Au Nanoparticles-Doped Polymer All-Optical Switches Based on Photothermal Effects
Abstract
1. Introduction
2. Materials and Methods
2.1. Photothermal Effect of the Au Nanoparticles-Doped Polymer Material
2.2. Devices Design Based on the Au Nanoparticles-doped Polymer Material
3. Results and Discussion
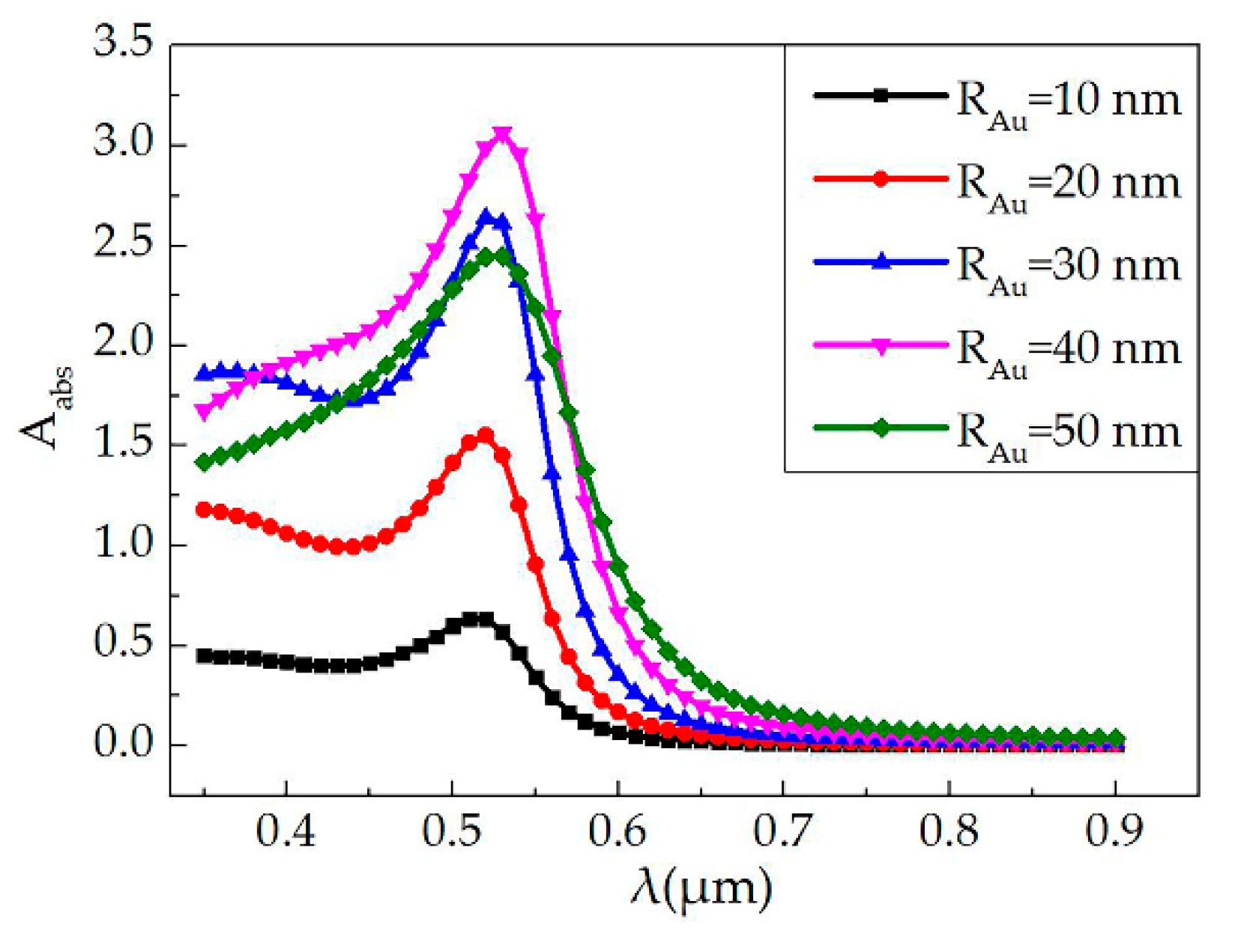
3.1. Single Au NPs Analysis
3.2. All-Optical Switches Based on Au NPs-Doped Polymer
3.2.1. Devices Structure of All-Optical Switches
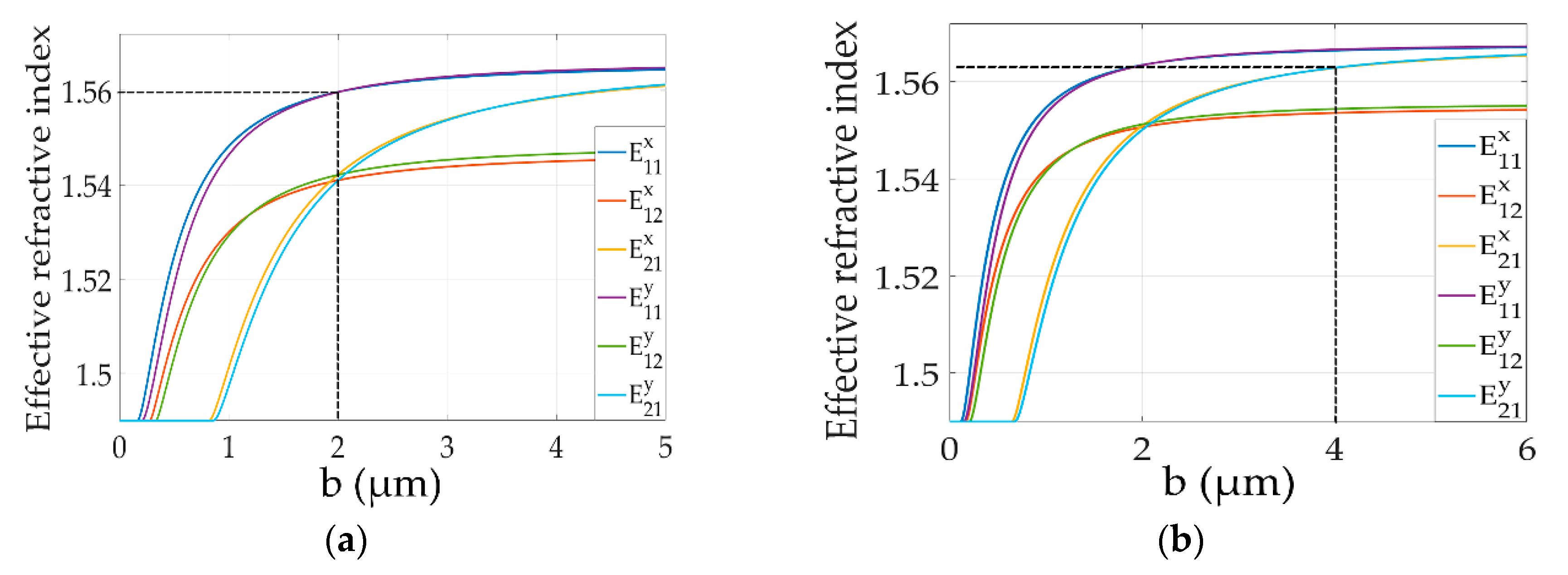
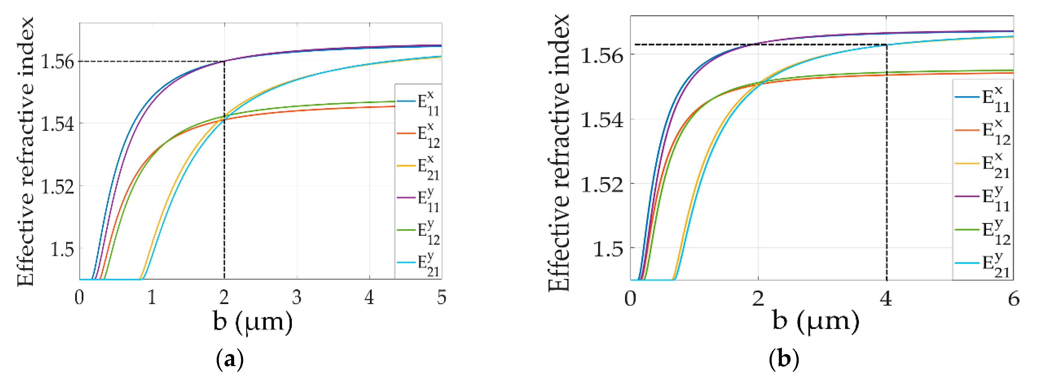
3.2.2. Mode Characteristics and Light Field Distributions
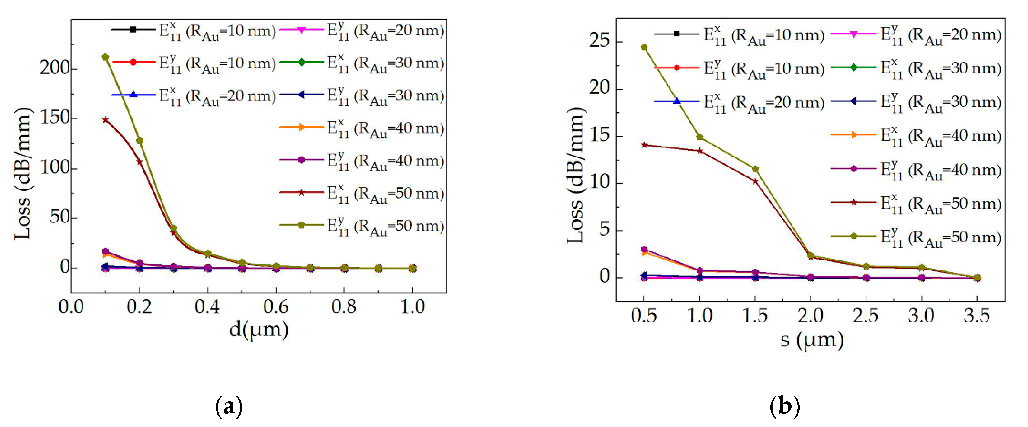
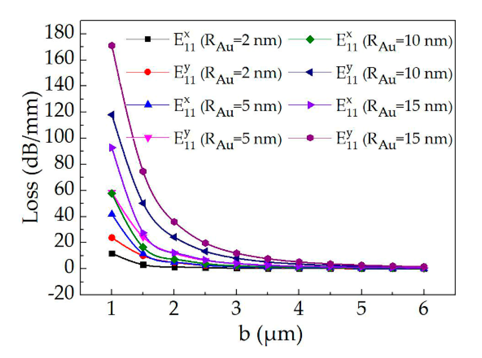
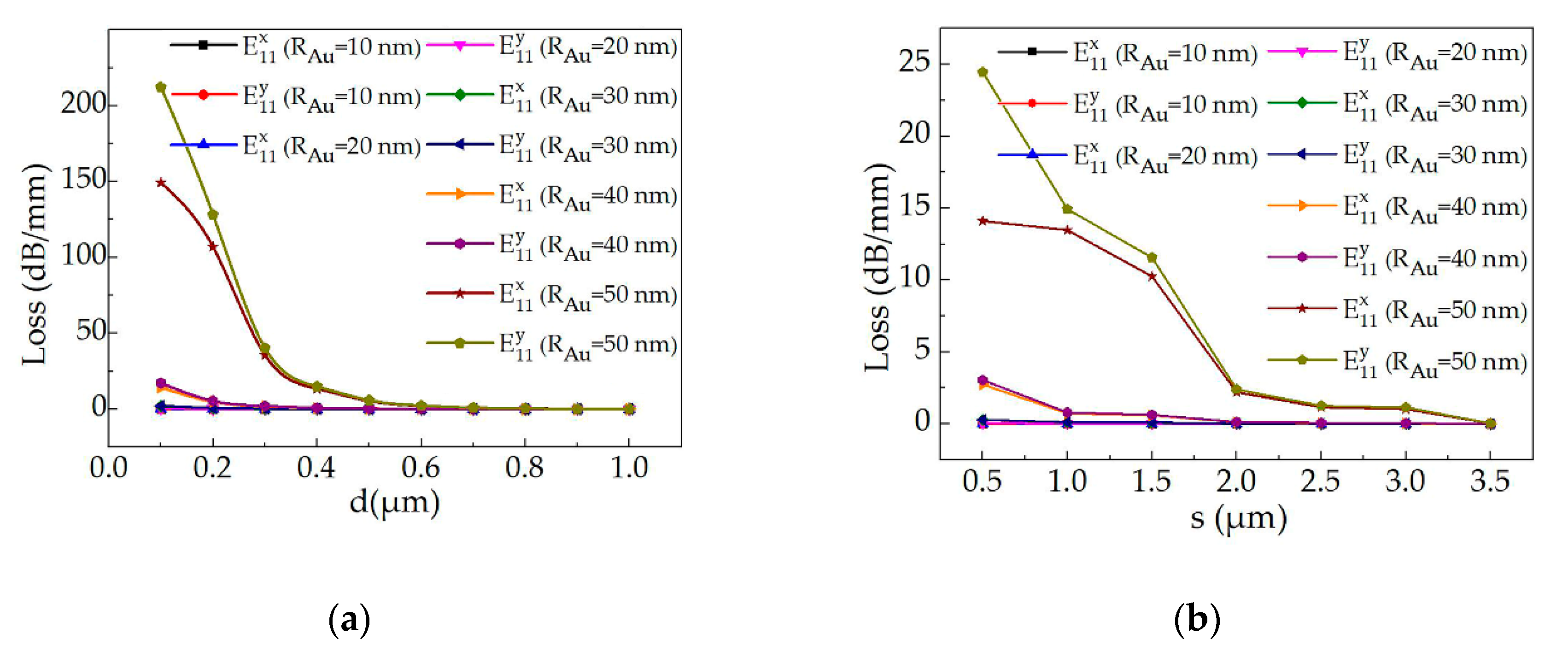
3.2.3. Optical Losses Analysis
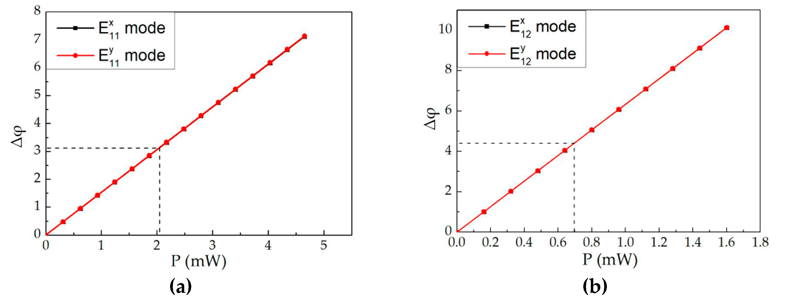
3.2.4. Photothermal Analysis of the Proposed Devices
4. Conclusions
Author Contributions
Funding
Conflicts of Interest
References
- Signoretto, M.; Suárez, I.; Chirvony, V.S.; Abargues, R.; Rodríguez-Cantó, P.J.; Martínez-Pastor, J. Polymer waveguide couplers based on metal nanoparticle–polymer nanocomposites. Nanotechnology 2015, 26, 475201. [Google Scholar] [CrossRef] [PubMed]
- Sun, Y.; Cao, Y.; Wang, Q.; Yi, Y.; Sun, X.; Wu, Y.; Wang, F.; Zhang, D. Polymer thermal optical switch for a flexible photonic circuit. Appl. Opt. 2018, 57, 14–17. [Google Scholar] [CrossRef]
