Preparation and Characterization of Furan–Matrix Composites Blended with Modified Hollow Glass Microsphere
Abstract
1. Introduction
2. Materials and Methods
2.1. Materials
2.2. Sample Preparation
2.3. Characterization
3. Results and Discussion
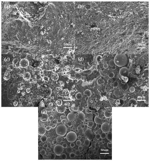
3.1. Characterizations of HGM and Modified HGM
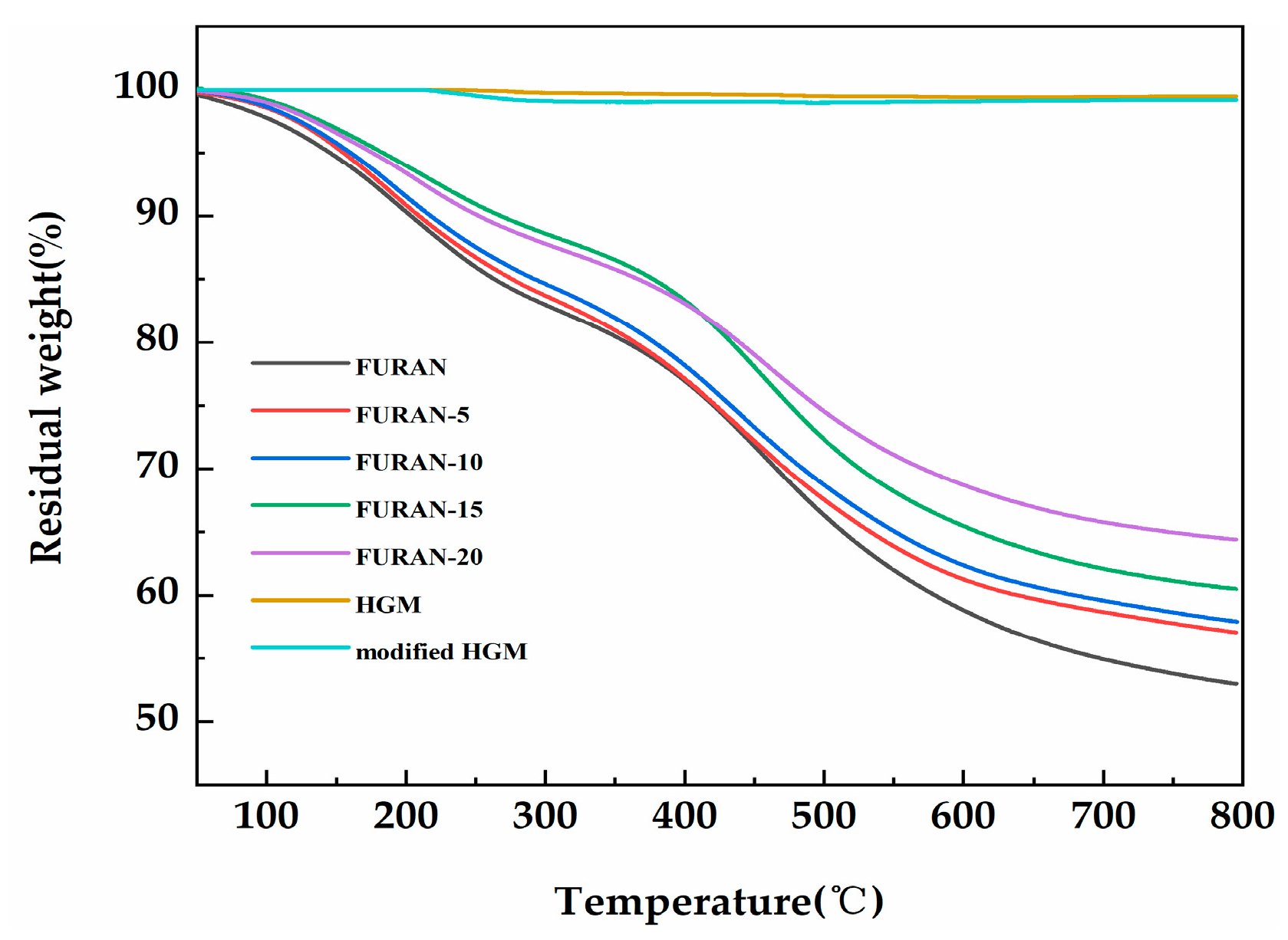
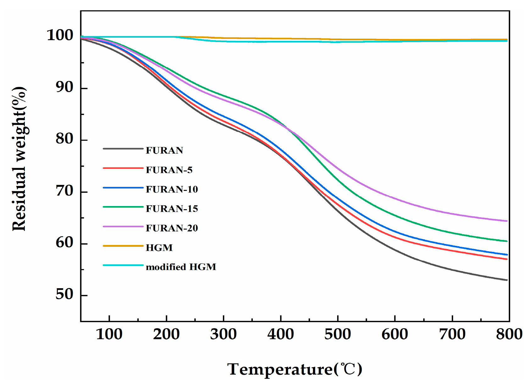
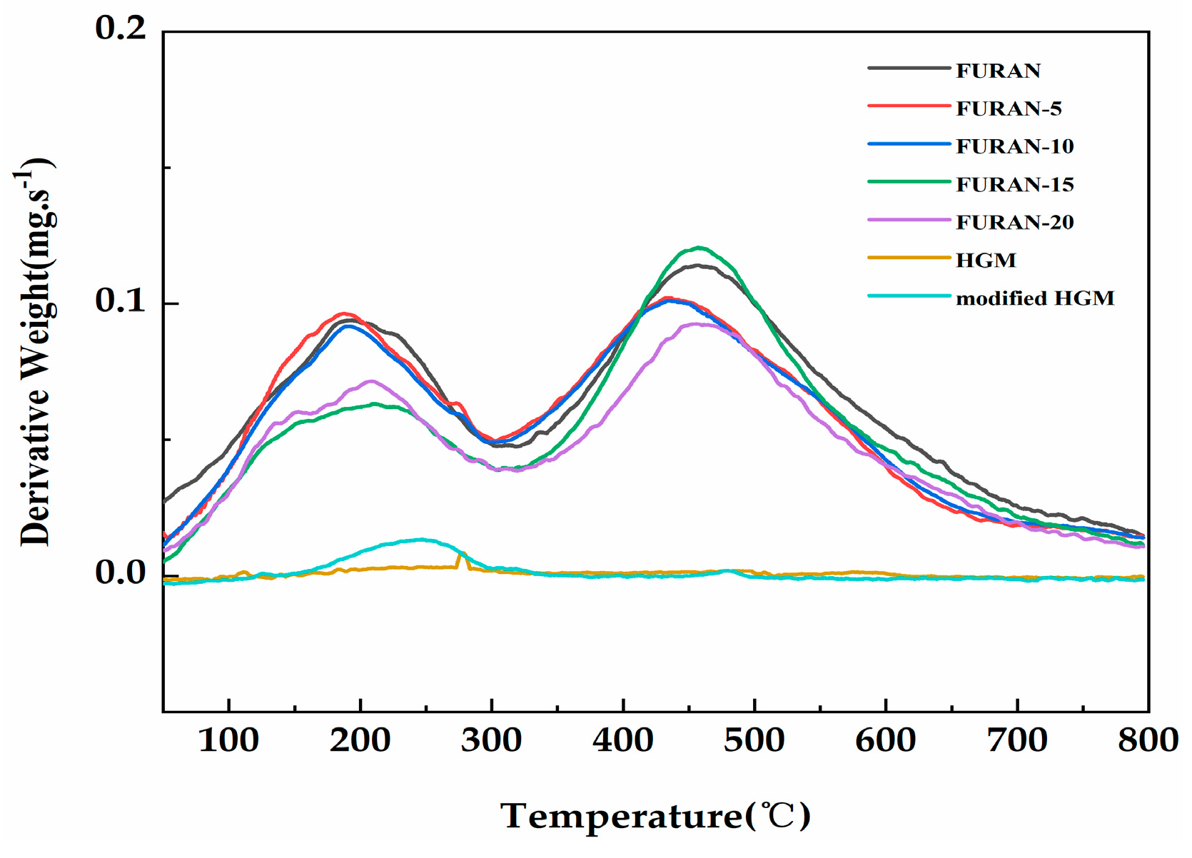
3.2. Thermal Properties of the Composites
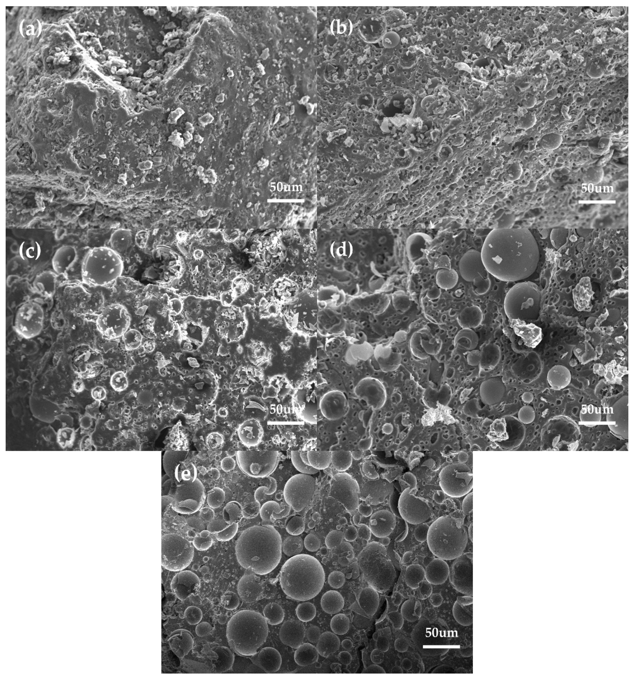
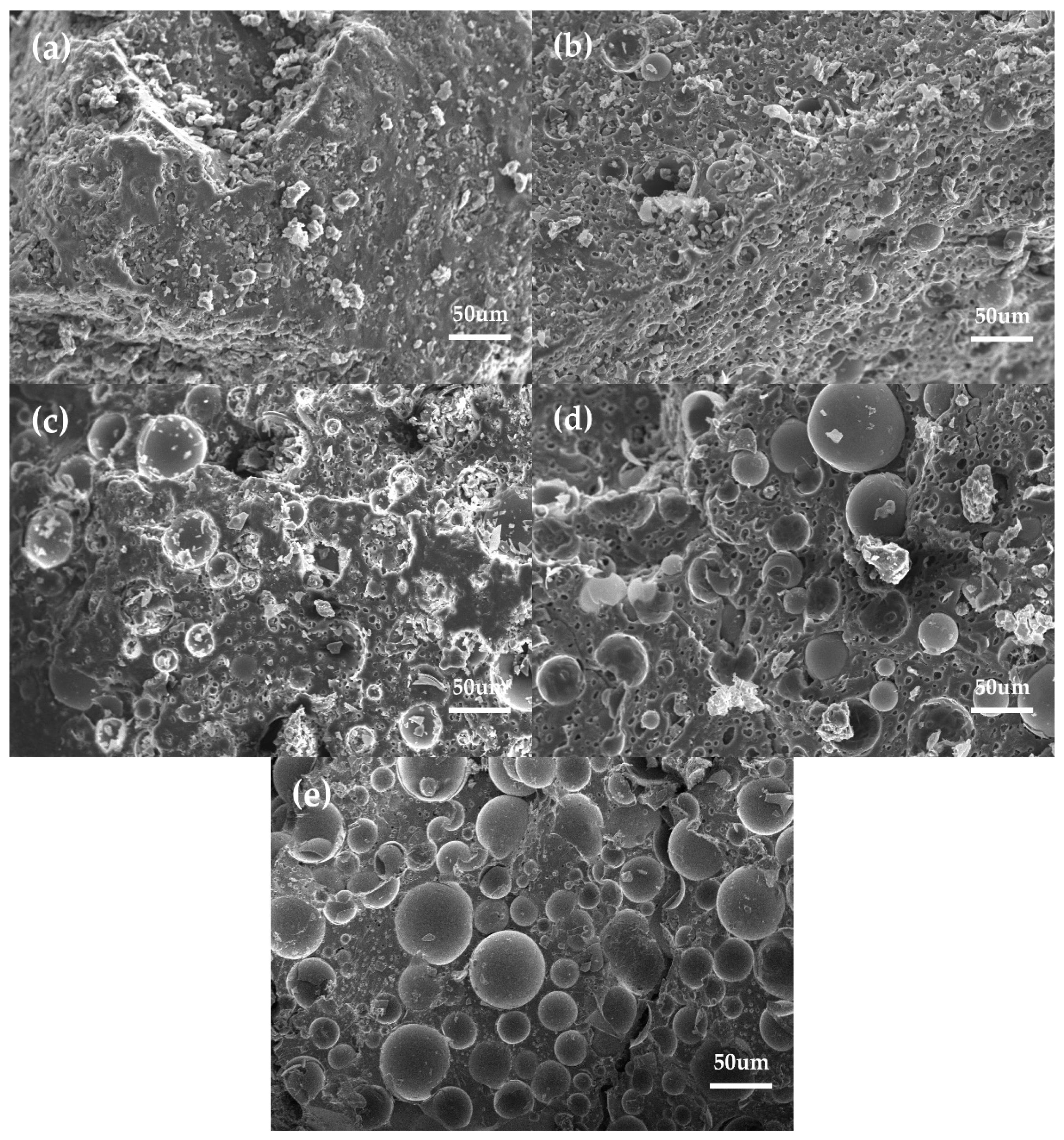
3.3. Thermal Insulation Characteristics of the Composites
3.4. Flame Retardancy of the Composites
4. Conclusions
Author Contributions
Funding
Conflicts of Interest
References
- Khoukhi, M.; Fezzioui, N.; Draoui, B.; Salah, L. The impact of changes in thermal conductivity of polystyrene insulation material under different operating temperatures on the heat transfer through the building envelope. Appl. Therm. Eng. 2016, 105, 669–674. [Google Scholar] [CrossRef]
- Aditya, L.; Mahlia, T.; Rismanchi, B.; Ng, H.; Hasan, M.; Metselaar, H.; Muraza, O.; Aditiya, H. A review on insulation materials for energy conservation in buildings. Renew. Sustain. Energy Rev. 2017, 73, 1352–1365. [Google Scholar] [CrossRef]
- Jiang, L.; Xiao, H.; An, W.; Zhou, Y.; Sun, J. Correlation study between flammability and the width of organic thermal insulation materials for building exterior walls. Energy Build. 2014, 82, 243–249. [Google Scholar] [CrossRef]
- Stec, A.A.; Hull, T.R. Assessment of the fire toxicity of building insulation materials. Energy Build. 2011, 43, 498–506. [Google Scholar] [CrossRef]
