Removal and Oxidation of As(III) from Water Using Iron Oxide Coated CTAB as Adsorbent
Abstract
1. Introduction
2. Materials and Methods
2.1. Sample Preparation
2.1.1. Materials
2.1.2. Synthesis of Cetyltrimethylammonium Bromide (CTAB) Coated Iron Oxide Nanoparticles (IO-CTAB)
2.2. Characterization
2.2.1. Characterization of CTAB Coated Iron Oxide Aqueous Magnetic Fluids by X-Ray Diffraction
2.2.2. Characterization of CTAB Coated Iron Oxide Aqueous Magnetic Fluids by Transmission Electron Microscopy and Scanning Electron Microscopy
2.3. Batch Adsorption Experiments
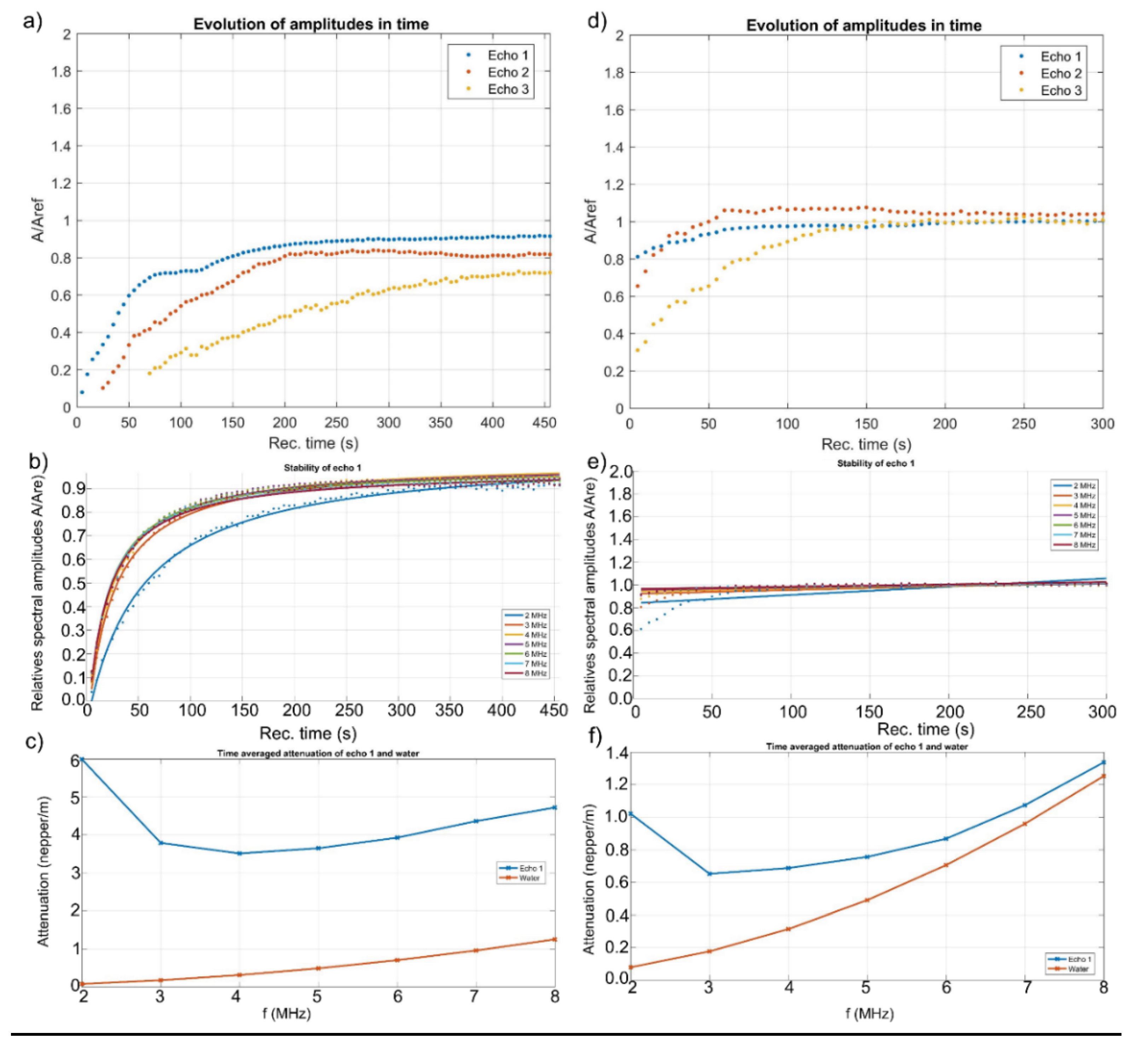
2.4. Non-Destructive Ultrasound Studies
2.5. X-Ray Photoelectron Spectroscopy Studies (XPS)
2.6. Biological Studies
2.6.1. Quantitative Cell Viability Assay
2.6.2. Qualitative Evaluation of Cell Viability and Cell Morphology by Fluorescence Microscopy
2.7. Statistical Analyses
3. Results
3.1. Characterization of CTAB Coated Iron Oxide Aqueous Magnetic Fluids by X-Ray Diffraction, Transmission Electron Microscopy, and Scanning Electron Microscopy
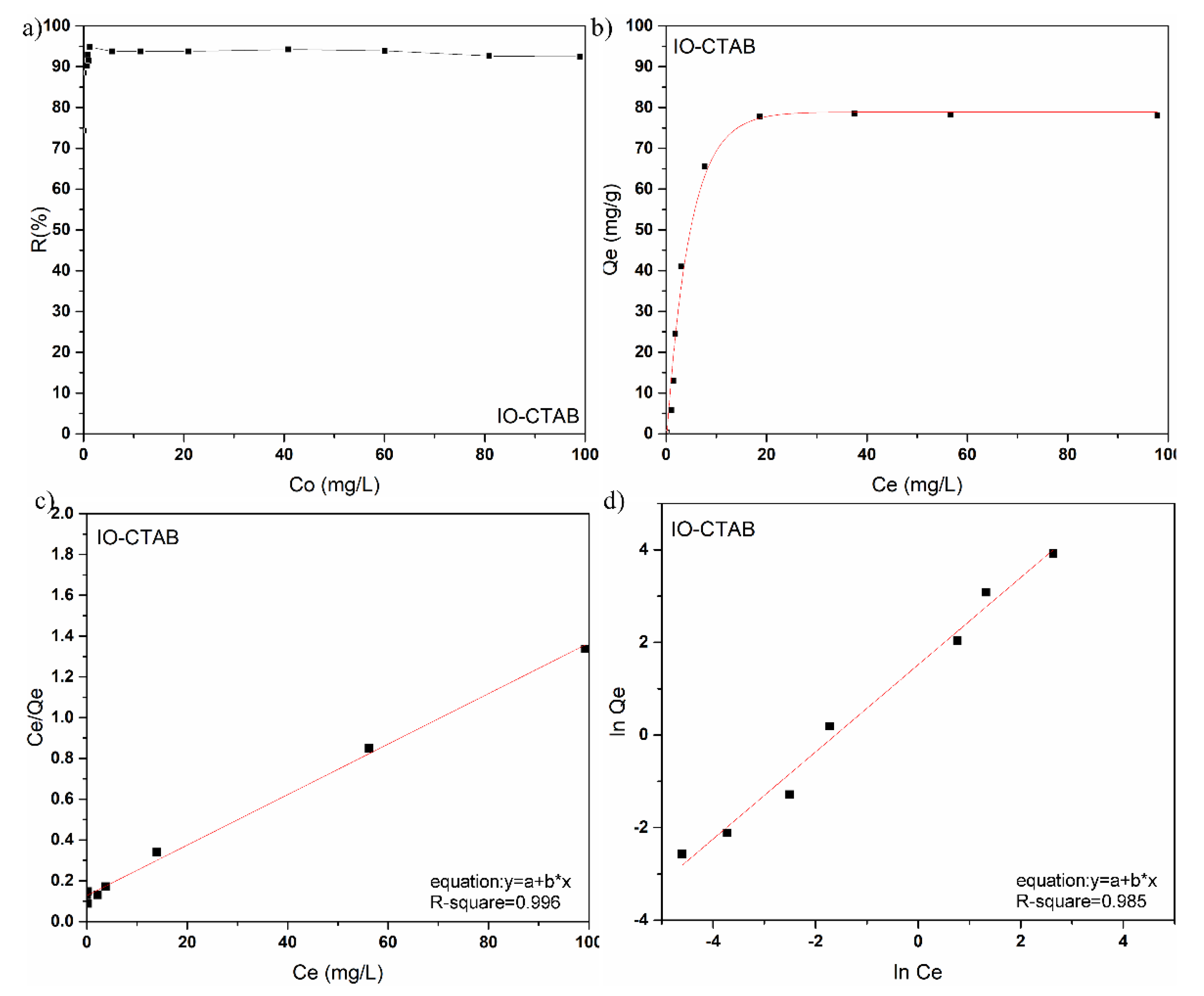
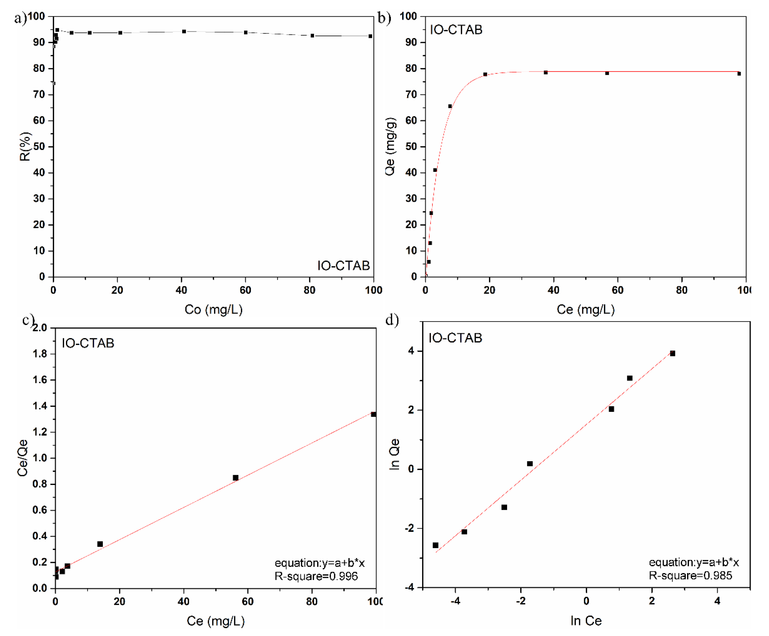
3.2. Adsorption Kinetics and Isotherms
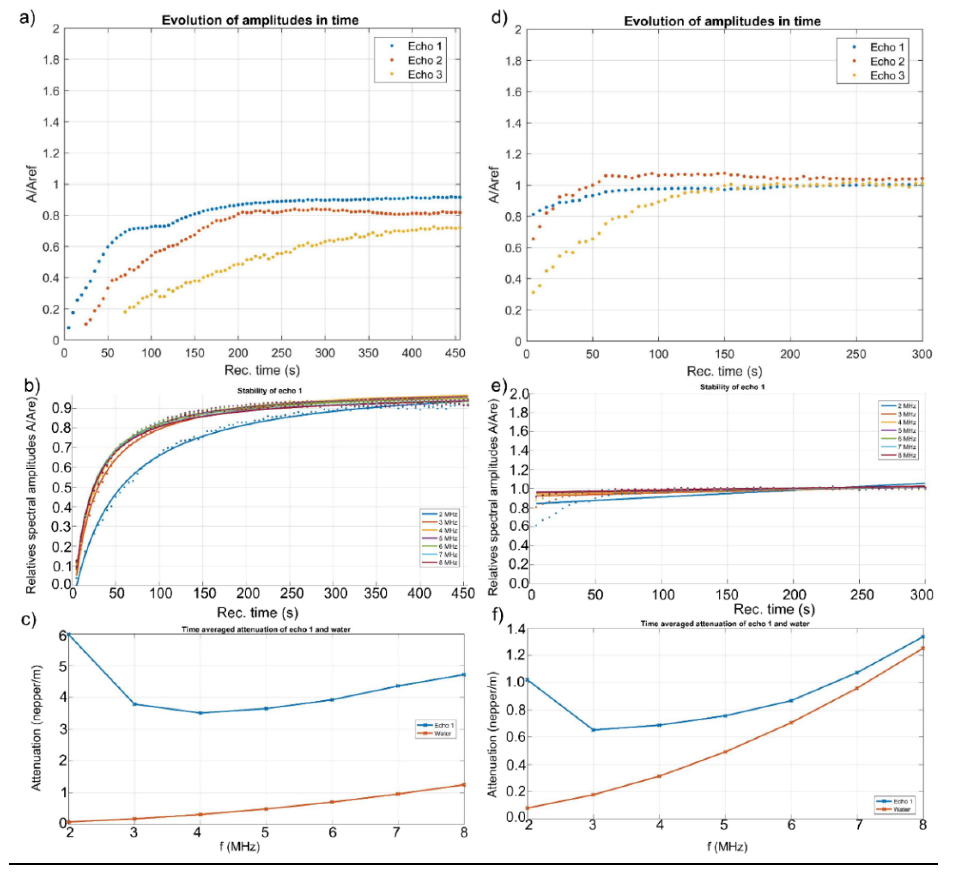
3.3. Non-Destructive Ultrasound Studies
3.4. X-Ray Photoelectron Spectroscopy Studies (XPS)
3.5. Biological Assays
4. Conclusions
Author Contributions
Funding
Acknowledgments
Conflicts of Interest
References
- Vlassopoulos, D.; Wood, S.A. Gold speciation in natural waters: I. Solubility and hydrolysis reactions of gold in aqueous solution. Geochim. Cosmochim. Acta 1990, 54, 3–12. [Google Scholar] [CrossRef]
- Jinxin, W.; Rongjin, L.; Guo, Y.; Qin, P.; Sun, S. Removal of methyl chloroform in a coastal salt marsh of eastern China. Chemosphere 2006, 65, 1371–1380. [Google Scholar]
- Qu, X.; Alvarez, P.J.J.; Li, Q. Applications of nanotechnology in water and wastewater treatment. Water Res. 2013, 47, 3931–3946. [Google Scholar] [CrossRef]
- Kyzas, G.Z.; Matis, K.A. Nanoadsorbents for pollutants removal: A review. J. Mol. Liq. 2015, 203, 159–168. [Google Scholar] [CrossRef]
