Properties of Potato Starch Roasted with Apple Distillery Wastewater †
Abstract
1. Introduction
2. Materials and Methods
2.1. Materials
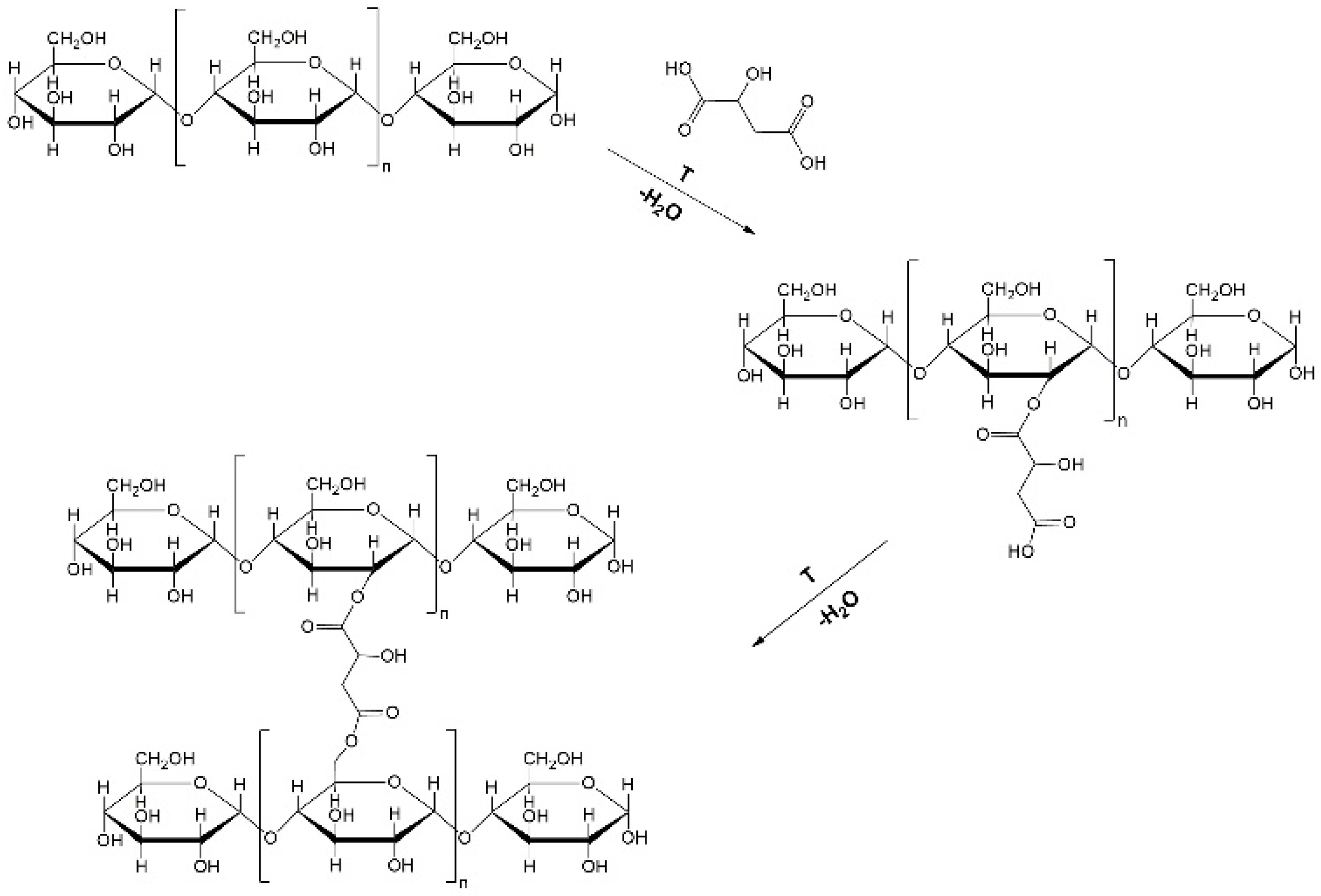
2.2. Modification Procedure
2.3. Qualitative and Quantitative Analysis of Organic Acids by HPLC
2.4. Determination of Swelling Power and Solubility in Water
2.5. Determination of Thermal Characteristics
2.6. Determination of Flow Curves of Pastes
2.7. Determination of Resistance to Amyloglucosidase Activity
2.8. Determination of the Color Difference
2.9. Statistical Analysis
3. Results and Discussion
4. Conclusions
Author Contributions
Funding
Conflicts of Interest
References
- Ačkar, Đ.; Babić, J.; Jozinović, A.; Miličević, B.; Jokić, S.; Miličević, R.; Rajič, M.; Šubarić, D. Starch Modification by Organic Acids and Their Derivatives: A Review. Molecules 2015, 20, 19554–19570. [Google Scholar] [CrossRef]
- Tian, S.Q.; Wang, Z.L.; Wang, X.W.; Zhao, R.Y. Development and digestion of resistant malate starch produced by L-malic acid treatment. RSC Adv. 2016, 6, 96182. [Google Scholar] [CrossRef]
- Xing, J.J.; Liu, Y.; Li, D.; Wang, L.J.; Adhikari, B. Heat-moisture treatment and acid hydrolysis of corn starch in different sequences. LWT Food Sci. Technol. 2017, 79, 11–20. [Google Scholar] [CrossRef]
- Tian, S.Q.; Liu, C.X.; Zhao, R.Y.; Wang, Z.L. Physicochemical Properties and Digestion Characteristics of Corn Starch Esterfied by Malic Acid. J. Food Sci. 2019, 84, 2059–2064. [Google Scholar] [CrossRef]
- Shi, M.; Gao, Q.; Liu, Y. Changes in the structure and digestibility of wrinkled pea starch with malic acid treatment. Polymers 2018, 10, 1359. [Google Scholar] [CrossRef] [PubMed]
- Kwon, C.; Kim, H.R.; Moon, T.W.; Lee, S.H.; Lee, C.J. Structural and Physicochemical Characteristics of Granular Malic Acid-Treated Sweet Potato Starch Containing Heat-Stable Resistant Starch. J. Chem. 2019, 2903252. [Google Scholar] [CrossRef]
- Lee, C.J.; Na, J.N.; Park, J.Y.; Chang, P.S. Structural Characteristics and In Vitro Digestibility of Malic Acid-Treated Corn Starch with Different pH Conditions. Molecules 2019, 24, 1900. [Google Scholar] [CrossRef]
- Ačkar, Đ.; Šubarić, D.; Babić, J.; Miličević, B.; Jozinović, A. Modification of wheat starch with succinic acid/acetanhydride and azelaic acid/acetanhydride mixtures. II. Chemical and physical properties. J. Food Sci. Technol. 2012, 51, 1463–1472. [Google Scholar] [CrossRef] [PubMed]
- Tian, S.Q.; Sun, Y. Infuencing factor of resistant starch formation and application in cereal products: A review. Int. J. Biol. Macromol. 2020, 149, 424–431. [Google Scholar] [CrossRef] [PubMed]
- Li, M.N.; Xie, Y.; Chen, H.Q.; Zhang, B. Effects of heat-moisture treatment after citric acid esterification on structural properties and digestibility of wheat starch, A- and B-type starch granules. Food Chem. 2019, 272, 523–529. [Google Scholar] [CrossRef]
