Novel Anion Exchange Membrane Based on Poly(Pentafluorostyrene) Substituted with Mercaptotetrazole Pendant Groups and Its Blend with Polybenzimidazole for Vanadium Redox Flow Battery Applications
Abstract
1. Introduction
2. Materials and Methods
2.1. Materials
2.2. PPFSt Synthesis
2.3. 1-(2-Dimethylaminoethyl)-5-Mercaptotetrazole Grafting onto PPFSt (PPFSt-MTZ)
2.4. Quaternization of PPFSt-MTZ (M-PPFSt-MTZ)
2.5. Membrane Preparation
2.6. Ion Exchange Capacity (IEC)
2.7. Conductivity
2.8. Swelling Ratio (%) and Water Uptake (%)
2.9. Thermal Stability
2.10. Vanadium Redox Flow Battery Performance
3. Results and Discussion
3.1. Synthesis of M-PPFSt-MTZ
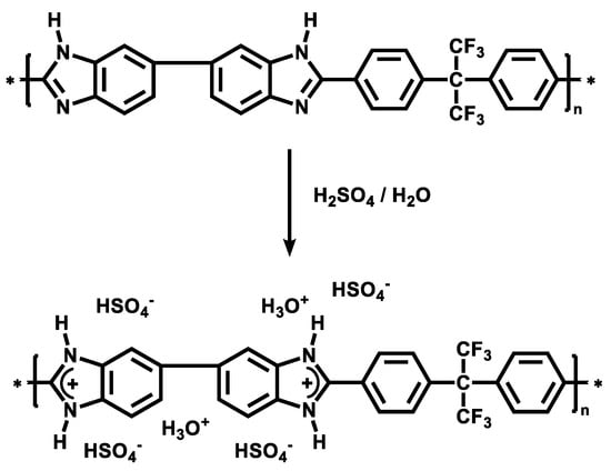
3.2. Membrane Preparation and Characterization
3.3. Vanadium Redox Flow Battery Evaluation
4. Conclusions
Supplementary Materials
Author Contributions
Funding
Acknowledgments
Conflicts of Interest
References
- Rychcik, M.; Robins, R.G.; Fane, A.G. THE New All-Vanadium Redox Flow Cell. J. Electrochem. Soc. 1986, 133, 1057–1058. [Google Scholar]
- Kim, K.J.; Park, M.-S.; Kim, Y.-J.; Kim, J.H.; Dou, S.X.; Skyllas-Kazacos, M. A technology review of electrodes and reaction mechanisms in vanadium redox flow batteries. J. Mater. Chem. A 2015, 3, 16913–16933. [Google Scholar] [CrossRef]
- Prifti, H.; Parasuraman, A.; Winardi, S.; Lim, T.M.; Skyllas-Kazacos, M. Membranes for redox flow battery applications. Membranes 2012, 2, 275–306. [Google Scholar] [CrossRef] [PubMed]
- Schwenzer, B.; Zhang, J.; Kim, S.; Li, L.; Liu, J.; Yang, Z. Membrane development for vanadium redox flow batteries. ChemSusChem 2011, 4, 1388–1406. [Google Scholar] [CrossRef] [PubMed]
- Jiang, B.; Wu, L.; Yu, L.; Qiu, X.; Xi, J. A comparative study of Nafion series membranes for vanadium redox flow batteries. J. Membr. Sci. 2016, 510, 18–26. [Google Scholar] [CrossRef]
- Katzfuß, A.; Gogel, V.; Jörissen, L.; Kerres, J. The application of covalently cross-linked BrPPO as AEM in alkaline DMFC. J. Membr. Sci. 2013, 425–426, 131–140. [Google Scholar] [CrossRef]
- Marini, S.; Salvi, P.; Nelli, P.; Pesenti, R.; Villa, M.; Berrettoni, M.; Zangari, G.; Kiros, Y. Advanced alkaline water electrolysis. Electrochim. Acta 2012, 82, 384–391. [Google Scholar] [CrossRef]
- Kwon, T.; Lee, J.-W.; Cho, H.; Henkensmeier, D.; Kang, Y.; Hong, S.M.; Koo, C.M. Ionic polymer actuator based on anion-conducting methylated ether-linked polybenzimidazole. Sens. Actuators B Chem. 2015, 214, 43–49. [Google Scholar] [CrossRef]
- Lee, J.P.; Yoo, B.; Suresh, T.; Kang, M.S.; Vital, R.; Kim, K.J. Novel silane-substituted benzimidazolium iodide as gel electrolyte for dye-sensitized solar cells. Electrochim. Acta 2009, 54, 4365–4370. [Google Scholar] [CrossRef]
- Pennline, H.W.; Granite, E.J.; Luebke, D.R.; Kitchin, J.R.; Landon, J.; Weiland, L.M. Separation of CO2from flue gas using electrochemical cells. Fuel 2010, 89, 1307–1314. [Google Scholar] [CrossRef]