- Kowalski, K.P. Advanced arsenic removal technologies review. In Chemistry of Advanced Environmental Purification Processes of Water; Søgaard, E.G., Ed.; Elsevier: Amsterdam, The Netherlands, 2014; pp. 285–337. [Google Scholar] [CrossRef]
- WHO. Arsenic in drinking-water, background document for development of WHO. In Guidelines for Drinking Water Quality; World Health Organization: Geneva, Switzerland, 2003. [Google Scholar]
- Zenga, Q.; Baker, I.; Loudisa, J.A.; Liaoa, Y.F.; Hoopes, P.J. Synthesis and heating effect of iron/iron oxide composite and iron oxide nanoparticles. Proc. SPIE. Int. Soc. Opt. Eng. 2007, 6440, 64400H. [Google Scholar] [CrossRef]
- Dreher, K.L. Health and environmental impact of nanotechnology: Toxicological assessment of manufactured nanoparticles. Toxicol. Sci. 2004, 77, 3–5. [Google Scholar] [CrossRef] [PubMed]
- Capitanescu, C.; Macovei Oprescu, A.M.; Ionita, D.; Dinca, G.V.; Turculet, C.; Manole, G.; Macovei, R.A. Molecular processes in the streptokinase thrombolytic therapy. J. Enzym. Inhib. Med. Chem. 2016, 31, 1411–1414. [Google Scholar] [CrossRef] [PubMed]
- Demirer, G.S.; Okur, A.C.; Kizil, S. Synthesis and design of biologically inspired biocompatible iron oxide nanoparticles for biomedical applications. J. Mater. Chem. 2015, 3, 7831–7849. [Google Scholar] [CrossRef] [PubMed]
- Song, K.; Kim, W.; Suh, C.-Y.; Shin, D.; Ko, K.-S.; Ha, K. Magnetic iron oxide nanoparticles prepared by electrical wire explosion for arsenic removal. Powder Technol. 2013, 246, 572–574. [Google Scholar] [CrossRef]
- Lunge, S.; Singh, S.; Sinha, A. Magnetic iron oxide (Fe3O4) nanoparticles from tea waste for arsenic removal. J. Magn. Magn. Mater. 2014, 356, 21–23. [Google Scholar] [CrossRef]
- Otero-González, L.; Mikhalovsky, S.V.; Václavíková, M.; Trenikhin, M.V.; Cundy, A.B.; Savina, I.N. Novel nanostructured iron oxide cryogels for arsenic (As (III)) removal. J. Hazard. Mater. 2020, 381, 120996. [Google Scholar] [CrossRef] [PubMed]