- Hung, P.V.; Vien, N.L.; Lan Phi, N.T. Resistant starch improvement of rice starches under a combination of acid and heat-moisture treatments. Food Chem. 2016, 191, 67–73. [Google Scholar] [CrossRef] [PubMed]
- Shi, M.; Jing, Y.; Yang, L.; Huang, X.; Wang, H.; Yan, Y.; Liu, Y. Structure and Physicochemical Properties of Malate Starches from Corn, Potato, and Wrinkled Pea Starches. Polymers 2019, 11, 1523. [Google Scholar] [CrossRef] [PubMed]
- Friedrich, J.; Cimerman, A.; Perdih, A. The Use of Aspergillus niger for Bioconversion of Apple Distillery Waste. Eur. J. Appl. Microbiol. Biotechnol. 1983, 17, 243–247. [Google Scholar] [CrossRef]
- Perdih, A.; Cimerman, A.; Friedrich, J. Fungal bioconversion of fruit distillery wastes. Enzyme Microb. Technol. 1991, 13, 848–852. [Google Scholar] [CrossRef]
- Gunde-Cimerman, N.; Cimerman, A.; Perdih, A. Aspergillus niger mutants for bioconversion of apple distillery wastes. Enzyme Microb. Technol. 1986, 8, 166–170. [Google Scholar] [CrossRef]
- Tekerlekopoulou, A.G.; Economou, Ch.N.; Tatoulis, T.I.; Akratos, C.S.; Vayenas, D.V. Wastewater treatment and water reuse in the food industry. In The Interaction of Food Industry and Environment; Galanakis, C., Ed.; Academic Press: Cambridge, MA, USA, 2020; pp. 245–280. [Google Scholar] [CrossRef]
- Zhang, Z.; Tian, J.; Fang, H.; Zhang, H.; Kong, X.; Wu, D.; Zheng, J.; Liu, D.; Ye, X.; Chen, S. Physicochemical and Digestion Properties of Potato Starch Were Modified by Complexing with Grape Seed Proanthocyanidins. Molecules 2020, 25, 1123. [Google Scholar] [CrossRef] [PubMed]
- Hernández, F.; Noguera-Artiaga, L.; Burló, F.; Wojdyło, A.; Carbonell-Barrachina, Á.A.; Legua, P. Physico-chemical, nutritional, and volatile composition and sensory profile of Spanish jujube (Ziziphus jujuba Mill.) fruits. J. Sci. Food Agric. 2016, 96, 2682–2691. [Google Scholar] [CrossRef] [PubMed]
- Zdybel, E.; Zięba, T.; Tomaszewska-Ciosk, E.; Rymowicz, W. Effect of the Esterification of Starch with a Mixture of Carboxylic Acids from Yarrowia lipolitica Fermentation Broth on Its Selected Properties. Polymers 2020, 12, 1383. [Google Scholar] [CrossRef]
- Richter, M.; Augustat, S.; Schierbaum, F. Ausgewählte Methoden der Stärkechemie; WILEY-VCH Verlag GmbH & Co. KGaA: Weinheim, Germany, 1968. [Google Scholar]
- Gryszkin, A.; Zięba, T.; Kapelko, M.; Buczek, A. Effect of thermal modifications of potato starch on its selected properties. Food Hydrocoll. 2014, 40, 122–127. [Google Scholar] [CrossRef]
- Gryszkin, A.; Zięba, T.; Kapelko-Żeberska, M. Hydrothermal modification of wheat starch. Part 2. Thermal characteristics of pasting and rheological properties of pastes. J. Cereal Sci. 2016, 69, 194–198. [Google Scholar] [CrossRef]