- Lv, J.; Cao, Y.; Lin, B.; Yang, Y.; Sun, Y.; Li, S.; Yi, Y.; Wang, F.; Zhang, D. Polymer M-Z Thermal Optical Switch at 532-nm Based on Wet Etching and UV-Writing Waveguide. Polymers 2019, 11, 995. [Google Scholar] [CrossRef] [PubMed]
- Takahashi, M.; Ueda, W.; Goto, N.; Yanagiya, S. Saturable Absorption by Vertically Inserted or Overlaid Monolayer Graphene in Optical Waveguide for All–Optical Switching Circuit. IEEE Photonics J. 2013, 5, 6602109. [Google Scholar] [CrossRef]
- Chen, S.; Miao, L.; Chen, X.; Chen, Y.; Zhao, C.; Datta, S.; Li, Y.; Bao, Q.; Zhang, H.; Liu, Y.; et al. Few–Layer Topological Insulator for All–Optical Signal Processing Using the Nonlinear Kerr Effect. Adv. Opt. Mater. 2015, 3, 1769–1778. [Google Scholar] [CrossRef]
- Hitoshi, N.; Sugimoto, Y.; Kanamoto, K.; Ikeda, N.; Tanaka, Y.; Nakamura, Y.; Ohkouchi, S.; Watanabe, Y.; Inoue, K.; Ishikawa, H.; et al. Ultra–fast photonic crystal/quantum dot all–optical switch for future photonic networks. Opt. Express 2004, 12, 6606–6614. [Google Scholar]
- Parra-Cetina, J.; Kumpera, A.; Karlsson, M.; Andrekson, P.A. Phase–sensitive fiber–based parametric all optical switch. Opt. Express 2015, 23, 33426–33436. [Google Scholar] [CrossRef]
- Bradley, J.; Pollnau, M. Erbium-doped integrated waveguide amplifiers and lasers. Laser Photonics Rev. 2011, 5, 368–403. [Google Scholar] [CrossRef]
- Jing, Y.; Diemeer, M.B.J.; Sengo, G.; Pollnau, M.; Driessen, A. Nd-Doped Polymer Waveguide Amplifiers. IEEE J. Quantum Electron. 2010, 46, 1043–1050. [Google Scholar]
