Study of POSS on the Properties of Novel Inorganic Dental Composite Resin
Abstract
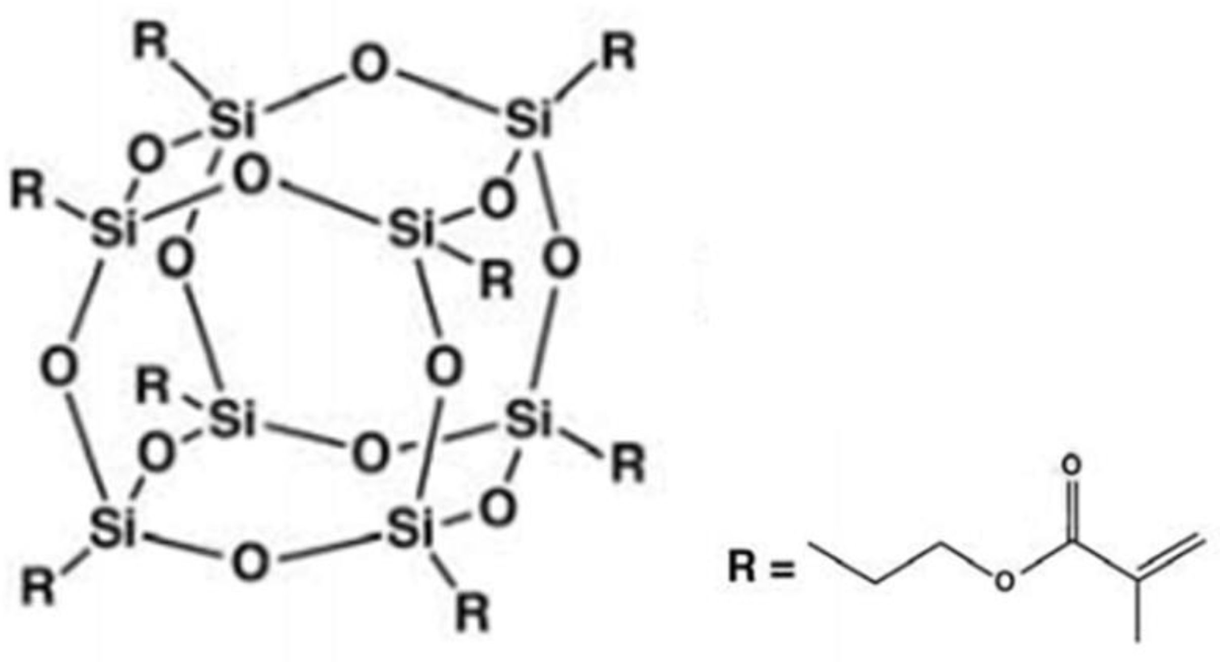
1. Introduction
2. Experimental
2.1. Synthesis of Materials
2.2. Characterization
2.2.1. FTIR Characterization
2.2.2. Morphology Characterization
2.2.3. Shrinkage
2.2.4. Mechanical Properties Tests
3. Results and Discussion
3.1. FTIR Analysis
3.2. Low Volumetric Shrinkage
3.3. Mechanical Properties
4. Conclusions
Author Contributions
Funding
Conflicts of Interest
References
- Soares, L.M.; Razaghy, M.; Magne, P. Optimization of large MOD restorations: Composite resin inlays vs. short fiber-reinforced direct restorations. Dent. Mater. 2018, 34, 587–597. [Google Scholar] [CrossRef]
- de Castro Kruly, P.; Giannini, M.; Pascotto, R.C.; Tokubo, L.M.; Suga, U.S.G.; Marques, A.D.C.R.; Terada, R.S.S. Meta-analysis of the clinical behavior of posterior direct resin restorations: Low polymerization shrinkage resin in comparison to methacrylate composite resin. PLoS ONE 2018, 13, e0191942. [Google Scholar]
- Taha, N.; Maghaireh, G.; Ghannam, A.; Palamara, J. Effect of bulk-fill base material on fracture strength of root-filled teeth restored with laminate resin composite restorations. J. Dent. 2017, 63, 60–64. [Google Scholar] [CrossRef]
- Yudovin-Farber, I.; Beyth, N.; Nyska, A.; Weiss, E.I.; Golenser, J.; Domb, A.J. Surface characterization and biocompatibility of restorative resin containing nanoparticles. Biomacromolecules 2008, 9, 3044–3055. [Google Scholar] [CrossRef] [PubMed]
- Liu, Y.; Tan, Y.; Lei, T.; Xiang, Q.; Han, Y.; Huang, B. Effect of porous glass-ceramic fillers on mechanical properties of light-cured dental resin composites. Dent. Mater. 2009, 25, 709–715. [Google Scholar] [CrossRef] [PubMed]
- Nikolaidis, A.K.; Koulaouzidou, E.A.; Gogos, C.; Achilias, D.S. Synthesis and Characterization of Dental Nanocomposite Resins Filled with Different Clay Nanoparticles. Polymers. 2019, 11, 730. [Google Scholar] [CrossRef]
- Blanco, I. Polyhedral oligomeric silsesquioxanes (POSS) s in medicine. J. Nanomed. 2018, 1, 1002. [Google Scholar] [CrossRef]
- Blanco, I. The rediscovery of POSS: A molecule rather than a filler. Polymers 2018, 10, 904. [Google Scholar] [CrossRef] [PubMed]
- Mohamed, M.; Kuo, S. Functional polyimide/polyhedral oligomeric silsesquioxane nanocomposites. Polymers 2019, 11, 26. [Google Scholar] [CrossRef] [PubMed]
- Zaharescu, T.; Blanco, I.; Bottino, F. Antioxidant activity assisted by modified particle surface in POSS/EPDM hybrids. Appl. Surf. Sci. 2019, 509, 144702. [Google Scholar] [CrossRef]