- Guigo, N.; Mija, A.; Zavaglia, R.; Vincent, L.; Sbirrazzuoli, N. New insights on the thermal degradation pathways of neat poly(furfuryl alcohol) and poly(furfuryl alcohol)/SiO2 hybrid materials. Polym. Degrad. Stab. 2009, 94, 908–913. [Google Scholar] [CrossRef]
- Rivero, G.; Fasce, L.A.; Ceré, S.M.; Manfredi, L.B. Furan resins as replacement of phenolic protective coatings: Structural, mechanical and functional characterization. Prog. Org. Coat. 2014, 77, 247–256. [Google Scholar] [CrossRef]
- Gandini, A.; Belgacem, M.N. Recent contributions to the preparation of polymers derived from renewable resources. J. Polym. Environ. 2002, 10, 105–114. [Google Scholar] [CrossRef]
- Bozell, J.J.; Petersen, G.R. Technology development for the production of biobased products from biorefinery carbohydrates-the US Department of Energy’s “Top 10” revisited. Green Chem. 2010, 12, 539–554. [Google Scholar] [CrossRef]
- Gandini, A.; Coelho, D.; Gomes, M.; Reis, B.; Silvestre, A. Materials from renewable resources based on furan monomers and furan chemistry: Work in progress. J. Mater. Chem. 2009, 19, 8656–8664. [Google Scholar] [CrossRef]
- Zhang, Y.S.; Nanda, M.; Tymchyshyn, M.; Yuan, Z.S.; Xu, C.B. Mechanical, thermal, and curing characteristics of renewable phenol-hydroxymethylfurfural resin for application in bio-composites. J. Mater. Sci. 2016, 51, 732–738. [Google Scholar] [CrossRef]
- Li, C.; Li, S.F.; Yan, S.L. Facile and green preparation of biobased graphene oxide/furan resin nanocomposites with enhanced thermal and mechanical properties. RSC Adv. 2016, 6, 62572–62578. [Google Scholar] [CrossRef]
- Gandini, A.; Belgacem, M.N. Furans in polymer chemistry. Prog. Polym. Sci. 1997, 22, 1203–1379. [Google Scholar] [CrossRef]