- Wen, Z.; Lu, J.; Zhang, Y.; Cheng, G.; Huang, S.; Chena, J.; Xua, R.; Ming, Y.; Wang, Y.; Chena, R. Facile inverse micelle fabrication of magnetic ordered mesoporous iron cerium bimetal oxides with excellent performance for arsenic removal from water. J. Hazard. Mater. 2020, 383, 121172. [Google Scholar] [CrossRef] [PubMed]
- Su, B.; Lin, J.; Owens, G.; Chen, Z. Impact of green synthesized iron oxide nanoparticles on the distribution and transformation of as species in contaminated soil. Environ. Pollut. 2020, 258, 113668. [Google Scholar] [CrossRef] [PubMed]
- Zheng, Q.; Hou, J.; Hartley, W.; Renc, L.; Wang, M.; Tu, S.; Tan, W. As(III) adsorption on Fe-Mn binary oxides: Are Fe and Mn oxides synergistic or antagonistic for arsenic removal? Chem. Eng. J. 2020, 389, 124470. [Google Scholar] [CrossRef]
- Siddiqui, S.I.; Singh, P.N.; Tara, N.; Pal, S.; Chaudhrya, S.A.; Sinhab, I. Arsenic removal from water by starch functionalized maghemite nanoadsorbents: Thermodynamics and kinetics investigations. Colloid Interface Sci. 2020, 36, 100263. [Google Scholar] [CrossRef]
- Liu, B.; Liu, Z.; Wu, H.; Pan, S.; Cheng, X.; Sun, Y.; Xu, Y. Effective and simultaneous removal of organic/inorganic arsenic using polymer-based hydrated iron oxide adsorbent: Capacity evaluation and mechanism. Sci. Total Environ. 2020, 742, 140508. [Google Scholar] [CrossRef]
- Liu, Z.; Chen, J.; Wu, Y.; Li, Y.; Zhao, J.; Na, P. Synthesis of magnetic orderly mesoporous a-Fe2O3 nanocluster MIL-100 (Fe) for rapid and efficient arsenic (III, V) removal. J. Hazard Mater. 2018, 343, 304–314. [Google Scholar] [CrossRef]
- Meunier, L.; Walker, S.; Wragg, J.; Parsons, M.; Koch, I.; Jamieson, H.; Reimer, K. Effects of soil composition and mineralogy on the bioaccessibility of arsenic from tailings and soil in gold mine districts of Nova Scotia. Environ. Sci. Technol. 2020, 44, 2667–2674. [Google Scholar] [CrossRef]
- Hartley, W.; Edwards, R.; Lepp, N. Arsenic and heavy metal mobility in iron oxide-amended contaminated soils as evaluated by short- and long-term leaching tests. Environ. Pollut. 2004, 131, 495–504. [Google Scholar] [CrossRef]