- Blanco, I.; Bottino, F.; Abate, L. Influence of n-alkyl substituents on the thermal behaviour of Polyhedral Oligomeric Silsesquioxanes (POSSs) with different cage’s periphery. Thermochim. Acta. 2016, 623, 50–57. [Google Scholar] [CrossRef]
- Zhang, W.; Camino, G.; Yang, R. Polymer/polyhedral oligomeric silsesquioxane (POSS) nanocomposites: An overview of fire retardance. Prog. Polym. Sci. 2017, 67, 77–125. [Google Scholar] [CrossRef]
- Gu, J.; Liang, C.; Dang, J.; Dong, W.; Zhang, Q. Ideal dielectric thermally conductive bismaleimide nanocomposites filled with polyhedral oligomeric silsesquioxane functionalized nanosized boron nitride. RSC Adv. 2016, 6, 35809–35814. [Google Scholar] [CrossRef]
- Huang, M.; Yue, K.; Huang, J.; Liu, C.; Zhou, Z.; Wang, J.; Wu, K.; Shan, W.; Shi, A.-C.; Cheng, S.Z.D. Highly Asymmetric Phase Behaviors of Polyhedral Oligomeric Silsesquioxane-Based Multiheaded Giant Surfactants. ACS Nano 2018, 12, 1868–1877. [Google Scholar] [CrossRef]
- Ren, Z.; Nie, J.; Shao, J.; Lai, Q.; Wang, L.; Chen, J.; Chen, X.; Wang, Z.L. Fully Elastic and Metal-Free Tactile Sensors for Detecting both Normal and Tangential Forces Based on Triboelectric Nanogenerators. Adv. Funct. Mater. 2018, 28, 1802989. [Google Scholar] [CrossRef]
- Zhang, R.; Gao, B.; Du, W.; Zhang, J.; Cui, H.; Liu, L.; Ma, Q.; Wang, C.; Li, F. Enhanced mechanical properties of multiscale carbon fiber/epoxy composites by fiber surface treatment with graphene oxide/polyhedral oligomeric silsesquioxane. Compos. Part A Appl. Sci. Manuf. 2016, 84, 455–463. [Google Scholar] [CrossRef]
- Zhou, B.; Jiang, J.; Zhang, F.; Zhang, H. Crosslinked poly (ethylene oxide)-based membrane electrolyte consisting of polyhedral oligomeric silsesquioxane nanocages for all-solid-state lithium ion batteries. J. Power Sources 2020, 449, 227541. [Google Scholar] [CrossRef]
- Yang, X.; Tang, L.; Guo, Y.; Liang, C.; Zhang, Q.; Kou, K.; Gu, J. Improvement of thermal conductivities for PPS dielectric nanocomposites via incorporating NH2-POSS functionalized nBN fillers. Compos. Part A Appl. Sci. Manuf. 2017, 101, 237–242. [Google Scholar] [CrossRef]
- Deng, Y.-Y.; Han, D.; Zhou, D.-L.; Liu, Z.-Q.; Zhang, Q.; Li, Y.; Fu, Q. Monodispersed hybrid microparticles based on polyhedral oligomeric silsesquioxane with good UV resistance and high thermal stability: From organic to inorganic. Polymer 2019, 178, 121609. [Google Scholar] [CrossRef]