- Zięba, T.; Juszczak, L.; Gryszkin, A. Properties of retrograded and acetylated starch preparations Part 2. Dynamics of saccharification with amyloglucosidase and rheological preoperties of resulting pastes and gels. LWT Food Sci. Technol. 2011, 44, 1321–1327. [Google Scholar] [CrossRef]
- Zięba, T.; Kapelko, M.; Jacewicz, K.; Styczyńska, M. Properties of extruded starch modified with phosphorus and glycin. Pol. J. Food Nutr. Sci. 2007, 57, 633–638. [Google Scholar]
- Pando Bedriñana, R.; Picinelli Lobo, A.; Rodríguez Madrera, R.; Suárez Valles, B. Characteristics of ice juices and ciders made by cryo-extraction with different cider apple varieties and yeast strains. Food Chem. 2020, 310, 125831. [Google Scholar] [CrossRef] [PubMed]
- Laaksonen, O.; Kuldjärv, R.; Paalme, T.; Virkki, M.; Yang, B. Impact of apple cultivar, ripening stage, fermentation type and yeast strain on phenolic composition of apple ciders. Food Chem. 2017, 233, 29–37. [Google Scholar] [CrossRef] [PubMed]
- Arias Abrodo, P.; Margolles Cabrales, I.; Mangas Alonso, J.J.; Blanco-Gomis, D. Fatty acid composition of cider obtained either by traditional or controlled fermentation. Food Chem. 2005, 92, 183–187. [Google Scholar] [CrossRef]
- Rosend, J.; Kuldjärv, R.; Rosenvald, S.; Paalme, T. The effects of apple variety, ripening stage, and yeast strain on the volatile composition of apple cider. Heliyon 2019, 5, e01953. [Google Scholar] [CrossRef] [PubMed]
- Wei, J.; Zhang, Y.; Wang, Y.; Ju, H.; Niu, C.; Song, Z.; Yuan, Y.; Yue, T. Assessment of chemical composition and sensorial properties of ciders fermented with different non-Saccharomyces yeasts in pure and mixed fermentations. Int. J. Food Microbiol. 2020, 318, 108471. [Google Scholar] [CrossRef]
- Giryn, H.; Szteke, B.; Szymczyk, K. Wpływ procesu technologicznego i przechowywania na zawartość kwasów organicznych w zagęszczonych sokach jabłkowych. Żywność Nauka Technologia Jakość 2004, 2, 92–107. [Google Scholar]
- Wu, J.; Gao, H.; Zhao, L.; Liao, X.; Chen, F.; Wang, Z.; Hu, X. Chemical compositional characterization of some apple cultivars. Food Chem. 2007, 103, 88–93. [Google Scholar] [CrossRef]
- Lu, X.; Liu, Y.; Zhou, G.; Wie, Q.; Hu, H.; Peng, S. Identification of organic acid-related genes and their expression profiles in two pear (Pyrus pyrofolia) cultivars with difference in predominant acid type at fruit ripening stage. Sci. Hortic. 2011, 129, 680–687. [Google Scholar] [CrossRef]
- Olsson, E.; Hedenqvist, M.S.; Johansson, C.; Jarnstrom, L. Influence of citric acid and curing on moisture sorption, diffusion and permeability of starch films. Carbohydr. Polym. 2013, 94, 765–772. [Google Scholar] [CrossRef] [PubMed]