- Xing, G.; Zhang, M.; Sun, T.; Fu, Y.; Huang, Y.; Shao, J.; Liu, J.; Wang, F.; Zhang, D. Polymer waveguide thermo-optical switch with loss compensation based on NaYF4: 18% Yb3+, 2% Er3+ nanocrystals. Chin. Phys. B 2018, 27, 114218. [Google Scholar] [CrossRef]
- Cao, Y.; Zhang, D.; Yang, Y.; Lin, B.; Lv, J.; Yang, X.; Zhao, H.; Wang, F.; Li, B.; Yi, Y. Dispersed-Monolayer Graphene-Doped Polymer/Silica Hybrid Mach-Zehnder interferometer (MZI) Thermal Optical Switch with Low-Power Consumption and Fast Response. Polymers 2019, 11, 1898. [Google Scholar] [CrossRef] [PubMed]
- Sun, Z.; Hasan, T.; Torrisi, F.; Popa, D.; Privitera, G.; Wang, F.; Bonaccorso, F.; Basko, D.M.; Ferrari, A.C. Graphene mode–locked ultrafast laser. ACS Nano 2010, 4, 803–810. [Google Scholar] [CrossRef] [PubMed]
- Wu, L.; Jiang, X.; Zhao, J.; Liang, W.; Li, Z.; Huang, W.; Lin, Z.; Wang, Y.; Zhang, F.; Lu, S.; et al. MXene–based nonlinear optical information converter for all–optical modulator and switcher. Laser Photonics Rev. 2018, 12, 1800215. [Google Scholar] [CrossRef]
- Wu, Y.; Wu, Q.; Sun, F.; Cheng, C.; Meng, S.; Zhao, J. Emergence of electron coherence and two–color all–optical switching in MoS2 based on spatial self–phase modulation. Proc. Natl. Acad. Sci. USA 2015, 112, 11800–11805. [Google Scholar] [CrossRef]
- Wu, K.; Wang, Y.; Qiu, C.; Chen, J. Thermo–optic all–optical devices based on two–dimensional materials. Photonics Res. 2018, 6, C22–C28. [Google Scholar] [CrossRef]