- Carosio, F.; Alongi, J. Influence of layer by layer coatings containing octapropylammonium polyhedral oligomeric silsesquioxane and ammonium polyphosphate on the thermal stability and flammability of acrylic fabrics. J. Anal. Appl. Pyrolysis 2016, 119, 114–123. [Google Scholar] [CrossRef]
- Fina, A.; Tabuani, D.; Carniato, F.; Frache, A.; Boccaleri, E.; Camino, G. Polyhedral oligomeric silsesquioxanes (POSS) thermal degradation. Thermochim. Acta 2006, 440, 36–42. [Google Scholar] [CrossRef]
- Liu, Y.R.; Huang, Y.D.; Liu, L. Thermal stability of POSS/methylsilicone nanocomposites. Compos. Sci. Technol. 2007, 67, 2864–2876. [Google Scholar] [CrossRef]
- Liu, Y.Z.; Sun, Y.; Zeng, F.L.; Zhang, Q.H.; Geng, L. Characterization and analysis on atomic oxygen resistance of POSS/PVDF composites. Appl. Surf. Sci. 2014, 320, 908–913. [Google Scholar] [CrossRef]
- Siang Soh, M.; Sellinger, A.; Uj Yap, A. Dental nanocomposites. Curr. Nanosci. 2006, 2, 373–381. [Google Scholar] [CrossRef]
- Canellas, T.A.T.; de Almeida Neves, A.; dos Santos, I.K.B.; de Rezende, A.R.P.; Fellows, C.E.; da Silva, E.M. Characterization of low-shrinkage dental composites containing methacrylethyl-polyhedral oligomeric silsesquioxane (ME-POSS). J. Mech. Behav. Biomed. Mater. 2019, 90, 566–574. [Google Scholar] [CrossRef] [PubMed]
- Eick, J.D.; Smith, R.E.; Pinzino, C.S. Stability of silorane dental monomers in aqueous systems. J. Dent. 2006, 34, 405–410. [Google Scholar] [CrossRef] [PubMed]
- Meereis, C.T.; Leal, F.B.; Ogliari, F.A. Stability of initiation systems in acidic photopolymerizable dental material. Dent. Mater. 2016, 32, 889–898. [Google Scholar] [CrossRef]
- Kumar, S.R.; Bhat, I.; Patnaik, A. Novel dental composite material reinforced with silane functionalized microsized gypsum filler particles. Polym. Compos. 2017, 38, 404–415. [Google Scholar] [CrossRef]
- Fong, H.; Dickens, S.H.; Flaim, G.M. Evaluation of dental restorative composites containing polyhedral oligomeric silsesquioxane methacrylate. Dent. Mater. 2005, 21, 520–529. [Google Scholar] [CrossRef]
- Wu, X.; Sun, Y.; Xie, W.; Liu, Y.; Song, X. Development of novel dental nanocomposites reinforced with polyhedral oligomeric silsesquioxane (POSS). Dent. Mater. 2010, 26, 456–462. [Google Scholar] [CrossRef]
- Liu, Y.; Wu, X.; Sun, Y.; Xie, W. POSS Dental Nanocomposite Resin: Synthesis, Shrinkage, Double Bond Conversion, Hardness, and Resistance Properties. Polymers 2018, 10, 369. [Google Scholar] [CrossRef] [PubMed]
