Thermal and Electromagnetic Properties of Polymer Holey Structures Produced by Additive Manufacturing
Abstract
1. Introduction
2. Heat Conductivity of Holey Structures
2.1. Calculation of the Thermal Conductivity
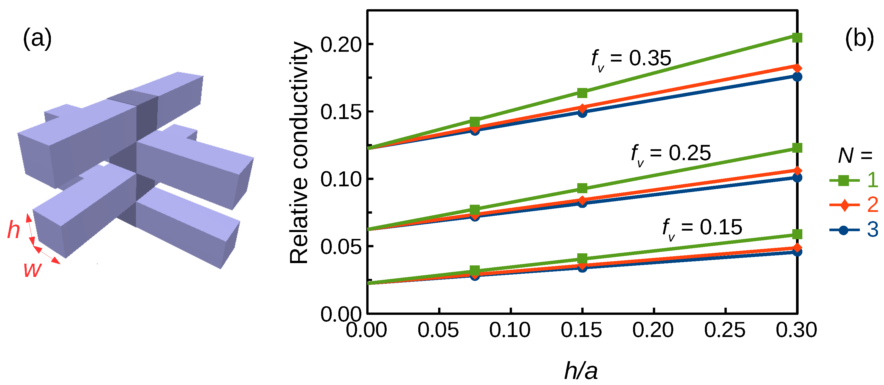
2.2. Mesh Structures
2.3. Perforated Plates
2.4. Closed-Brick Structure
2.5. Inverse-Pyramid Structure
2.6. Pin Convective Heat Sink
2.7. Foam-Like Structure
3. Microwave Shielding Properties
4. Conclusions
Author Contributions
Funding
Conflicts of Interest
Appendix A. 2D Homogenization for the Thermal Conductivity
Appendix B. Thermal Conductivity of the Woodpile Structure

References
- Manevitch, L.I.; Andrianov, I.V.; Oshmyan, V.G. Mechanics of Periodically Heterogeneous Structures; Springer: Berlin, Germany, 2002; pp. 1–266. [Google Scholar]
- Amireddy, K.; Balasubramaniam, K.; Rajagopal, P. Deep subwavelength ultrasonic imaging using optimized holey structured metamaterials. Sci. Rep. 2017, 7, 7777. [Google Scholar] [CrossRef] [PubMed]
- Bell, J.S.; Summers, I.R.; Murray, A.R.J.; Hendry, E.; Sambles, J.; Hibbins, A.P. Low acoustic transmittance through a holey structure. Phys. Rev. B 2012, 85, 214305. [Google Scholar] [CrossRef]
- Vinoy, K.J.; Jha, R.M. Radar Absorbing Materials: From Theory to Design and Characterization; Kluwer Academic Press: Dordrecht, The Netherlands, 2011; pp. 1–208. [Google Scholar]
- Ram, R.; Rahaman, M.; Khastgir, D. Electromagnetic interference (EMI) shielding effectiveness (SE) of polymer-carbon composites. In Carbon-Containing Polymer Composites; Rahaman, M., Khastgir, D., Aldalbahi, A.K., Eds.; Springer: Singapore, 2019; pp. 339–368. [Google Scholar]
- Refer e.g., to “Electromagnetic compatibility Directive 2014/30/EU of the European Union”. Available online: https://eur-lex.europa.eu/legal-content/EN/TXT/?uri=CELEX:32014L0030 (accessed on 1 October 2020).