- Massart, R. Preparation of aqueous magnetic liquids in alkaline and acidic media. IEEE Trans Magn. 1981, 17, 1247–1248. [Google Scholar] [CrossRef]
- Ciobanu, C.S.; Iconaru, S.L.; Gyorgy, E.; Radu, M.; Costache, M.; Dinischiotu, A.; Le Coustumer, P.; Lafdi, K.; Predoi, D. Biomedical properties and preparation of iron oxide-dextran nanostructures by MAPLE technique. Chem. Cent. J. 2012, 6, 1–12. [Google Scholar] [CrossRef] [PubMed]
- Predoi, D.; Valsangiacom, C.M. Thermal studies of magnetic spinel iron oxide in solution. J. Optoelectron. Adv. Mater. 2007, 9, 1797–1799. [Google Scholar]
- Azaroff, L.V. Elements of X-ray Crystallography; McGraw-Hill: New York, NY, USA, 1970. [Google Scholar]
- Ncibi, M.C. Applicability of some statistical tools to predict optimum adsorption isotherm after linear and non-linear regression analysis. J. Hazard. Mater. 2008, 153, 207–212. [Google Scholar] [CrossRef] [PubMed]
- Allen, S.J.; Mckay, G.; Porter, J.F. Adsorption isotherm models for basic dyea dsorption by peat in single and binary component systems. J. Colloid Interface Sci. 2004, 280, 322–333. [Google Scholar] [CrossRef] [PubMed]
- Langmuir, I. The adsorption of gases on plane surfaces of glass, mica and platinum. J. Am. Chem. Soc. 1918, 40, 1361–1403. [Google Scholar] [CrossRef]
- Ho, Y.S.; Huang, C.T.; Huang, H.W. Equilibrium sorption isotherm for metal ions on tree fern. Process. Biochem. 2002, 37, 1421–1430. [Google Scholar] [CrossRef]
- Meroufel, B.; Benali, O.; Benyahia, M.; Benmoussa, Y.; Zenasni, M.A. Adsorptive removal of anionic dye from aqueous solutions by Algerian kaolin: Characteristics, isotherm, kinetic and thermodynamic studies. J. Mater. Environ. Sci. 2013, 44, 482–491. [Google Scholar]
- Predoi, D.; Iconaru, S.L.; Predoi, M.V. Dextran-coated zinc-doped hydroxyapatite for biomedical applications. Polymers 2019, 11, 886. [Google Scholar] [CrossRef]
- Yamaguchi, M. Role of zinc in bone formation and bone resorption. J. Trace Elem. Exp. Med. 1998, 11, 119–135. [Google Scholar] [CrossRef]