- Blanco, I.; Bottino, F.A.; Cicala, G.; Cozzo, G.; Latteri, A.; Recca, A. Synthesis and thermal characterization of new dumbbell shaped POSS/PS nanocomposites: Influence of the symmetrical structure of the nanoparticles on the dispersion/aggregation in the polymer matrix. Polym. Compos. 2015, 36, 1394–1400. [Google Scholar] [CrossRef]
- Chun, K.J.; Lee, J.Y. Comparative study of mechanical properties of dental restorative materials and dental hard tissues in compressive loads. J. Dent. Biomech. 2014, 5, 1758736014555246. [Google Scholar] [CrossRef]
- Wu, S. Chain structure, phase morphology, and toughness relationships in polymers and blends. Polym. Eng. Sci. 1990, 30, 753–761. [Google Scholar] [CrossRef]
- Miller, P.; Kramer, E.J. Environmental shear deformation zones and crazes in crosslinked polystyrene and poly (para-methylstyrene). J. Mater. Sci. 1990, 25, 1751–1761. [Google Scholar] [CrossRef]
- Berger, E.J.K.L. Fundamental processes of craze growth and fracture. Crazing Polym. 1990, 2, 1–68. [Google Scholar]
- Douce, J.; Boilot, J.P.; Biteau, J.; Scodellaro, L.; Jimenez, A. Effect of filler size and surface condition of nano-sized silica particles in polysiloxane coatings. Thin Solid Film. 2004, 466, 114–122. [Google Scholar] [CrossRef]







| Composite Code | Dental Resin Matrix | POSS | |
|---|---|---|---|
| Organic Resin Matrix Wt% | Nano SiO2 | ||
| P00 | 40 | 60 | 0 |
| P02 | 38 | 60 | 2 |
| P05 | 35 | 60 | 5 |
| P10 | 30 | 60 | 10 |
| Organic Resin Matrix, Wt% | |||
|---|---|---|---|
| Bis-GMA | TEGDMA | CQ | DMAEMA |
| 49.5 | 49.5 | 0.5 | 0.5 |
© 2020 by the authors. Licensee MDPI, Basel, Switzerland. This article is an open access article distributed under the terms and conditions of the Creative Commons Attribution (CC BY) license (http://creativecommons.org/licenses/by/4.0/).
Share and Cite
Wang, J.; Liu, Y.; Yu, J.; Sun, Y.; Xie, W. Study of POSS on the Properties of Novel Inorganic Dental Composite Resin. Polymers 2020, 12, 478. https://doi.org/10.3390/polym12020478
Wang J, Liu Y, Yu J, Sun Y, Xie W. Study of POSS on the Properties of Novel Inorganic Dental Composite Resin. Polymers. 2020; 12(2):478. https://doi.org/10.3390/polym12020478
Chicago/Turabian StyleWang, Jiahui, Yizhi Liu, Jianxin Yu, Yi Sun, and Weili Xie. 2020. "Study of POSS on the Properties of Novel Inorganic Dental Composite Resin" Polymers 12, no. 2: 478. https://doi.org/10.3390/polym12020478
APA StyleWang, J., Liu, Y., Yu, J., Sun, Y., & Xie, W. (2020). Study of POSS on the Properties of Novel Inorganic Dental Composite Resin. Polymers, 12(2), 478. https://doi.org/10.3390/polym12020478