- Siimer, K.; Kaljuvee, T.; Christjanson, P.; Pehk, T.; Saks, I. Effect of alkylresorcinols on curing behaviour of phenol-formaldehyde resol resin. J. Therm. Anal. Calorim. 2008, 91, 365–373. [Google Scholar] [CrossRef]
- Pohl, T.; Bierer, M.; Natter, E.; Madsen, B.; Hoydonckx, H.; Schledjewski, R. Properties of compression moulded new fully biobased thermoset composites with aligned flax fibre textiles. Plast Rubber. Compos. 2011, 40, 294–299. [Google Scholar] [CrossRef]
- Rivero, G.; Pettarin, V.; Vázquez, A.; Manfredi, L.B. Curing kinetics of a furan resin and its nanocomposites. Thermochim. Acta 2011, 516, 79–87. [Google Scholar] [CrossRef]
- Lopez de Vergara, U.; Sarrionandia, M.; Gondra, K.; Aurrekoetxea, J. Polymerization and curing kinetics of furan resins under conventional and microwave heating. Thermochim. Acta 2014, 581, 92–99. [Google Scholar] [CrossRef]
- Guigo, N.; Mija, A.; Vincent, L.; Sbirrazzuoli, N. Eco-friendly composite resins based on renewable biomass resources: Polyfurfuryl alcohol/lignin thermosets. Eur. Polym. J. 2010, 46, 1016–1023. [Google Scholar] [CrossRef]
- Hoydonckx, H.E.; Van, R.W.M. Application of novel furan resins in composites. JEC Comp. 2008, 45, 34–35. [Google Scholar]
- Zeng, Q.; Mao, T.; Li, H.; Peng, Y. Thermally insulating lightweight cement-based composites incorporating glass beads and nano-silica aerogels for sustainably energy-saving buildings. Energy Build. 2018, 174, 97–110. [Google Scholar] [CrossRef]
- Xu, N.; Dai, J.; Zhu, Z.; Huang, X.; Wu, P. Synthesis and characterization of hollow glass–ceramics microspheres. Ceram Int. 2011, 37, 2663–2667. [Google Scholar] [CrossRef]
- Li, B.; Yuan, J.; An, Z.G.; Zhang, J.J. Effect of microstructure and physical parameters of hollow glass microsphere on insulation performance. Mater. Lett. 2011, 65, 1992–1994. [Google Scholar] [CrossRef]