- Mohammadi, T.; Skyllas Kazacos, M. Modification of anion-exchange membranes for vanadium redox flow battery applications. J. Power Sources 1996, 63, 179–186. [Google Scholar] [CrossRef]
- Hagesteijn, K.F.L.; Jiang, S.; Ladewig, B.P. A review of the synthesis and characterization of anion exchange membranes. J. Mater. Sci. 2018, 53, 11131–11150. [Google Scholar] [CrossRef]
- Atanasov, V.; Bürger, M.; Lyonnard, S.; Porcar, L.; Kerres, J. Sulfonated poly(pentafluorostyrene): Synthesis & characterization. Solid State Ion. 2013, 252, 75–83. [Google Scholar]
- Atanasov, V.; Kerres, J. Highly phosphonated polypentafluorostyrene. Macromolecules 2011, 44, 6416–6423. [Google Scholar] [CrossRef]
- O’Hagan, D. Understanding organofluorine chemistry. An introduction to the C-F bond. Chem. Soc. Rev. 2008, 37, 308–319. [Google Scholar] [CrossRef]
- Dang, H.S.; Weiber, E.A.; Jannasch, P. Poly(phenylene oxide) functionalized with quaternary ammonium groups via flexible alkyl spacers for high-performance anion exchange membranes. J. Mater. Chem. A 2015, 3, 5280–5284. [Google Scholar] [CrossRef]
- Bakangura, E.; He, Y.; Ge, X.; Zhu, Y.; Wu, L.; Ran, J.; Cheng, C.; Emmanuel, K.; Yang, Z.; Xu, T. Tetrazole tethered polymers for alkaline anion exchange membranes. Front. Chem. Sci. Eng. 2018, 12, 306–310. [Google Scholar] [CrossRef]
- Morandi, C.G.; Peach, R.; Krieg, H.M.; Kerres, J. Novel morpholinium-functionalized anion-exchange PBI–polymer blends. J. Mater. Chem. A 2015, 3, 1110–1120. [Google Scholar] [CrossRef]
- Morandi, C.G.; Peach, R.; Krieg, H.M.; Kerres, J. Novel imidazolium-functionalized anion-exchange polymer PBI blend membranes. J. Membr. Sci. 2015, 476, 256–263. [Google Scholar] [CrossRef]
- Chromik, A.; dos Santos, A.R.; Turek, T.; Kunz, U.; Häring, T.; Kerres, J. Stability of acid-excess acid-base blend membranes in all-vanadium redox-flow batteries. J. Membr. Sci. 2015, 476, 148–155. [Google Scholar] [CrossRef]
- Cho, H.; Krieg, H.M.; Kerres, J.A. Application of Novel Anion-Exchange Blend Membranes (AEBMs) to Vanadium Redox Flow Batteries. Membranes 2018, 8, 33. [Google Scholar] [CrossRef] [PubMed]
- Chen, J.; Dumas, L.; Duchet-Rumeau, J.; Fleury, E.; Charlot, A.; Portinha, D. Tuning h-bond capability of hydroxylated-poly(2,3,4,5,6-pentafluorostyrene) grafted copolymers prepared by chemoselective and versatile thiol-para-fluoro “click-type” coupling with mercaptoalcohols. J. Polym. Sci. Part A Polym. Chem. 2012, 50, 3452–3460. [Google Scholar] [CrossRef]
- Thomas, O.D.; Soo, K.J.W.Y.; Peckham, T.J.; Kulkarni, M.P.; Holdcroft, S. A Stable Hydroxide-Conducting Polymer. J. Am. Chem. Soc. 2012, 134, 10753–10756. [Google Scholar] [CrossRef] [PubMed]
- Henkensmeier, D.; Cho, H.; Brela, M.; Michalak, A.; Dyck, A.; Germer, W.; Duong, N.M.H.; Jang, J.H.; Kim, H.-J.; Woo, N.-S.; et al. Anion conducting polymers based on ether linked polybenzimidazole (PBI-OO). Int. J. Hydrog. Energy 2014, 39, 2842–2853. [Google Scholar] [CrossRef]