- Qiu, C.; Yang, Y.; Li, C.; Wang, Y.; Wu, K.; Chen, J. All–optical control of light on a graphene–on–silicon nitride chip using thermo–optic effect. Sci. Rep. 2017, 7, 17046. [Google Scholar] [CrossRef]
- Wang, C.; Wang, Y.; Jiang, X.; Xu, J.; Huang, W.; Zhang, F.; Liu, J.; Yang, F.; Song, Y.; Ge, Y.; et al. MXene Ti3C2Tx: A promising photothermal conversion material and application in all–optical modulator and all–optical information loading. Adv. Opt. Mater. 2019, 33, 1900060. [Google Scholar] [CrossRef]
- Sheng, Q.; Feng, M.; Xin, W.; Guo, H.; Han, T.; Li, Y.; Liu, Y.; Gao, F.; Song, F.; Liu, Z.; et al. Tunable graphene saturable absorber with cross absorption modulation for mode–locking in fiber laser. Appl. Phys. Lett. 2014, 105, 041901. [Google Scholar] [CrossRef]
- Yang, X.; Long, Q.; Liu, Z.; Zhang, Y.; Yang, J.; Kong, D.; Yuan, L.; Oh, K. Microfiber interferometer integrated with Au nanorods for an all–fiber phase shifter and switch. Opt. Lett. 2019, 44, 1092–1095. [Google Scholar] [CrossRef]
- Chen, X.; Chen, Y.; Shi, Y.; Yan, M.; Qiu, M. Photothermal Switching of SOI Waveguide–Based Mach–Zehnder Interferometer with Integrated Plasmonic Nanoheater. Plasmonics 2014, 9, 1197–1205. [Google Scholar] [CrossRef]
- Wang, Y.; Gan, X.; Zhao, C.; Fang, L.; Mao, D.; Xu, Y.; Zhang, F.; Xi, T.; Ren, L.; Zhao, J. All–optical control of microfiber resonator by graphene’s photothermal effect. Appl. Phys. Lett. 2016, 108, 171905. [Google Scholar] [CrossRef]