- Liang, J.Z.; Li, F.H. Measurement of thermal conductivity of hollow glass-bead-filled polypropylene composites. Polym Test 2006, 25, 527–531. [Google Scholar] [CrossRef]
- Yung, K.; Zhu, B.; Yue, T.; Xie, C. Preparation and properties of hollow glass microsphere-filled epoxy-matrix composites. Comp. Sci. Tech. 2009, 69, 260–264. [Google Scholar] [CrossRef]
- Kang, B.-H.; Yang, X.-Y.; Lu, X. Effect of hollow glass microsphere on the flame retardancy and combustion behavior of intumescent flame retardant polypropylene composites. Polym. Bull. 2019, 1–18. [Google Scholar] [CrossRef]
- Borges, T.E.; Almeida, J.H.S.; Amico, S.C.; Amado, F.D.R. Hollow glass microspheres/piassava fiber-reinforced homo- and co-polypropylene composites: Preparation and properties. Polym. Bull. 2017, 74, 1979–1993. [Google Scholar] [CrossRef]
- Shokoohi, S.; Arefazar, A.; Khosrokhavar, R. Silane coupling agents in polymer-based reinforced composites: A review. J. Reinf. Plast. Comp. 2008, 27, 473–485. [Google Scholar] [CrossRef]
- Min, Y.; Fang, Y.; Huang, X.; Zhu, Y.; Li, W.; Yuan, J.; Tan, L.; Wang, S.; Wu, Z. Surface modification of basalt with silane coupling agent on asphalt mixture moisture damage. Appl. Surf. Sci. 2015, 346, 497–502. [Google Scholar] [CrossRef]
- Kango, S.; Kalia, S.; Celli, A.; Njuguna, J.; Habibi, Y.; Kumar, R. Surface modification of inorganic nanoparticles for development of organic–inorganic nanocomposites—A review. Prog. Polym. Sci. 2013, 38, 1232–1261. [Google Scholar] [CrossRef]
- Mutua, F.N.; Lin, P.; Koech, J.K.; Wang, Y. Surface modification of hollow glass microspheres. Mater Sci. Appl. 2012, 3, 856–860. [Google Scholar] [CrossRef]