- Germer, W.; Leppin, J.; Kirchner, C.N.; Cho, H.; Kim, H.-J.; Henkensmeier, D.; Lee, K.-Y.; Brela, M.; Michalak, A.; Dyck, A. Phase separated methylated polybenzimidazole (O-PBI) based anion exchange membranes. Macromol. Mater. Eng. 2015, 300, 497–509. [Google Scholar] [CrossRef]
- Cho, H.; Hur, E.; Henkensmeier, D.; Jeong, G.; Cho, E.; Kim, H.J.; Jang, J.H.; Lee, K.Y.; Hjuler, H.A.; Li, Q.; et al. Meta-PBI/methylated PBI-OO blend membranes for acid doped HT PEMFC. Eur. Polym. J. 2014, 58, 135–143. [Google Scholar] [CrossRef]
- Lee, S.Y.; Kwon, Y.; Kim, B.H.; Chae, J.; Jang, J.H.; Henkensmeier, D.; Yoo, S.J.; Kim, J.Y.; Kim, H.J. Synthesis of high molecular weight sulfonated poly(arylene ether sulfone) copolymer without azeotropic reaction. Solid State Ion. 2015, 275, 92–96. [Google Scholar] [CrossRef]
- Yang, J.S.; Cleemann, L.N.; Steenberg, T.; Terkelsen, C.; Li, Q.F.; Jensen, J.O.; Hjuler, H.A.; Bjerrum, N.J.; He, R.H. High molecular weight polybenzimidazole membranes for high temperature PEMFC. Fuel Cells 2014, 14, 7–15. [Google Scholar] [CrossRef]
- Kerres, J.A.; Krieg, H.M. Poly(Vinylbenzylchloride) based anion-exchange blend membranes (AEBMs): Influence of PEG additive on conductivity and stability. Membranes 2017, 7, 32. [Google Scholar] [CrossRef]
- Cho, H.; Krieg, H.M.; Kerres, J.A. Performances of Anion-Exchange Blend Membranes on Vanadium Redox Flow Batteries. Membranes 2019, 9, 31. [Google Scholar] [CrossRef]
- Glipa, X.; Mula, B.; Jones, D.J.; Rozière, J. Comparison of the Conduction Properties of Phosphoric Acid Doped and Benzylsulfonate Grafted Polybenzimidazole. In Chemistry, Energy and the Environment; Sequeira, C.A.C., Moffat., J.B., Eds.; Royal Society of Chemistry: Cambridge, UK, 1998; pp. 249–256. [Google Scholar]
- Zhang, B.; Zhang, S.; Xing, D.; Han, R.; Yin, C.; Jian, X. Quaternized poly(phthalazinone ether ketone ketone) anion exchange membrane with low permeability of vanadium ions for vanadium redox flow battery application. J. Power Sources 2012, 217, 296–302. [Google Scholar] [CrossRef]
- Teng, X.; Zhao, Y.; Xi, J.; Wu, Z.; Qiu, X.; Chen, L. Nafion/organically modified silicate hybrids membrane for vanadium redox flow battery. J. Power Sources 2009, 189, 1240–1246. [Google Scholar] [CrossRef]
- Jang, J.K.; Kim, T.H.; Yoon, S.J.; Lee, J.Y.; Lee, J.C.; Hong, Y.T. Highly proton conductive, dense polybenzimidazole membranes with low permeability to vanadium and enhanced H2SO4 absorption capability for use in vanadium redox flow batteries. J. Mater. Chem. A 2016, 4, 14342–14355. [Google Scholar] [CrossRef]
- Cha, M.S.; Jeong, H.Y.; Shin, H.Y.; Hong, S.H.; Kim, T.H.; Oh, S.G.; Lee, J.Y.; Hong, Y.T. Crosslinked anion exchange membranes with primary diamine-based crosslinkers for vanadium redox flow battery application. J. Power Sources 2017, 363, 78–86. [Google Scholar] [CrossRef]
- Liu, S.; Wang, L.; Li, D.; Liu, B.; Wang, J.; Song, Y. Novel amphoteric ion exchange membranes by blending sulfonated poly(ether ether ketone)/quaternized poly(ether imide) for vanadium redox flow battery applications. J. Mater. Chem. A 2015, 3, 17590–17597. [Google Scholar] [CrossRef]
