Design of Ultra-Thin PEO/PDMAEMA Polymer Coatings for Tunable Protein Adsorption
Abstract
1. Introduction
2. Experimental Section
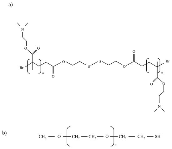
2.1. Materials
2.2. Methods
2.2.1. X-Ray Photoelectron Spectroscopy (XPS)
2.2.2. Quartz Crystal Microbalance with Dissipation Monitoring (QCM-D)
2.2.3. Atomic Force Microscopy (AFM)
3. Results and Discussion
3.1. PEO and PDMAEMA Homo-Coating Characterization
3.2. The Mixed PEO/PDMAEMA Coating Characterization: Effect of PEO/PDMAEMA Ratio and PEO Molar Mass
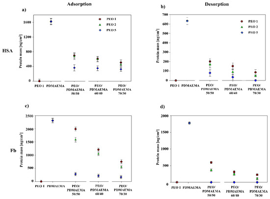
3.3. Protein Adsorption on the Homo- and Mixed PEO/PDMAEMA Coatings
4. Conclusions
Supplementary Materials
Funding
Acknowledgments
Conflicts of Interest
References
- Nakanishi, K.; Sakiyama, T.; Imamura, K. On the adsorption of proteins on solid surfaces, a common but very complicated phenomenon. J. Biosci. Bioeng. 2001, 91, 233–244. [Google Scholar] [CrossRef]
 - Ombelli, M.; Costello, L.; Postle, C.; Anantharaman, V.; Meng, Q.C.; Composto, R.J.; Eckmann, D.M. Competitive protein adsorption on polysaccharide and hyaluronate modified surfaces. Biofouling 2011, 27, 505–518. [Google Scholar] [CrossRef] [PubMed]
 - Webb, K.; Hlady, V.; Tresco, P.A. Relationships among cell attachment, spreading, cytoskeletal organization, and migration rate for anchorage-dependent cells on model surfaces. J. Biomed. Mater. Res. 2000, 49, 362–368. [Google Scholar] [CrossRef]
 - Alberts, B.; Johnson, A.; Lewis, J.; Raff, M.; Roberts, K.; Walter, P. Molecular Biology of the Cell, 4th ed.; Garland Science: New York, NY, USA, 2002. [Google Scholar]
 - Hlady, V.; Buijs, J. Protein adsorption on solid surfaces. Curr. Opin. Biotechnol. 1996, 7, 72–77. [Google Scholar] [CrossRef]
 - Fang, F.; Szleifer, I. Kinetics and thermodynamics of protein adsorption: A generalized molecular theoretical approach. Biophys. J. 2001, 80, 2568–2589. [Google Scholar] [CrossRef]
 - Wei, Q.; Becherer, T.; Angioletti-Uberti, S.; Dzubiella, J.; Wischke, C.; Neffe, A.T.; Lendlein, A.; Ballauff, M.; Haag, R. Protein interactions with polymer coatings and biomaterials. Angew. Chem. Int. Ed. 2014, 53, 8004–8031. [Google Scholar] [CrossRef]
 - Wei, Q.; Haag, R. Universal polymer coatings and their representative biomedical applications. Mater. Horiz. 2015, 2, 567–577. [Google Scholar] [CrossRef]
 - Kroning, A.; Furchner, A.; Aulich, D.; Bittrich, E.; Rauch, S.; Uhlmann, P.; Eichhorn, K.J.; Seeber, M.; Luzinov, I.; Kilbey, S.M.; et al. In Situ Infrared Ellipsometry for Protein Adsorption Studies on Ultrathin Smart Polymer Brushes in Aqueous Environment. ACS Appl. Mater. Interfaces 2015, 7, 12430–12439. [Google Scholar] [CrossRef]
 - Bittrich, E.; Rodenhausen, K.B.; Eichhorn, K.J.; Hofmann, T.; Schubert, M.; Stamm, M.; Uhlmann, P. Protein adsorption on and swelling of polyelectrolyte brushes: A simultaneous ellipsometry-quartz crystal microbalance study. Biointerphases 2010, 5, 159–167. [Google Scholar] [CrossRef]
