [CrossRef]
- Iwashita, T.; Egami, T. Local energy landscape in a simple liquid. Phys. Rev. E 2014, 90, 052307. [Google Scholar] [CrossRef] [PubMed]
- Baba, A.; Komatsuzaki, T.; Berry, R.S. Construction of effective free energy landscape from single-molecule time series. PNAS 2007, 104, 19297–19302. [Google Scholar] [CrossRef] [PubMed]
- Brujić, J.; Hermans Z, R.I.; Walther, K.A.; Fernandez, J.M. Single-molecule force spectroscopy reveals signatures of glassy dynamics in the energy landscape of ubiquitin. Nat. Phys. 2006, 2, 282. [Google Scholar] [CrossRef]
- Pietrucci, F. Strategies for the exploration of free energy landscapes: Unity in diversity and challenges ahead. Rev. Phys. 2017, 2, 32–45. [Google Scholar] [CrossRef]
- Kukic, P.; Lo Piccolo, G.M.; Nogueira, M.O.; Svergun, D.I.; Vendruscolo, M.; Felli, I.C.; Pierattelli, R. The free energy landscape of the oncogene protein E7 of human papillomavirus type 16 reveals a complex interplay between ordered and disordered regions. Sci. Rep. 2019, 9, 1–12. [Google Scholar] [CrossRef]
- Garrahan, J.P.; Chandler, D. Coarse-grained microscopic model of glass formers. PNAS 2003, 100, 9710–9714. [Google Scholar] [CrossRef]
- Ediger, M.D. Spatially Heterogeneous Dynamica in Supercooled Liquids. Annu. Rev. Phys. Chem. 2000, 51, 99–128. [Google Scholar] [CrossRef]
- Berthier, L.; Biroli, G. Theoretical perspective on the glass transition and amorphous materials. Rev. Mod. Phys. 2011, 83, 587–645. [Google Scholar] [CrossRef]
- Biroli, G.; Garrahan, J.P. Perspective: The glass transition. J. Chem. Phys. 2013, 138, 12A301. [Google Scholar] [CrossRef]
- Ahn, J.W.; Falahee, B.; Piccolo, C.D.; Vogel, M.; Bingemann, D. Are rare, long waiting times between rearrangement events responsible for the slowdown of the dynamics at the glass transition? J. Chem. Phys. 2013, 138, 12A527. [Google Scholar] [CrossRef]
- Cohen, M.H.; Grest, G.S. Liquid-glass transition, a free-volume approach. Phys. Rev. B 1979, 20, 1077–1098. [Google Scholar] [CrossRef]
- Torregrosa Cabanilles, C.; Meseguer Dueñas, J.M.; Gómez Ribelles, J.L.; Molina-Mateo, J. Cooperativity in the Conformational Rearrangements of Polymer Chain Segments as Seen by Bond Fluctuation Model. Macromol. Theory Simul. 2009, 18, 355–362. [Google Scholar] [CrossRef]
- Yanagishima, T.; Russo, J.; Tanaka, H. Common mechanism of thermodynamic and mechanical origin for ageing and crystallization of glasses. Nat. Commun. 2017, 8, 15954. [Google Scholar] [CrossRef] [PubMed]
- Cubuk, E.D.; Schoenholz, S.S.; Rieser, J.M.; Malone, B.D.; Rottler, J.; Durian, D.J.; Kaxiras, E.; Liu, A.J. Identifying structural flow defects in disordered solids using machine-learning methods. Phys. Rev. Lett. 2015, 114, 108001. [Google Scholar] [CrossRef] [PubMed]
- Schoenholz, S.S.; Cubuk, E.D.; Sussman, D.M.; Kaxiras, E.; Liu, A.J. A structural approach to relaxation in glassy liquids. Nat. Phys. 2016, 12, 469–472. [Google Scholar] [CrossRef]
- Ma, X.; Davidson, Z.S.; Still, T.; Ivancic, R.J.; Schoenholz, S.S.; Liu, A.J.; Yodh, A.G. Heterogeneous Activation, Local Structure, and Softness in Supercooled Colloidal Liquids. Phys. Rev. Lett. 2019, 122, 028001. [Google Scholar] [CrossRef] [PubMed]
- Grinstead, C.M.; Snell, J.L. Markov chains. In Introduction to Probability, 2nd ed.; American Mathematical Society: Providence, RI, USA, 1997. [Google Scholar]
- De Vega, I.; Alonso, D. Dynamics of non-Markovian open quantum systems. Rev. Mod. Phys. 2017, 89, 015001. [Google Scholar] [CrossRef]
- Pollock, F.A.; Rodríguez-Rosario, C.; Frauenheim, T.; Paternostro, M.; Modi, K. Non-Markovian quantum processes: Complete framework and efficient characterization. Phys. Rev. A 2018, 97, 12127. [Google Scholar] [CrossRef]
- Garrahan, J.P. Aspects of non-equilibrium in classical and quantum systems: Slow relaxation and glasses, dynamical large deviations, quantum non-ergodicity, and open quantum dynamics. Phys. A Stat. Mech. Appl. 2018, 504, 130–154. [Google Scholar] [CrossRef]