- Monti, M.; Hoydonckx, H.; Stappers, F.; Camino, G. Thermal and combustion behavior of furan resin/silica nanocomposites. Europ. Polym. J. 2015, 67, 561–569. [Google Scholar] [CrossRef]
- Rivero, G.; Villanueva, S.; Manfredi, L.B. Furan resin as a replacement of phenolics: Influence of the clay addition on its thermal degradation and fire behaviour. Fire Mater 2014, 38, 683–694. [Google Scholar] [CrossRef]
- Sun, Y.Y.; Zhang, Z.Q.; Moon, K.S.; Wong, C.P. Glass transition and relaxation behavior of epoxy nanocomposites. J. Polym. Sci. Pol. Phys. 2004, 42, 3849–3858. [Google Scholar] [CrossRef]
- Preghenella, M.; Pegoretti, A.; Migliaresi, C. Thermo-mechanical characterization of fumed silica-epoxy nanocomposites. Polymer 2005, 46, 12065–12072. [Google Scholar] [CrossRef]
- Ipakchi, H.; Shegeft, A.; Rezadoust, A.M.; Zohuriaan-Mehr, M.J.; Kabiri, K.; Sajjadi, S. Bio-resourced furan resin as a sustainable alternative to petroleum-based phenolic resin for making GFR polymer composites. Iranian. Polym. J. 2020, 29, 287–299. [Google Scholar] [CrossRef]
- Hazarika, A.; Mandal, M.; Maji, T.K. Dynamic mechanical analysis, biodegradability and thermal stability of wood polymer nanocomposites. Comp. Part B Eng. 2014, 60, 568–576. [Google Scholar] [CrossRef]
- Lin, H.; Yan, H.; Liu, B.; Wei, L.; Xu, B. The influence of KH-550 on properties of ammonium polyphosphate and polypropylene flame retardant composites. Polym. Degrad. Stab. 2011, 96, 1382–1388. [Google Scholar] [CrossRef]
- Jiao, C.M.; Wang, H.Z.; Li, S.X.; Chen, X.L. Fire hazard reduction of hollow glass microspheres in thermoplastic polyurethane composites. J. Hazard. Mater. 2017, 332, 176–184. [Google Scholar] [CrossRef] [PubMed]