- Shukla, V. Review of electromagnetic interference shielding materials fabricated by iron ingredients. Nanoscale Adv. 2019, 1, 1640–1671. [Google Scholar] [CrossRef]
- Thomassin, J.M.; Jérôme, C.; Pardoen, T.; Bailly, C.; Huynen, I.; Detrembleur, C. Polymer/carbon based composites as electromagnetic interference (EMI) shielding materials. Mater. Sci. Eng. Rep. 2013, 74, 211–232. [Google Scholar] [CrossRef]
- Kuzhir, P.; Paddubskaya, A.; Bychanok, D.; Liubimau, A.; Ortona, A.; Fierro, V.; Celzard, A. 3D-printed, carbon-based, lossy photonic crystals: Is high electrical conductivity the must? Carbon 2021, 171, 484–492. [Google Scholar] [CrossRef]
- Zhang, H.B.; Yan, Q.; Zheng, W.G.; He, Z.; Yu, Z.Z. Tough graphene–polymer microcellular foams for electromagnetic interference shielding. ACS Appl. Mater. Interfaces 2011, 3, 918–924. [Google Scholar] [CrossRef]
- Spinelli, G.; Lamberti, P.; Tucci, V.; Kotsilkova, R.; Ivanov, E.; Menseidov, D.; Naddeo, C.; Romano, V.; Guadagno, L.; Adami, R.; et al. Nanocarbon/Poly(Lactic) Acid for 3D printing: Effect of fillers content on electromagnetic and thermal properties. Materials 2019, 12, 2369. [Google Scholar] [CrossRef]
- Kotsilkova, R.; Petrova-Doycheva, I.; Menseidov, D.; Ivanov, E.; Paddubskaya, A.; Kuzhir, P. Exploring thermal annealing and graphene-carbon nanotube additives to enhance crystallinity, thermal, electrical and tensile properties of aged poly (lactic) acid-based filament for 3D printing. Compos. Sci. Technol. 2019, 181, 107712. [Google Scholar] [CrossRef]
- Farahani, R.D.; Dubé, M. Printing polymer nanocomposites and composites in three dimensions. Adv. Eng. Mater. 2018, 20, 1700539. [Google Scholar] [CrossRef]
- Ivanov, E.; Kotsilkova, R.; Xia, H.; Chen, Y.; Donato, R.K.; Donato, K.; Godoy, A.P.; Di Maio, R.; Silvestre, C.; Cimmino, S.; et al. PLA/graphene/MWCNT composites with improved electrical and thermal properties suitable for FDM 3D printing applications. Appl. Sci. 2019, 9, 1209. [Google Scholar] [CrossRef]
- Daminabo, S.C.; Goel, S.; Grammatikos, S.A.; Nezhad, H.Y.; Thakur, V.K. Fused deposition modeling-based additive manufacturing (3D printing): Techniques for polymer material systems. Mater. Today Chem. 2020, 16, 100248. [Google Scholar] [CrossRef]
- Wanasinghe, D.; Aslani, F.; Ma, G.; Habibi, D. Review of polymer composites with diverse nanofillers for electromagnetic interference shielding. Nanomaterials 2020, 10, 541. [Google Scholar] [CrossRef] [PubMed]
- Cruz Sanchez, F.A.; Boudaoud, H.; Hoppe, S.; Camargo, M. Polymer recycling in an open-source additive manufacturing context: Mechanical issues. Addit. Manuf. 2017, 17, 87–105. [Google Scholar] [CrossRef]
- Thiounn, T.; Smith, R.C. Advances and approaches for chemical recycling of plastic waste. J. Polym. Sci. 2020, 58, 1347–1364. [Google Scholar] [CrossRef]
- Lanzotti, A.; Martorelli, M.; Maietta, S.; Gerbino, S.; Penta, F.; Gloria, A. A comparison between mechanical properties of specimens 3D printed with virgin and recycled PLA. Procedia CIRP 2019, 79, 143–146. [Google Scholar] [CrossRef]
- Vidakis, N.; Petousis, M.; Maniadi, A.; Koudoumas, E.; Vairis, A.; Kechagias, J. Sustainable additive manufacturing: Mechanical response of acrylonitrile-butadiene-styrene over multiple recycling processe. Sustainability 2020, 12, 3568. [Google Scholar] [CrossRef]
- Jiang, M.; Jasiuk, I.; Ostoja-Starzewski, M. Apparent thermal conductivity of periodic two-dimensional composites. Comput. Mater. Sci. 2002, 25, 329–338. [Google Scholar] [CrossRef]
- Shi, Y.; Li, Y.; Wu, J. Bio-inspired tunable anisotropic thermal conductivities investigation of periodic lattice composite via external strains. AIP Adv. 2019, 9, 075316. [Google Scholar] [CrossRef]