- Kapelko-Żeberska, M.; Zięba, T.; Pietrzak, W.; Gryszkin, A. Effect of citric acid esterification conditions on the properties of the obtained resistant starch. Int. J. Food Sci. Technol. 2016, 51, 1647–1654. [Google Scholar] [CrossRef]
- Tomasik, P.; Wiejak, S.; Pałasiński, M. The thermal decomposition of carbohydrates. Part II. The decomposition of starch. Adv. Carbohydr. Chem. Biochem. 1989, 47, 279–343. [Google Scholar] [CrossRef]
- Ueno, Y.; Izumi, M.; Kato, K. Studies on pyrodextrinization of corn starch. Starch-Stärke 1976, 28, 77–83. [Google Scholar] [CrossRef]
- Tegge, G. Stärke und Stärkederivate; B. Behr’s Verlag GmbH & Co. KG: Hamburg, Germany, 2004. [Google Scholar]
- Nakorn, K.N.; Tongdang, T.; Sirivongpaisal, P. Crystallinity and rheological properties of pregelatinized rice starches differing in amylose content. Starch/Stärke 2009, 61, 101–108. [Google Scholar] [CrossRef]
- Swinkles, J.J.M. Composition and properties of commercial native starches. Starch/Stärke 1985, 37, 1–5. [Google Scholar] [CrossRef]
- Fortuna, T.; Januszewska, R.; Juszczak, L.; Kielski, A.; Pałasiński, M. The influence of starch pore characteristics on pasting behaviour. Int. J. Food Sci. Technol. 2000, 35, 285–291. [Google Scholar] [CrossRef]
- Chen, Z.; Huang, J.; Suurs, P.; Schols, H.A.; Voragen, A.G.J. Granule size affects the acetyl substitution on amylopectin populations in potato and sweet potato starches. Carbohydr. Polym. 2005, 62, 333–337. [Google Scholar] [CrossRef]
- Cheetham, N.W.H.; Tao, L. Variation in crystalline type with amylose content in maize starch granules: An x-ray powder diffraction study. Carbohydr. Polym. 1998, 36, 277–284. [Google Scholar] [CrossRef]
- Le Thanh-Blicharz, J.; Lubiewski, Z.; Voelkel, E.; Lewandowicz, G. Ocena waciwoci reologicznych handlowych skrobi naturalnych. Żywność Nauka Technologia Jakość 2011, 3, 53–65. [Google Scholar]
- Kapelko-Żeberska, M.; Gryszkin, A.; Zięba, T.; Singh, A.V. Natural and Artificial Diversification of Starch. In Handbook of Composites from Renewable Materials, 1st ed.; Thakur, V.K., Thakur, M.K., Kessler, M.R., Eds.; John Wiley & Sons, Inc.: Hoboken, NJ, USA, 2017; pp. 521–539. [Google Scholar]
- Ribotta, P.D.; Colombo, A.; Alberto, E.; Alberto, L.E.; Ańón, M.C. Effects of soy protein on physical and rheological properties of wheat starch. Starch/Stärke 2007, 59, 614–623. [Google Scholar] [CrossRef]
- Sikora, M.; Krystyjan, M. Interactions of potato (Solanum tuberosum L.) starch with selected polysaccharide hydrocolloids—A mini review. Food 2009, 3, 72–78. [Google Scholar]
- Małyszek, Z.; Białas, W.; Le Thanh-Blicharz, J.; Lewandowicz, G. Wpływ stopnia podstawienia na właściwości reologiczne skrobi utlenionych i acetylowanych. Postępy Nauki i Technologii Przemysłu Rolno-Spożywczego 2011, 66, 66–78. [Google Scholar]