- Predoi, D.; Vatasescu-Balcan, R.A. Osteoblast interaction with iron oxide nanoparticles coated with dextrin in cell culture. J. Optoelectron. Adv. Mater. 2008, 10, 152–157. [Google Scholar]
- Prodan, A.M.; Beuran, M.; Turculet, C.S.; Popa, M.; Andronescu, E.; Bleotu, C.; Raita, S.M.; Soare, M.; Lupescu, O. In vitro evaluation of glycerol coated iron oxide nanoparticles in solution. Rom. Biotechnol. Lett. 2018, 23. [Google Scholar] [CrossRef]
- Iconaru, S.L.; Turculet, C.; Le Coustumer, P.; Bleotu, C.; Chifiriuc, M.C.; Lazar, V.; Surugiu, A.; Badea, M.; Iordache, F.M.; Soare, M.; et al. Biological studies on dextrin coated iron oxide nanoparticles. Rom. Rep. Phys. 2016, 6868, 1536–1544. [Google Scholar]
- Cornell, R.M.; Schwertmann, U. The Iron Oxides: Structure, Properties, Reactions, Occurrences, and Uses; Wiley: Weinheim, Germany, 2003. [Google Scholar]
- Elfeky, S.A.; Mahmoud, S.E.; Youssef, A.F. Applications of CTAB modified magnetic nanoparticles for removal of chromium (VI) from contaminated water. J. Adv. Res. 2017, 8, 435–443. [Google Scholar] [CrossRef] [PubMed]
- Malek, A.; Farooq, S. Comparison of isotherm models for hydrocarbon adsorption on activated carbon. AIChE J. 1996, 42, 3191–3201. [Google Scholar] [CrossRef]
- Langmuir, I. The constitution and fundamental properties of solids and liquids. J. Am. Chem. Soc. 1916, 38, 2221–2295. [Google Scholar] [CrossRef]
- Bulut, E.; Ozacar, M.; Sengil, I.A. Adsorption of malachite green onto bentonite: Equilibrium and kinetic studies and process design. Microporous Mesoporous Mater. 2008, 115, 234–246. [Google Scholar] [CrossRef]
- Vijayaraghavan, K.; Padmesh, T.V.N.; Palanivelu, K.; Velan, M. Biosorption of nickel(II) ions onto Sargassum wightii: Application of two-parameterand three parameter isotherm models. J. Hazard. Mater. 2006, B133, 304–308. [Google Scholar] [CrossRef]
- Kundu, S.; Gupta, A.K. Arsenic adsorption onto iron oxide-coated cement (IOCC): Regression analysis of equilibrium data with several isotherm models and their optimization. Chem. Eng. J. 2006, 122, 93–106. [Google Scholar] [CrossRef]