 - Bittrich, E.; Burkert, S.; Müller, M.; Eichhorn, K.J.; Stamm, M.; Uhlmann, P. Temperature-sensitive swelling of poly (N-isopropylacrylamide) brushes with low molecular weight and grafting density. Langmuir 2012, 28, 3439–3448. [Google Scholar] [CrossRef] [PubMed]
 - Zhou, J.; Wang, G.; Hu, J.; Lu, X.; Li, J. Temperature, ionic strength and pH induced electrochemical switching of smart polymer interfaces. Chem. Commun. 2006, 4820–4822. [Google Scholar] [CrossRef] [PubMed]
 - Zhang, J.; Kou, R.; Liu, G. Effect of salt concentration on the pH responses of strong and weak polyelectrolyte brushes. Langmuir 2017, 33, 6838–6845. [Google Scholar] [CrossRef] [PubMed]
 - Wang, W.; Li, L.; Henzler, K.; Lu, Y.; Wang, J.; Han, H.; Tian, Y.; Wang, Y.; Zhou, Z.; Lotze, G.; et al. Protein immobilization onto cationic spherical polyelectrolyte brushes studied by small angle X-ray scattering. Biomacromolecules 2017, 18, 1574–1581. [Google Scholar] [CrossRef] [PubMed]
 - Chen, W.; Menzel, M.; Watanabe, T.; Prucker, O.; Rühe, J.; Ober, C.K. Reduced lateral confinement and its effect on stability in patterned strong polyelectrolyte brushes. Langmuir 2017, 33, 3296–3303. [Google Scholar] [CrossRef]
 - Mu, B.; Liu, P.; Li, X.; Du, P.; Dong, Y.; Wang, Y. Fabrication of flocculation-resistant pH/ionic strength/temperature multiresponsive hollow microspheres and their controlled release. Mol Pharm 2012, 9, 91–101. [Google Scholar] [CrossRef]
 - Moya, S.; Azzaroni, O.; Farhan, T.; Osborne, V.L.; Huck, W.T. Locking and unlocking of polyelectrolyte brushes: Toward the fabrication of chemically controlled nanoactuators. Angew. Chem. Int. Ed. 2005, 44, 4578–4581. [Google Scholar] [CrossRef]
 - Schlick, T. Innovation in Biomolecular Modelling and Simulations; Royal Society of Chemistry: Cambridge, UK, 2012. [Google Scholar]
 - Su, Y.; Sun, M.; Wang, L.; Jiang, Z. Ion-pair formation and ion-specific flux of a weak polyelectrolyte membrane. J. Phys. Chem. B 2009, 113, 9454–9460. [Google Scholar] [CrossRef]
 - Li, L.; Nakaji-Hirabayashi, T.; Kitano, H.; Ohno, K.; Saruwatari, Y.; Matsuoka, K. A novel approach for UV-patterning with binary polymer brushes. Colloids Surf. B Biointerfaces 2017, 161, 42–50. [Google Scholar] [CrossRef]
 - Psarra, E.; König, U.; Ueda, Y.; Bellmann, C.; Janke, A.; Bittrich, E.; Eichhorn, K.J.; Uhlmann, P. Nanostructured biointerfaces: Nanoarchitectonics of thermoresponsive polymer brushes impact protein adsorption and cell adhesion. ACS Appl. Mater. Interfaces 2015, 7, 12516–12529. [Google Scholar] [CrossRef]
 - Xu, F.; Li, H.; Li, J.; Teo, Y.; Zhu, C.; Kang, E.; Neoh, K.G. Spatially well-defined binary brushes of poly (ethylene glycol)s for micropatterning of active proteins on anti-fouling surfaces. Biosens. Bioelectron 2008, 24, 779–786. [Google Scholar] [CrossRef] [PubMed]
 - Uhlmann, P.; Houbenov, N.; Brenner, N.; Grundke, K.; Burkert, S.; Stamm, M. In-situ investigation of the adsorption of globular model proteins on stimuli-responsive binary polyelectrolyte brushes. Langmuir 2007, 23, 57–64. [Google Scholar] [CrossRef] [PubMed]