- Zdybel, E. Właściwości preparatów skrobi ziemniaczanej poddanej modyfikacjom chemicznym i prażeniu. Żywność Nauka Technologia Jakość 2006, 4, 18–31. [Google Scholar]
- Akintayo, C.O.; Akintayo, E.T. Preparation, composition and physicochemical characteristics of native, oxidized and acetylated African yambean (Sphenostylis Stenocarpa) starches. Adv. Nat. Appl. Sci. 2009, 3, 196–203. [Google Scholar]
- Ali, T.M.; Hasnain, A. Functional and morphological characterization of low-substituted acetylated white sorghum (Sorghum bicolor) starch. Int. J. Polym. Anal. Charact. 2011, 16, 187–198. [Google Scholar] [CrossRef]
- Ayucitra, A. Preparation and characterization of acetylated corn starches. Int. J. Chem. Eng. Appl. 2012, 3, 156–159. [Google Scholar] [CrossRef]
- Bushra, M.; Xu, X.X.; Pan, S.Y. Microwave assisted acetylation of mung bean starch and the catalytic activity of potassium carbonate in free solvent reaction. Starch-Stärke 2013, 65, 236–243. [Google Scholar] [CrossRef]
- Choi, H.S.; Kim, H.S.; Park, C.S.; Kim, B.Y.; Baik, M.Y. Ultra high pressure (UHP)–assisted acetylation of corn starch. Carbohydr. Polym. 2009, 78, 862–868. [Google Scholar] [CrossRef]
- Das, A.M.; Singh, G.; Singh, S.; Riar, C.R. Effect of acetylation and dual modification on physico-chemical, rheological and morphological characteristics of sweet potato (Ipomoea Batatas) starch. Carbohydr. Polym. 2010, 80, 725–732. [Google Scholar] [CrossRef]
- Diop, C.I.K.; Li, H.L.; Xie, B.J.; Shi, J. Impact of the catalytic activity of iodine on the granule morphology, crystalline structure, thermal properties and water solubility of acetylated corn (Zea mays) starch synthesized under microwave assistance. Ind. Crops Prod. 2011, 33, 302–309. [Google Scholar] [CrossRef]
- Han, F.; Liu, M.; Gong, H.; Lü, S.; Ni, B.; Zhang, B. Synthesis, characterization and functional properties of low substituted acetylated corn starch. Int. J. Biol. Macromol. 2012, 50, 1026–1034. [Google Scholar] [CrossRef] [PubMed]
- Lee, H.L.; Yoo, B. Dynamic rheological and thermal properties of acetylated sweet potato starch. Starch-Stärke 2009, 61, 407–413. [Google Scholar] [CrossRef]
- Mirmoghtadaie, L.; Kadivar, M.; Shahedi, M. Effects of cross-linking and acetylation on oat starch properties. Food Chem. 2009, 116, 709–713. [Google Scholar] [CrossRef]
- Singh, H.; Sodhi, N.S.; Singh, N. Structure and functional properties of acetylated sorghum starch. Int. J. Food Prop. 2012, 15, 312–325. [Google Scholar] [CrossRef]
- Huang, J.; Schols, H.A.; Jin, Z.; Sulmann, E.; Voragen, A.G.J. Characterization of differently sized granule fractions of yellow pea, cowpea and chickpea starches after modification with acetic anhydride and vinyl acetate. Carbohydr. Polym. 2007, 67, 11–20. [Google Scholar] [CrossRef]