- Jing, J.; Che, Y.; Shi, S.; Yang, L.; Lambin, P. Facile and scalable fabrication of highly thermal conductive polyethylene/graphene nanocomposites by combining solid-state shear milling and FDM 3D-printing aligning methods. Chem. Eng. J. 2020, 402, 126218. [Google Scholar] [CrossRef]
- Lee, C.Y.; Sayyar, S.; Molino, P.J.; Wallace, G.G. A robust 3D printed multilayer conductive graphene/polycaprolactone composite electrode. Mater. Chem. Front. 2020, 4, 1664–1670. [Google Scholar] [CrossRef]
- Bai, X.; Nakayama, A. An analytical and numerical estimation of the effective thermal conductivity of complex metal frame core structures. J. Heat Transf. 2019, 141, 024504. [Google Scholar] [CrossRef]
- Li, C.; Lei, H.; Zhang, Z.; Zhang, X.; Zhou, H.; Wang, P.; Fang, D. Architecture design of periodic truss-lattice cells for additive manufacturing. Addit. Manuf. 2020, 34, 101172. [Google Scholar]
- Dul’nev, G.N. Heat transfer through solid disperse systems. J. Eng. Phys. 1965, 9, 275–279. [Google Scholar] [CrossRef]
- Paek, J.W.; Kang, B.H.; Kim, S.Y.; Hyun, J.M. Effective thermal conductivity and permeability of aluminum foam materials. Int. J. Thermophys. 2000, 21, 453. [Google Scholar] [CrossRef]
- Chen, C.; Xue, Y.; Li, Z.; Wen, Y.; Li, X.; Wu, F.; Li, X.; Shi, D.; Xue, Z.; Xie, X. Construction of 3D boron nitride nanosheets/silver networks in epoxy-based composites with high thermal conductivity via in-situ sintering of silver nanoparticles. Chem. Eng. J. 2019, 369, 1150–1160. [Google Scholar] [CrossRef]
- Wiener, O. The theory of mixtures for fields with constant currents. Der Wissenschaffen Akad. Leipz. Abh. Der Math.-Phys. Kl. 1912, 32, 507. [Google Scholar]
- Ma, J.; Sadju, J.; Ganta, D. Thermal transport in 2- and 3-dimensional periodic “holey” nanostructures. AIP Adv. 2014, 4, 124502. [Google Scholar] [CrossRef]
- Melnikov, A.; Shuba, M.; Lambin, P. Modeling the electrical properties of three-dimensional printed meshes with the theory of resistor lattices. Phys. Rev. E 2018, 97, 043307. [Google Scholar] [CrossRef]
- Yang, X.H.; Kuang, J.J.; Lu, T.J.; Han, F.S.; Kim, T. A simplistic analytical unit cell based model for the effective thermal conductivity of high porosity open-cell metal foams. J. Phys. D Appl. Phys. 2013, 46, 255302. [Google Scholar] [CrossRef]
- Gibson, L.J.; Ashby, M.F. Thermal, electrical and acoustic properties of foams. In Cellular Solids: Structure and Properties, 2nd ed.; Cambridge University Press: Cambridge, UK, 1997; pp. 283–308. [Google Scholar]
- Uhlířvá, T.; Pabst, W. Conductivity and Young’s modulus of porous metamaterials based on Gibson-Ashby cells. Scr. Mater. 2019, 159, 1. [Google Scholar] [CrossRef]
- Tan, H.; Wu, L.; Wang, M.; Yang, Z.; Du, P. Heat transfer improvement in microchannel heat sink by topology design and optimization for high heat flux chip cooling. Int. J. Heat Mass Transf. 2019, 129, 681–689. [Google Scholar] [CrossRef]
- Ronca, A.; Rollo, G.; Cerruti, P.; Fei, G.; Gan, X.; Buonocore, G.G.; Lavorgna, M.; Xia, H.; Silvestre, C.; Ambrosio, L. Selective laser sintering fabricated thermoplastic polyurethane/graphene cellular structures with tailorable properties and high strain sensitivity. Appl. Sci. 2019, 9, 864. [Google Scholar] [CrossRef]
- Gan, X.; Wang, J.; Wang, Z.; Zheng, Z.; Lavorgna, M.; Ronca, A.; Fei, G.; Xia, H. Simultaneous realization of conductive segregation network microstructure and minimal surface porous macrostructure by SLS 3D printing. Mater. Des. 2019, 178, 107874. [Google Scholar] [CrossRef]
- Catchpole-Smith, S.; Sélo, R.R.J.; Davis, A.W.; Ashcroft, I.A.; Tuck, C.J.; Clare, A. Thermal conductivity of TPMS lattice structures manufactured via laser powder bed fusion. Addit. Manuf. 2019, 30, 100846. [Google Scholar] [CrossRef]