- Gan, X.; Zhao, C.; Wang, Y.; Mao, D.; Fang, L.; Han, L.; Zhao, J. Graphene–assisted all–fiber phase shifter and switching. Optica 2015, 2, 468–471. [Google Scholar] [CrossRef]
- Horvath, C.; Bachman, D.; Indoe, R.; Van, V. Photothermal nonlinearity and optical bistability in a graphene–silicon waveguide resonator. Opt. Lett. 2013, 38, 5036–5039. [Google Scholar] [CrossRef] [PubMed]
- Hao, T.; Chang, Z.; Chiang, K.S. Externally pumped low–loss graphene–based fiber Mach–Zehnder all–optical switches with mW switching powers. Opt. Express 2019, 27, 4216–4225. [Google Scholar] [CrossRef] [PubMed]
- Takahiro, N.; Toshimitsu, M.; Changsu, K.; Shaoqiang, C.; Masahiro, Y.; Hidefumi, A. Double-Core-Slab-Waveguide Semiconductor Lasers for End Optical Pumping. Appl. Phys. Express 2013, 6, 062702. [Google Scholar]
- Weeber, J.; Hassan, K.; Saviot, L.; Dereux, A.; Boissière, C.; Durupthy, O.; Chaneac, C.; Burov, E.; Pastouret, A. Efficient photo–thermal activation of gold nanoparticle–doped polymer plasmonic switches. Opt. Express 2012, 20, 27636–27649. [Google Scholar] [CrossRef]
- Barnes, W.L.; Dereux, A.; Ebbesen, T.W. Surface plasmon subwavelength optics. Nature Lond. 2003, 424, 824–830. [Google Scholar] [CrossRef]
- Baffou, G.; Quidant, R.; Girard, C. Heat generation in plasmonic nanostructures: Influence of morphology. Appl. Phys. Lett. 2009, 94, 153109. [Google Scholar] [CrossRef]