- Mbougueng, P.D.; Tenin, D.; Scher, J.; Tchiégang, C. Influence of acetylation on physicochemical, functional and thermal properties of potato and cassava starches. J. Food Eng. 2012, 108, 320–326. [Google Scholar] [CrossRef]
- Ogungbenle, H.N. The tensile strength, gelling properties and temperature dependence of solubility and swelling power of five legume starches. Pakistan J. Nutr. 2009, 8, 433–438. [Google Scholar] [CrossRef][Green Version]
- Osundahunsi, O.F.; Mueller, R. Functional and dynamic rheological properties of acetylated starches from two cultivars of cassava. Starch-Stärke 2011, 63, 3–10. [Google Scholar] [CrossRef]
- Uzomah, A.; Ibe, C. The functional properties, pasting and baking behaviour of chemically modified sour cassava starches. Afr. J. Food Sci. 2011, 5, 686–694. [Google Scholar]
- Wani, I.A.; Sogi, D.S.; Gill, B.S. Physicochemical properties of acetylated starches from some Indian kidney bean (Phaseolus vulgaris L.) cultivars. Int. J. Food Sci. Technol. 2012, 47, 1993–1999. [Google Scholar] [CrossRef]
- Xie, X.; Liu, Q. Development and Physicochemical Characterization of New Resistant Citrate Starch from Different Corn Starches. Starch-Stärke 2004, 56, 364–370. [Google Scholar] [CrossRef]
- Fortuna, T. Wpływ czasu trwania modyfikacji na właściwości fosforanów dwuskrobiowych. Zesz. Nauk. AR w Krakowie 1996, 309, 51–63. [Google Scholar]
- Desphande, S.S.; Sathe, S.K.; Rangnekar, P.D.; Salunkhe, D.K. Functional properties of modified black gram (Phaseolus mungo L.) starch. J. Food Sci. 1982, 47, 1528–1533. [Google Scholar] [CrossRef]
- Miladinov, V.; Hanna, M.A. Starch esterification via reactive extrusion. Ind. Crops Prod. 2000, 11, 51–57. [Google Scholar] [CrossRef]
- Sekine, M.; Otobe, K.; Sugiyama, J.; Kawamura, Y. Effects of heating, vacuum drying and steeping on gelatinization properties and dynamic viscoelasticity of various starches. Starch-Stärke 2000, 52, 398–405. [Google Scholar] [CrossRef]
- Fredriksson, H.; Silverio, J.; Andersson, R.; Eliasson, A.C.; Aman, P. The influence of amylose and amylopectin characteristics on gelatinization and retrogradation properties of different starches. Carbohydr. Polym. 1998, 35, 119–134. [Google Scholar] [CrossRef]
- Leszczyński, W. Skrobia-surowiec przemysłowy, budowa i właściwości. Zeszyty Problemowe Nauk Rolniczych 2004, 500, 69–98. [Google Scholar]
- Zięba, T.; Gryszkin, A.; Kapelko, M. Properties of acetylated adipate of retrograded starch. Carbohydr. Polym. 2014, 99, 687–691. [Google Scholar] [CrossRef]
- Praznik, W.; Buksa, K.; Ziobro, R.; Gambuś, H.; Nowotna, A. The effect of long-term alkali treatment on the molecular characteristics of native and extruded starches at 35 °C. Starch-Stärke 2012, 64, 890–897. [Google Scholar] [CrossRef]