| Sample | Furan Resin/g | Modified HGM/g | HGM/g |
|---|---|---|---|
| FURAN | 10 | 0 | 0 |
| FURAN-5 | 10 | 0.5 | 0 |
| FURAN-10 | 10 | 1.0 | 0 |
| FURAN-15 | 10 | 1.5 | 0 |
| FURAN-20 | 10 | 2.0 | 0 |
| FURAN-N5 | 10 | 0 | 0.5 |
| FURAN-N10 | 10 | 0 | 1 |
| FURAN-N15 | 10 | 0 | 1.5 |
| FURAN-N20 | 10 | 0 | 2 |
| Material | T 5%/°C | T 10%/°C | Mass Residue/% |
|---|---|---|---|
| FURAN | 145.4 | 203.5 | 53.0 |
| FURAN-5 | 155.3 | 209.3 | 57.0 |
| FURAN-10 | 160.1 | 217.6 | 57.9 |
| FURAN-15 | 183.4 | 267.8 | 60.5 |
| FURAN-20 | 176.0 | 252.1 | 64.4 |
© 2020 by the authors. Licensee MDPI, Basel, Switzerland. This article is an open access article distributed under the terms and conditions of the Creative Commons Attribution (CC BY) license (http://creativecommons.org/licenses/by/4.0/).
Share and Cite
Ma, Y.; Du, Y.; Zhao, J.; Yuan, X.; Hou, X. Preparation and Characterization of Furan–Matrix Composites Blended with Modified Hollow Glass Microsphere. Polymers 2020, 12, 1480. https://doi.org/10.3390/polym12071480
Ma Y, Du Y, Zhao J, Yuan X, Hou X. Preparation and Characterization of Furan–Matrix Composites Blended with Modified Hollow Glass Microsphere. Polymers. 2020; 12(7):1480. https://doi.org/10.3390/polym12071480
Chicago/Turabian StyleMa, Yizhe, Ying Du, Jin Zhao, Xubo Yuan, and Xin Hou. 2020. "Preparation and Characterization of Furan–Matrix Composites Blended with Modified Hollow Glass Microsphere" Polymers 12, no. 7: 1480. https://doi.org/10.3390/polym12071480
APA StyleMa, Y., Du, Y., Zhao, J., Yuan, X., & Hou, X. (2020). Preparation and Characterization of Furan–Matrix Composites Blended with Modified Hollow Glass Microsphere. Polymers, 12(7), 1480. https://doi.org/10.3390/polym12071480