 - Kusumo, A.; Bombalski, L.; Lin, Q.; Matyjaszewski, K.; Schneider, J.W.; Tilton, R.D. High capacity, charge-selective protein uptake by polyelectrolyte brushes. Langmuir 2007, 23, 4448–4454. [Google Scholar] [CrossRef] [PubMed]
 - Lei, H.; Wang, M.; Tang, Z.; Luan, Y.; Liu, W.; Song, B.; Chen, H. Control of lysozyme adsorption by pH on surfaces modified with polyampholyte brushes. Langmuir 2014, 30, 501–508. [Google Scholar] [CrossRef]
 - Wang, X.; Berger, R.; Ramos, J.I.; Wang, T.; Koyonov, K.; Liu, G.; Butt, H.J.; Wu, S. Nanopatterns of polymer brushes for understanding protein adsorption on the nanoscale. RSC Adv. 2014, 4, 45059–45064. [Google Scholar] [CrossRef]
 - vander Straeten, A.; Bratek-Skicki, A.; Jonas, A.M.; Fustin, C.A.; Dupont-Gillain, C. Integrating Proteins in Layer-by-Layer Assemblies Indepenedently of Their Electrical Charge. ACS Nano 2018, 12, 8372–8381. [Google Scholar] [CrossRef]
 - vander Straeten, A.; Bratek-Skicki, A.; Germain, L.; D‘Haese, C.; Eloy, P.; Fustin, C.A.; Dupont-Gillain, C. Protein-Polyelectrolyte Compleaxes to Improve the Biological Acticity of Proteins in Layer-by-Layer Assemblies. Nanoscale 2017, 9, 17186–17192. [Google Scholar] [CrossRef]
 - Bratek-Skicki, A.; Crisaudo, V.; Savocco, J.; Nootens, S.; Morsomme, P.; Delcorte, A.; Dupont-Gillian, C. Mixed Polymer Brushes for the Selective Capture and Release of Proteins. Biomacromolecules 2019, 20, 778–789. [Google Scholar] [CrossRef]
 - Bratek-Skicki, A.; Eloy, P.; Morga, M.; Dupont-Gillain, C. Reversible protein adsorption on mixed PEO/PAA polymer brushes-role of ionic strength and PEO content. Langmuir 2018, 34, 3037–3048. [Google Scholar] [CrossRef]
 - Välimäki, S.; Khakalo, A.; Ora, A.; Johansson, L.S.; Rojas, O.J.; Kostiainen, M.A. Effect of PEG-PDMAEMA block copolymer architecture on polyelectrolyte complex formation with heparin. Biomacromolecules 2016, 17, 2891–2900. [Google Scholar] [CrossRef]
 - Stamm, M. Polymer Surfaces and Interfaces. Charact. Modif. Appl. Springer: Berl. Ger. 2008. [Google Scholar]
 - Nicholson, J.P.; Wolmarans, M.R.; Park, G.R. The role of albumin in critical illness. Br. J. Anaesth 2000, 85, 599–610. [Google Scholar] [CrossRef] [PubMed]
 - Peters, T.; Stewart, A.J. Albumin research in the 21st century. Biochim. Biophys. Acta 2013, 1830, 5351–5353. [Google Scholar] [CrossRef] [PubMed]
 - Adamczyk, Z.; Bratek-Skicki, A.; Żeliszewska, P.; Wasilewska, M. Mechanisms of fibrinogen adsorption at solid substrates. Curr. Top. Med. Chem. 2014, 14, 702–729. [Google Scholar] [CrossRef]
 - Bratek-Skicki, A.; Zeliszewska, P.; Adamczyk, Z. Human fibrinogen adsorption on latex particles at pH 7.4 studied by electrophoretic mobility and AFM measurements. Curr. Top Med. Chem. 2014, 14, 640–648. [Google Scholar] [CrossRef]
 - Bratek-Skicki, A.; Zeliszewska, P.; Adamczyk, Ż. Tuning conformations of fibrinogen monolayers on latex particles by pH of adsorption. Colloids Surf. B Biointerfaces 2013, 103, 482–488. [Google Scholar] [CrossRef]