- Talaga, D.S. Markov processes in single molecule fluorescence. Curr. Opin. Colloid Interface Sci. 2007, 12, 285–296. [Google Scholar] [CrossRef]
- Sant, M.; Papadopoulos, G.K.; Theodorou, D.N. A second-order Markov process for modeling diffusive motion through spatial discretization. J. Chem. Phys. 2008, 128, 024504. [Google Scholar] [CrossRef] [PubMed]
- Van der Burg, M.W.; Chadwick, J.C.; Sudmeijer, O.; Tulleken, H.J. Probabilistic multi-site modelling of propene polymerization using markov models. Macromol. Theory Simul. 1993, 2, 399–420. [Google Scholar] [CrossRef]
- Karssenberg, F.G.; Piel, C.; Hopf, A.; Mathot, V.B.F.; Kaminsky, W. Bernoullian, terminal, penultimate or third order Markov statistics? Macromol. Theory Simul. 2005, 14, 295–299. [Google Scholar] [CrossRef]
- Shamshad, A.; Bawadi, M.A.; Wan Hussin, W.M.; Majid, T.A.; Sanusi, S.A.M.; Hussin, W.M.A.W.; Majid, T.A.; Sanusi, S.A.M. First, and second order Markov chain models for synthetic generation of wind speed time series. Energy 2005, 30, 693–708. [Google Scholar] [CrossRef]
- Wolf, M.M.; Eisert, J.; Cubitt, T.S.; Cirac, J.I. Assessing non-Markovian quantum dynamics. Phys. Rev. Lett. 2008, 101, 150402. [Google Scholar] [CrossRef]
- Breuer, H.P.; Laine, E.M.; Piilo, J.; Vacchini, B. Colloquium: Non-Markovian dynamics in open quantum systems. Rev. Mod. Phys. 2016, 88, 021002. [Google Scholar] [CrossRef]
- Kovacs, A.J. Transition vitreuse dans les polymeres amorphes: Etude phenomenologique. Hochpolym-Forsch 1963, 3, 394–507. [Google Scholar] [CrossRef]
- Jabraoui, H.; Ouaskit, S.; Richard, J.; Garden, J.-L. Determination of the entropy production during glass transition: Theory and experiment. J. Non-Cryst. Solids 2020, 533, 119907. [Google Scholar] [CrossRef]
- Bingemann, D.; Allen, R.M.; Olesen, S.W. Single molecules reveal the dynamics of heterogeneities in a polymer at the glass transition. J. Chem. Phys. 2011, 134, 024513. [Google Scholar] [CrossRef]
- Dasgupta, C.; Valls, O.T. Free-energy landscape of simple liquids near the glass transition. J. Phys. Condens. Matter 2000, 12, 6553–6562. [Google Scholar] [CrossRef]
- Torregrosa Cabanilles, C.; Molina-Mateo, J.; Meseguer Dueñas, J.; Gómez Ribelles, J. A simple model for cooperative and non-exponential processes in non-crystalline polymers. J. Non-Cryst. Solids 2011, 357, 367–370. [Google Scholar] [CrossRef]
- Roland, C.M.; Hensel-Bielowka, S.; Paluch, M.; Casalini, R. Supercooled dynamics of glass-forming liquids and polymers under hydrostatic pressure. Rep. Prog. Phys. 2005, 68, 1405–1478. [Google Scholar] [CrossRef]
- Xu, W.-S.; Douglas, J.F.; Xia, W.; Xu, X. Investigation of the Temperature Dependence of Activation Volume in Glass-Forming Polymer Melts under Variable Pressure Conditions. Macromolecules 2020, 53, 6828–6841. [Google Scholar] [CrossRef]








© 2020 by the authors. Licensee MDPI, Basel, Switzerland. This article is an open access article distributed under the terms and conditions of the Creative Commons Attribution (CC BY) license (http://creativecommons.org/licenses/by/4.0/).
Share and Cite
Torregrosa Cabanilles, C.; Molina-Mateo, J.; Sabater i Serra, R.; Meseguer-Dueñas, J.M.; Gómez Ribelles, J.L. Non-Markovian Methods in Glass Transition. Polymers 2020, 12, 1997. https://doi.org/10.3390/polym12091997
Torregrosa Cabanilles C, Molina-Mateo J, Sabater i Serra R, Meseguer-Dueñas JM, Gómez Ribelles JL. Non-Markovian Methods in Glass Transition. Polymers. 2020; 12(9):1997. https://doi.org/10.3390/polym12091997
Chicago/Turabian StyleTorregrosa Cabanilles, Constantino, José Molina-Mateo, Roser Sabater i Serra, José María Meseguer-Dueñas, and José Luis Gómez Ribelles. 2020. "Non-Markovian Methods in Glass Transition" Polymers 12, no. 9: 1997. https://doi.org/10.3390/polym12091997
APA StyleTorregrosa Cabanilles, C., Molina-Mateo, J., Sabater i Serra, R., Meseguer-Dueñas, J. M., & Gómez Ribelles, J. L. (2020). Non-Markovian Methods in Glass Transition. Polymers, 12(9), 1997. https://doi.org/10.3390/polym12091997