- Ho, Y.S. Selection of optimum sorption isotherm. Carbon 2004, 42, 2115–2116. [Google Scholar] [CrossRef]
- He, J.; Hong, S.; Zhang, L.; Gan, F.; Ho, Y.-S. Equilibrium and thermodynamic parameters of adsorption of merhylene blue onto rectorite. Fresenius Environ. Bull. 2010, 19, 2651–2656. [Google Scholar]
- Yu, X.; Tong, S.; Ge, M.; Zuo, J.; Cao, C.; Song, W. One-step synthesis of magnetic composites of cellulose@iron oxide nanoparticles for arsenic removal. J. Mater. Chem. 2013, 1, 959. [Google Scholar] [CrossRef]
- Iconaru, S.L.; Guégan, R.; Popa, C.L.; Motelica-Heino, M.; Ciobanu, C.S.; Predoi, D. Magnetite (Fe3O4) nanoparticles as adsorbents for as and Cu removal. Appl. Clay Sci. 2016, 134, 128–135. [Google Scholar] [CrossRef]
- Freundlich, H.M.F. Over the adsorption in solution. J. Phys. Chem. 1906, 57, 385–471. [Google Scholar]
- Adamson, A.W.; Gast, A.P. Physical Chemistry of Surfaces, 6th ed.; Wiley: New York, NY, USA, 1997. [Google Scholar]
- Foo, K.Y.; Hameed, B.H. Insights into the modeling of adsorption isotherm systems. Chem. Eng. J. 2010, 156, 2–10. [Google Scholar] [CrossRef]
- Zeldowitsch, J. Adsorption site energy distribution. Acta Phys. Chem. URSS 1934, 1, 961–973. [Google Scholar]
- Voudrias, E.; ytianos, F.; Bozani, E. Sorption description isotherms of dyes from aqueous solutions and waste waters with different sorbent materials. Global Nest. Int. J. 2002, 4, 75–83. [Google Scholar]
- Mohan, S.; Karthikeyan, J. Removal of lignin and tannin color from aqueous solution by adsorption on to activated carbon solution by adsorption on to activated charcoal. Environ. Pollut. 1997, 97, 183–187. [Google Scholar] [CrossRef]
- Goldberg, S. Equations and models describing adsorption processes in soils. In Chemical Processes in Soils; Soil Science Society of America: Madison, WI, USA, 2005; p. 489. [Google Scholar]
- Iconaru, S.L.; Motelica-Heino, M.; Guegan, R.; Beuran, M.; Costescu, A.; Predoi, D. Adsorption of Pb (II) Ions onto hydroxyapatite nanopowders in aqueous solutions. Materials 2018, 11, 2204. [Google Scholar] [CrossRef]