 - Bratek-Skicki, P.; Zeliszewska, J.M. Fibrinogen: A journey into biotechnology. Soft Matter 2016, 12, 8393–8653. [Google Scholar] [CrossRef]
 - Blake, C.C.F.; Grace, D.E.P.; Johnson, L.N.; Perkins, S.J.; Phillips, D.C.; Cassels, R.; Dobson, C.M.; Poulsen, F.M.; Williams, R.J.P. Physical and Chemical Properties of Lysozyme. In Ciba Foundation Symposium 60—Molecular Interactions and Activity in Proteins; Porter, R., Fitzsimons, D.W., Eds.; Excerpta Medica: Amsterdam, The Netherlands, 1978; pp. 137–185. [Google Scholar]
 - Li, S.; Mulloor, J.J.; Wang, L.; Ji, Y.; Mulloor, C.J.; Micic, M.; Orbulescu, J.; Leblanc, R.M. Strong and selective adsorption of lysozyme on graphene oxide. ACS Appl Mater Interfaces 2014, 6, 5704–5712. [Google Scholar] [CrossRef]
 - Regnier, F.E.; Cho, W. Affinity Targeting Schemes for Biomarker Research. In Proteomic and Metabolomic Approaches to Biomarker Discovery; Veenstra, T.D., Ed.; Academic Press: Boston, MA, USA, 2013. [Google Scholar]
 - Immunohistology. Monoclonal Antibodies: Principle and Practice (Third Edition); Goding, J.W., Ed.; Academic Press: London, UK, 1996; pp. 400–423. [Google Scholar]
 - Brandrup, J.; Immergut, E.H.; Grulke, E.A.; Abe, A.; Bloch, D.R. Polymer Handbook; Wiley: New York, NY, USA, 1989. [Google Scholar]
 







| Sample Name | VPEO | VPDMAEMA | Δm (ng/cm2) | d (nm) | 
|---|---|---|---|---|
| Au-PDMAEMA | - | 1.0 | 505 +/− 96 | 3.8 | 
| Au-PEO1 | 1.0 | - | 547 +/− 56 * | 4.8 * | 
| Au-PEO2 | 1.0 | - | 675 +/− 63 * | 6.0 * | 
| Au-PEO5 | 1.0 | - | 1195 +/− 50 * | 10.2 * | 
| Au-PEO1/PDMAEMA 50/50 | 0.61 | 0.39 | 480 +/− 104 | 3.9 | 
| Au-PEO2/PDMAEMA 50/50 | 0.61 | 0.39 | 609 +/− 85 | 5.0 | 
| Au-PEO5/PDMAEMA 50/50 | 0.83 | 0.17 | 910 +/− 94 | 7.4 | 
| Au-PEO1/PDMAEMA 60/40 | 0.52 | 0.48 | 508 +/− 63 | 4.1 | 
| Au-PEO2/PDMAEMA 60/40 | 0.68 | 0.32 | 711 +/− 85 | 5.8 | 
| Au-PEO5/PDMAEMA 60/40 | 0.83 | 0.17 | 922 +/− 63 | 7.5 | 
| Au-PEO1/PDMAEMA 70/30 | 0.62 | 0.38 | 511 +/− 102 | 4.2 | 
| Au-PEO2/PDMAEMA 70/30 | 0.57 | 0.43 | 762 +/− 93 | 6.2 | 
| Au-PEO5/PDMAEMA 70/30 | 0.88 | 0.12 | 1055 +/− 65 | 8.6 | 
© 2020 by the author. Licensee MDPI, Basel, Switzerland. This article is an open access article distributed under the terms and conditions of the Creative Commons Attribution (CC BY) license (http://creativecommons.org/licenses/by/4.0/).
Share and Cite
Bratek-Skicki, A. Design of Ultra-Thin PEO/PDMAEMA Polymer Coatings for Tunable Protein Adsorption. Polymers 2020, 12, 660. https://doi.org/10.3390/polym12030660
Bratek-Skicki A. Design of Ultra-Thin PEO/PDMAEMA Polymer Coatings for Tunable Protein Adsorption. Polymers. 2020; 12(3):660. https://doi.org/10.3390/polym12030660
Chicago/Turabian StyleBratek-Skicki, Anna. 2020. "Design of Ultra-Thin PEO/PDMAEMA Polymer Coatings for Tunable Protein Adsorption" Polymers 12, no. 3: 660. https://doi.org/10.3390/polym12030660
APA StyleBratek-Skicki, A. (2020). Design of Ultra-Thin PEO/PDMAEMA Polymer Coatings for Tunable Protein Adsorption. Polymers, 12(3), 660. https://doi.org/10.3390/polym12030660
        