- Sun, C.; Chen, J.; Zhang, H.; Han, X.; Luo, Q. Investigations on transfer of water and vanadium ions across Nafion membrane in an operating vanadium redox flow battery. J. Power Sources 2010, 195, 890–897. [Google Scholar] [CrossRef]
- Gandomi, Y.A.; Aaron, D.S.; Mench, M.M. Coupled Membrane Transport Parameters for Ionic Species in All-Vanadium Redox Flow Batteries. Electrochim. Acta 2016, 218, 174–190. [Google Scholar] [CrossRef]
- Choi, C.; Kim, S.; Kim, R.; Choi, Y.; Kim, S.; Jung, H.Y.; Yang, J.H.; Kim, H.T. A review of vanadium electrolytes for vanadium redox flow batteries. Renew. Sust. Energ. Rev. 2017, 69, 263–274. [Google Scholar] [CrossRef]
- Cunha, Á.; Martins, J.; Rodrigues, N.; Brito, F.P. Vanadium redox flow batteries: A technology review. Int. J. Energy Res. 2015, 39, 889–918. [Google Scholar] [CrossRef]








| Membranes | M-PPFSt-MTZ/ F6-PBI (by Weight) | IEC (mmol/g) | Conductivity (mS/cm) | Water Uptake (%) | Dimensional Stability (%) | ||
|---|---|---|---|---|---|---|---|
| Length | Width | Thickness | |||||
| M-PPFSt-MTZ-Me 1- | 9/1 | - | - | - | - | - | - |
| M-PPFSt-MTZ-Me 2- | 8/2 | - | - | - | - | - | - |
| M-PPFSt-MTZ-Me 3 | 7/3 | 1.60 | 19.1 ± 1.64 | 12 ± 1.9 | 8 ± 0.6 | 5 ± 0.7 | 4 ± 1.2 |
| M-PPFSt-MTZ-Me 4 | 6/4 | 1.15 | 13.5 ± 0.68 | 10 ± 2.2 | 7 ± 0.7 | 7 ± 0.7 | 4 ± 1.2 |
| N 212 | n.a | 0.88 | 98.5 ± 4.95 | 13 ± 1.2 | 11 ± 0.6 | 8 ± 1.5 | 13 ± 2.2 |
© 2020 by the authors. Licensee MDPI, Basel, Switzerland. This article is an open access article distributed under the terms and conditions of the Creative Commons Attribution (CC BY) license (http://creativecommons.org/licenses/by/4.0/).
Share and Cite
Cho, H.; Atanasov, V.; Krieg, H.M.; Kerres, J.A. Novel Anion Exchange Membrane Based on Poly(Pentafluorostyrene) Substituted with Mercaptotetrazole Pendant Groups and Its Blend with Polybenzimidazole for Vanadium Redox Flow Battery Applications. Polymers 2020, 12, 915. https://doi.org/10.3390/polym12040915
Cho H, Atanasov V, Krieg HM, Kerres JA. Novel Anion Exchange Membrane Based on Poly(Pentafluorostyrene) Substituted with Mercaptotetrazole Pendant Groups and Its Blend with Polybenzimidazole for Vanadium Redox Flow Battery Applications. Polymers. 2020; 12(4):915. https://doi.org/10.3390/polym12040915
Chicago/Turabian StyleCho, Hyeongrae, Vladimir Atanasov, Henning M. Krieg, and Jochen A. Kerres. 2020. "Novel Anion Exchange Membrane Based on Poly(Pentafluorostyrene) Substituted with Mercaptotetrazole Pendant Groups and Its Blend with Polybenzimidazole for Vanadium Redox Flow Battery Applications" Polymers 12, no. 4: 915. https://doi.org/10.3390/polym12040915
APA StyleCho, H., Atanasov, V., Krieg, H. M., & Kerres, J. A. (2020). Novel Anion Exchange Membrane Based on Poly(Pentafluorostyrene) Substituted with Mercaptotetrazole Pendant Groups and Its Blend with Polybenzimidazole for Vanadium Redox Flow Battery Applications. Polymers, 12(4), 915. https://doi.org/10.3390/polym12040915