- Brzeziński, S.; Pałka, A.; Kosicki, S. Badanie właściwości reologicznych skrobi modyfikowanych podchlorynem sodu. Zeszyty Naukowe Chemia Spożywcza i Biotechnologia/Politechnika Łódzka 1999, 61, 29–35. [Google Scholar]
- Eliasson, A.C. Viscoelastic behaviour during the gelatinization of strach I. Comparision of wheat, maize, potato and waxy-barley starches. J. Texture Stud. 1986, 17, 253–265. [Google Scholar] [CrossRef]
- Gruchala, L.; Balcerek, W.; Bakowska, M. Badania właściwości reologicznych modyfikatów skrobiowych. Żywność Nauka Technologia Jakość 2000, 7, 99–108. [Google Scholar]
- Gryszkin, A.; Zięba, T.; Kapelko-Żeberska, M. The properties of corn starch subjected hydrothermal modification. Int. Agrophy. 2017, 31, 53–60. [Google Scholar] [CrossRef][Green Version]
- Yoo, D.; Yoo, B. Rheology of rice starch-sucrose composites. Starch-Stärke 2005, 57, 254–261. [Google Scholar] [CrossRef]
- Hebeish, A.; El-Thalouth, I.A.; Refai, R.; Dokki, A.R. Synthesis and Characterization of Hypochlorite Oxidized Starches. Starch-Stärke 1989, 41, 293–298. [Google Scholar] [CrossRef]
- Leszczyński, W. Resistant starch—classification, structure, production. Pol. J. Food Nutr. Sci. 2004, 54, 37–50. [Google Scholar]
- Kapelko, M.; Zięba, T.; Michalski, A.; Gryszkin, A. Effect of cross-linking degree on selected properties of retrograded starch adipate. Food Chem. 2015, 167, 124–130. [Google Scholar] [CrossRef]
- Zięba, T.; Kapelko, M.; Szumny, A. Effect of production method on the properties of potato starch acetate with an equal degree of substitution. Carbohydr. Polym. 2013, 94, 193–198. [Google Scholar] [CrossRef]
- Sengar, G.; Sharma, H.K. Food caramels: A review. J. Food Sci. Technol. 2014, 51, 1686–1696. [Google Scholar] [CrossRef]






| Sample | Initial Temperature [°C] | End Temperature [°C] | Heat of Transition [J/g] | |
|---|---|---|---|---|
| Native starch | 56.93 ± 0.03 f | 69.27 ± 0.02 c | 13.26 ± 0.41 a, b | |
| R | 110 °C | 55.61 ± 0.20 e | 68.13 ± 0.39 b | 12.14 ± 0.21 a |
| 130 °C | 54.58 ± 0.09 d | 67.39 ± 0.16 a, b | 12.81 ± 0.52 a, b | |
| 150 °C | 54.29 ± 0.27 c | 67.88 ± 0.52 b | 13.56 ± 1.34 b | |
| RW | 110 °C | 59.00 ± 0.10 g | 70.66 ± 0.36 d | 12.10 ± 0.21 a |
| 130 °C | 51.97 ± 0.06 a | 66.84 ± 0.29 a | 12.44 ± 0.55 a, b | |
| 150 °C | 53.56 ± 0.15 b | 67.52 ± 0.66 a, b | 12.77 ± 0.29 a, b | |
| Sample | Ostwald’s Model | |||
| K [Pa sn] | n | R2 | ||
| Native starch | 4.1889 ± 0.0270 e | 0.6397 ± 0.0016 d | 0.9835 ± 0.0012 a | |
| R | 110 °C | 3.9073 ± 0.3026 d | 0.6122 ± 0.0120 c | 0.9998 ± 0.0001 d |
| 130 °C | 1.2867 ± 0.0350 b | 0.5948 ± 0.0017 b | 0.9996 ± 0.0001 c, d | |
| 150 °C | 1.8697 ± 0.0586 c | 0.5731 ± 0.0014 a | 0.9993 ± 0.0001 c, d | |