- Jones, R.A. XPS evidence for Fe and as oxidation states and electronic states in loellingite (FeAs2). Am. Mineral. 2002, 87, 1692–1698. [Google Scholar] [CrossRef]
- Abidov, A.; Allabergenov, B.; Lee, J.; Jeon, H.W.; Jeong, S.W.; Kim, S. X-Ray photoelectron spectroscopy characterization of Fe doped tio2 photocatalyst. Int. J. Mater. Mech. Manuf. 2013, 1, 294–296. [Google Scholar] [CrossRef]
- Liang, R.; Jing, F.; Shen, L.; Qin, N.; Wu, L. MIL-53(Fe) as a highly efficient bifunctional photocatalyst for the simultaneous reduction of Cr(VI) and oxidation of dyes. J. Hazard Mater. 2015, 287, 364–372. [Google Scholar] [CrossRef] [PubMed]
- Xie, D.; Ma, Y.; Gu, Y.; Zhou, H.; Zhang, H.; Wang, G.; Zhang, Y.; Zhao, H. Bifunctional NH2-MIL-88(Fe) metaleorganic framework nanooctahedra for highly sensitive detection and efficient removal of arsenate in aqueous media. J. Mater. Chem. 2017, 5, 23794–23804. [Google Scholar] [CrossRef]
- Kang, D.; Yu, X.; Tong, S.; Ge, M.; Zuo, J.; Cao, C.; Song, W. Performance and mechanism of Mg/Fe layered double hydroxides for fluoride and arsenate removal from aqueous solution. Chem. Eng. J. 2013, 228, 731–740. [Google Scholar] [CrossRef]
- Zhang, S.; Li, X.-Y.; Chen, J.P. An XPS study for mechanisms of arsenate adsorption onto a magnetite-doped activated carbon fiber. J. Colloid Interface Sci. 2010, 343, 232–238. [Google Scholar] [CrossRef]
- Wagner, C.D.; Naumkin, A.V.; Kraut-Vass, A.; Allison, J.W.; Powell, C.J.; Rumble, J.R., Jr. NIST Standard Reference Database 20; NIST XPS Database: Gaithersburg, MD, USA, 2003; Version 3; pp. 251–252. [Google Scholar]
- Chowdhury, S.R.; Yanful, E.K.; Pratt, A.R. Arsenic removal from aqueous solutions by mixed magnetite–maghemite nanoparticles. Environ. Earth Sci. 2011, 64, 411–423. [Google Scholar] [CrossRef]
- Navarathn, C.M.; Karunanayake, A.G.; Gunatilake, S.R.; Pittman, C.U., Jr.; Perez, F.; Mohan, D.; Mlsna, T. Removal of Arsenic(III) from water using magnetite precipitated onto Douglas fir biochar. J. Environ. Manag. 2019, 250, 109429. [Google Scholar] [CrossRef]