- Bychanok, D.; Gorokhov, G.; Meisak, D.; Plyushch, A.; Kuzhir, P.; Sokal, A.; Lapko, K.; Sanchez-Sanchez, A.; Fierro, V.; Celzard, A.; et al. Exploring Carbon Nanotubes/BaTiO3/Fe3O4 Nanocomposites as Microwave Absorbers. Prog. Electron. Res. C 2016, 66, 77–85. [Google Scholar] [CrossRef][Green Version]
- Bychanok, D.; Plyushch, A.; Gorokhov, G.; Skadorov, V.; Kuzhir, P.; Maksimenko, S.; Macutkevic, J.; Ortona, A.; Ferrari, L.; Rezaei, E.; et al. Electromagnetic properties of periodic carbon architectures at high frequencies. In Proceedings of the 2015 International Conference on Electromagnetics in Advanced Applications (ICEAA), Turin, Italy, 7–11 September 2015; pp. 43–46. [Google Scholar]
- Chizari, K.; Arjmand, M.; Liu, Z.; Sundararaj, U.; Therriault, D. Three-dimensional printing of highly conductive polymer nanocomposites for EMI shielding applications. Mater. Today Commun. 2017, 11, 112–118. [Google Scholar] [CrossRef]
- Lai, W.; Wang, Y.; He, J. Electromagnetic wave absorption properties of structural conductive ABS fabricated by fused deposition modeling. Polymers 2020, 12, 1217. [Google Scholar] [CrossRef]
- Viskadourakis, Z.; Vasilopoulos, K.C.; Economou, E.N.; Soukoulis, C.M.; Kenanakis, G. Electromagnetic shielding effectiveness of 3D-printed polymer composites. Appl. Phys. A 2017, 123, 736–744. [Google Scholar] [CrossRef]
- Abueidda, D.W.; Karimi, P.; Jin, J.M.; Sobh, N.A.; Jasiuk, I.M.; Ostoja-Starzewski, M. Shielding effectiveness and bandgaps of interpenetrating phase composites based on the Schwarz Primitive surface. J. Appl. Phys. 2018, 124, 175102. [Google Scholar] [CrossRef]












| = 0.15 | = 0.25 | = 0.35 | ||
|---|---|---|---|---|
| 1 | 0.075 | 0.032 | 0.077 | 0.142 |
| 0.150 | 0.041 | 0.093 | 0.164 | |
| 0.300 | 0.059 | 0.123 | 0.205 | |
| 2 | 0.075 | 0.029 | 0.073 | 0.137 |
| 0.150 | 0.036 | 0.084 | 0.152 | |
| 0.300 | 0.049 | 0.106 | 0.182 | |
| 3 | 0.075 | 0.028 | 0.072 | 0.136 |
| 0.150 | 0.034 | 0.082 | 0.149 | |
| 0.300 | 0.046 | 0.101 | 0.176 | |
| Parameters | Full Numerical Results | 2DA Approximation | |||
|---|---|---|---|---|---|
| (mm) | |||||
| 4 | 0.612 | 0.594 | 0.923 | 0.607 | 0.946 |
| 5 | 0.538 | 0.509 | 0.881 | 0.524 | 0.911 |
| 6 | 0.485 | 0.447 | 0.841 | 0.463 | 0.876 |
| 7 | 0.446 | 0.401 | 0.804 | 0.417 | 0.842 |
| 8 | 0.415 | 0.365 | 0.770 | 0.381 | 0.810 |
| 9 | 0.391 | 0.336 | 0.738 | 0.351 | 0.780 |
| 10 | 0.371 | 0.312 | 0.709 | 0.327 | 0.752 |
| 12 | 0.341 | 0.276 | 0.658 | 0.290 | 0.701 |
| ∞ | 0.179 | 0.080 | 0.080 | ||
Publisher’s Note: MDPI stays neutral with regard to jurisdictional claims in published maps and institutional affiliations. |
© 2020 by the authors. Licensee MDPI, Basel, Switzerland. This article is an open access article distributed under the terms and conditions of the Creative Commons Attribution (CC BY) license (http://creativecommons.org/licenses/by/4.0/).
Share and Cite
Lambin, P.; Liubimau, A.; Bychanok, D.; Vitale, L.; Kuzhir, P. Thermal and Electromagnetic Properties of Polymer Holey Structures Produced by Additive Manufacturing. Polymers 2020, 12, 2892. https://doi.org/10.3390/polym12122892
Lambin P, Liubimau A, Bychanok D, Vitale L, Kuzhir P. Thermal and Electromagnetic Properties of Polymer Holey Structures Produced by Additive Manufacturing. Polymers. 2020; 12(12):2892. https://doi.org/10.3390/polym12122892
Chicago/Turabian StyleLambin, Philippe, Aliaksandr Liubimau, Dzmitry Bychanok, Luca Vitale, and Polina Kuzhir. 2020. "Thermal and Electromagnetic Properties of Polymer Holey Structures Produced by Additive Manufacturing" Polymers 12, no. 12: 2892. https://doi.org/10.3390/polym12122892
APA StyleLambin, P., Liubimau, A., Bychanok, D., Vitale, L., & Kuzhir, P. (2020). Thermal and Electromagnetic Properties of Polymer Holey Structures Produced by Additive Manufacturing. Polymers, 12(12), 2892. https://doi.org/10.3390/polym12122892