| RW | 110 °C | 3.8730 ± 0.0324 d | 0.6351 ± 0.0007 d | 0.9987 ± 0.0001 c |
| 130 °C | 0.0051 ± 0.0003 a | 1.1770 ± 0.0030 e | 0.9974 ± 0.0005 b | |
| 150 °C | 0.0031 ± 0.0000 a | 1.3170 ± 0.0000 f | 0.9997 ± 0.0000 d | |
| Sample | Casson’s Model | |||
| τ0C [Pa] | ηC [Pa s] | R2 | ||
| Native starch | 11.0167 ± 0.1815 c | 0.2190 ± 0.0041 c | 0.9872 ± 0.0049 a | |
| R | 110 °C | 10.4920 ± 0.8342 c | 0.2254 ± 0.0072 c | 0.9986 ± 0.0005 b |
| 130 °C | 3.5380 ± 0.1047 a | 0.0640 ± 0.0011 a | 0.9992 ± 0.0001 b | |
| 150 °C | 5.1363 ± 0.1609 b | 0.0777 ± 0.0019 b | 0.9993 ± 0.0001 b | |
| RW | 110 °C | 10.7533 ± 0.1102 c | 0.2634 ± 0.0029 d | 0.9998 ± 0.0000 b |
| 130 °C | n. d. | n. d. | n. d. | |
| 150 °C | n. d. | n. d. | n. d. | |
| Sample | L* | a* | b* | ΔE | |
|---|---|---|---|---|---|
| Native starch | 97.13 ± 0.02 g | −0.24 ± 0.04 c | 1.58 ± 0.07 a | - | |
| R | 110 °C | 96.13 ± 0.02 f | −0.27 ± 0.03 b, c | 1.85 ± 0.03 b | 1.04 ± 0.01 a |
| 130 °C | 96.09 ± 0.02 e | −0.32 ± 0.04 b | 2.00 ± 0.05 c | 1.13 ± 0.03 b | |
| 150 °C | 95.68 ± 0.02 d | −0.43 ± 0.03 a | 3.60 ± 0.04 d | 2.49 ± 0.02 c | |
| RW | 110 °C | 88.58 ± 0.03 c | 1.75 ± 0.05 d | 9.31 ± 0.04 e | 11.70 ± 0.00 d |
| 130 °C | 72.33 ± 0.04 a | 5.02 ± 0.05 f | 15.59 ± 0.04 g | 28.97 ± 0.06 f | |
| 150 °C | 74.95 ± 0.01 b | 4.55 ± 0.02 e | 15.16 ± 0.03 f | 26.44 ± 0.01 e | |
© 2020 by the authors. Licensee MDPI, Basel, Switzerland. This article is an open access article distributed under the terms and conditions of the Creative Commons Attribution (CC BY) license (http://creativecommons.org/licenses/by/4.0/).
Share and Cite
Zięba, T.; Solińska, D.; Kapelko-Żeberska, M.; Gryszkin, A.; Babić, J.; Ačkar, Đ.; Hernández, F.; Lončarić, A.; Šubarić, D.; Jozinović, A. Properties of Potato Starch Roasted with Apple Distillery Wastewater. Polymers 2020, 12, 1668. https://doi.org/10.3390/polym12081668
Zięba T, Solińska D, Kapelko-Żeberska M, Gryszkin A, Babić J, Ačkar Đ, Hernández F, Lončarić A, Šubarić D, Jozinović A. Properties of Potato Starch Roasted with Apple Distillery Wastewater. Polymers. 2020; 12(8):1668. https://doi.org/10.3390/polym12081668
Chicago/Turabian StyleZięba, Tomasz, Dominika Solińska, Małgorzata Kapelko-Żeberska, Artur Gryszkin, Jurislav Babić, Đurđica Ačkar, Francisca Hernández, Ante Lončarić, Domagoj Šubarić, and Antun Jozinović. 2020. "Properties of Potato Starch Roasted with Apple Distillery Wastewater" Polymers 12, no. 8: 1668. https://doi.org/10.3390/polym12081668
APA StyleZięba, T., Solińska, D., Kapelko-Żeberska, M., Gryszkin, A., Babić, J., Ačkar, Đ., Hernández, F., Lončarić, A., Šubarić, D., & Jozinović, A. (2020). Properties of Potato Starch Roasted with Apple Distillery Wastewater. Polymers, 12(8), 1668. https://doi.org/10.3390/polym12081668