- Coronado, E.A.; Encina, E.R.; Stefani, F.D. Optical properties of metallic nanoparticles: Manipulating light, heat and forces at the nanoscale. Nanoscale 2011, 3, 4042–4059. [Google Scholar] [CrossRef]
- Govorov, A.O.; Zhang, W.; Skeini, T.; Richardson, H.; Lee, J.; Kotov, N.A. Gold nanoparticle ensembles as heaters and actuators: Melting and collective plasmon resonances. Nanoscale Research Letters 2006, 1, 84–90. [Google Scholar] [CrossRef]
- Govorov, A.O.; Richardson, H.H. Generating heat with metal nanoparticles. Nano Today 2007, 2, 30–38. [Google Scholar] [CrossRef]
- Imura, Y.; Morita, C.; Endo, H.; Kondo, T.; Kawai, T. Reversible phase transfer and fractionation of Au nanoparticles by pH change. Chem. Commun. 2010, 46, 9206. [Google Scholar] [CrossRef] [PubMed]
- Zhou, J.; Liu, H.; Wang, T.; Li, Y.; Zhang, J.; Lu, Z.; Fu, Y.; Li, F. Adjusting the inter-particle spacing of a nanoparticle array at the sub-nanometre scale by thermal annealing. Chem. Commun. 2014, 50, 14547–14549. [Google Scholar] [CrossRef] [PubMed]
- Ahn, J.; Choi, Y.; Lee, A.; Lee, J.; Jung, J.H. A duplex DNA-gold nanoparticle probe composed as a colorimetric biosensor for sequence-specific DNA-binding proteins. Analyst Lond. 2016, 141, 2040–2045. [Google Scholar] [CrossRef] [PubMed]
- Watanabe, K.; Tanaka, E.; Ishii, H.; Nagao, D. The plasmonic properties of gold nanoparticle clusters formed via applying an AC electric field. Soft Matter 2018, 14, 3372–3377. [Google Scholar] [CrossRef]