- Islam, S.; Khan, A.; Aftab, H.; Kusumoto, Y. Arsenic induced cytotoxicity study against human epithelial carcinoma (HeLa) cell. Res. Rev. J. Toxicol. 2015, 5, 1–8. [Google Scholar]
- Alp, O.; Merino, E.J.; Caruso, J.A. Arsenic-induced protein phosphorylation changes in HeLa cells. Anal. Bioanal. Chem. 2010, 398, 2099–2107. [Google Scholar] [CrossRef]
- Abdullaev, F.I.; Rivera-Luna, R.; Garcıa-Carrancá, A.; Ayala-Fierro, F.; Espinosa-Aguirre, J.J. Cytotoxic effect of three arsenic compounds in HeLa human tumor and bacterial cells. Mutat. Res. 2001, 493, 31–38. [Google Scholar] [CrossRef]








| Sample | Langmuir | Freundlich | |||||
|---|---|---|---|---|---|---|---|
| IO-CTAB | R2 | qm (mg/g) | KL (L/mg) | RL | R2 | n | kf |
| 0.996 | 80.841 | 0.1 | 0.2 | 0.985 | 1.06 | 4.563 | |
© 2020 by the authors. Licensee MDPI, Basel, Switzerland. This article is an open access article distributed under the terms and conditions of the Creative Commons Attribution (CC BY) license (http://creativecommons.org/licenses/by/4.0/).
Share and Cite
Predoi, D.; Iconaru, S.L.; Predoi, M.V.; Motelica-Heino, M. Removal and Oxidation of As(III) from Water Using Iron Oxide Coated CTAB as Adsorbent. Polymers 2020, 12, 1687. https://doi.org/10.3390/polym12081687
Predoi D, Iconaru SL, Predoi MV, Motelica-Heino M. Removal and Oxidation of As(III) from Water Using Iron Oxide Coated CTAB as Adsorbent. Polymers. 2020; 12(8):1687. https://doi.org/10.3390/polym12081687
Chicago/Turabian StylePredoi, Daniela, Simona Liliana Iconaru, Mihai Valentin Predoi, and Mikael Motelica-Heino. 2020. "Removal and Oxidation of As(III) from Water Using Iron Oxide Coated CTAB as Adsorbent" Polymers 12, no. 8: 1687. https://doi.org/10.3390/polym12081687
APA StylePredoi, D., Iconaru, S. L., Predoi, M. V., & Motelica-Heino, M. (2020). Removal and Oxidation of As(III) from Water Using Iron Oxide Coated CTAB as Adsorbent. Polymers, 12(8), 1687. https://doi.org/10.3390/polym12081687