- Cai, R.; Yang, D.; Lin, K.; Cao, T.; Lyv, Y.; Chen, K.; Yang, Y.; Ge, J.; Xia, L.; Christou, G.; et al. 3D halos assembled from Fe3O4/Au NPs with enhanced catalytic and optical properties. Nanoscale 2019, 11, 20968–20976. [Google Scholar] [CrossRef] [PubMed]










© 2020 by the authors. Licensee MDPI, Basel, Switzerland. This article is an open access article distributed under the terms and conditions of the Creative Commons Attribution (CC BY) license (http://creativecommons.org/licenses/by/4.0/).
Share and Cite
Cao, Y.; Zhang, D.; Yang, Y.; Lin, B.; Lv, J.; Wang, F.; Yang, X.; Yi, Y. Au Nanoparticles-Doped Polymer All-Optical Switches Based on Photothermal Effects. Polymers 2020, 12, 1960. https://doi.org/10.3390/polym12091960
Cao Y, Zhang D, Yang Y, Lin B, Lv J, Wang F, Yang X, Yi Y. Au Nanoparticles-Doped Polymer All-Optical Switches Based on Photothermal Effects. Polymers. 2020; 12(9):1960. https://doi.org/10.3390/polym12091960
Chicago/Turabian StyleCao, Yue, Daming Zhang, Yue Yang, Baizhu Lin, Jiawen Lv, Fei Wang, Xianwang Yang, and Yunji Yi. 2020. "Au Nanoparticles-Doped Polymer All-Optical Switches Based on Photothermal Effects" Polymers 12, no. 9: 1960. https://doi.org/10.3390/polym12091960
APA StyleCao, Y., Zhang, D., Yang, Y., Lin, B., Lv, J., Wang, F., Yang, X., & Yi, Y. (2020). Au Nanoparticles-Doped Polymer All-Optical Switches Based on Photothermal Effects. Polymers, 12(9), 1960. https://doi.org/10.3390/polym12091960

