Deformable Polyurethane Joints and Fibre Grids for Resilient Seismic Performance of Reinforced Concrete Frames with Orthoblock Brick Infills
Abstract
1. Introduction
2. Experimental Setup
2.1. Materials
2.2. The Structure
2.3. Testing Facility and Equipment
2.4. Instrumentation
2.5. Applied Testing Methodology
2.6. Seismic Loading
2.7. Experimental Program
3. Test Results
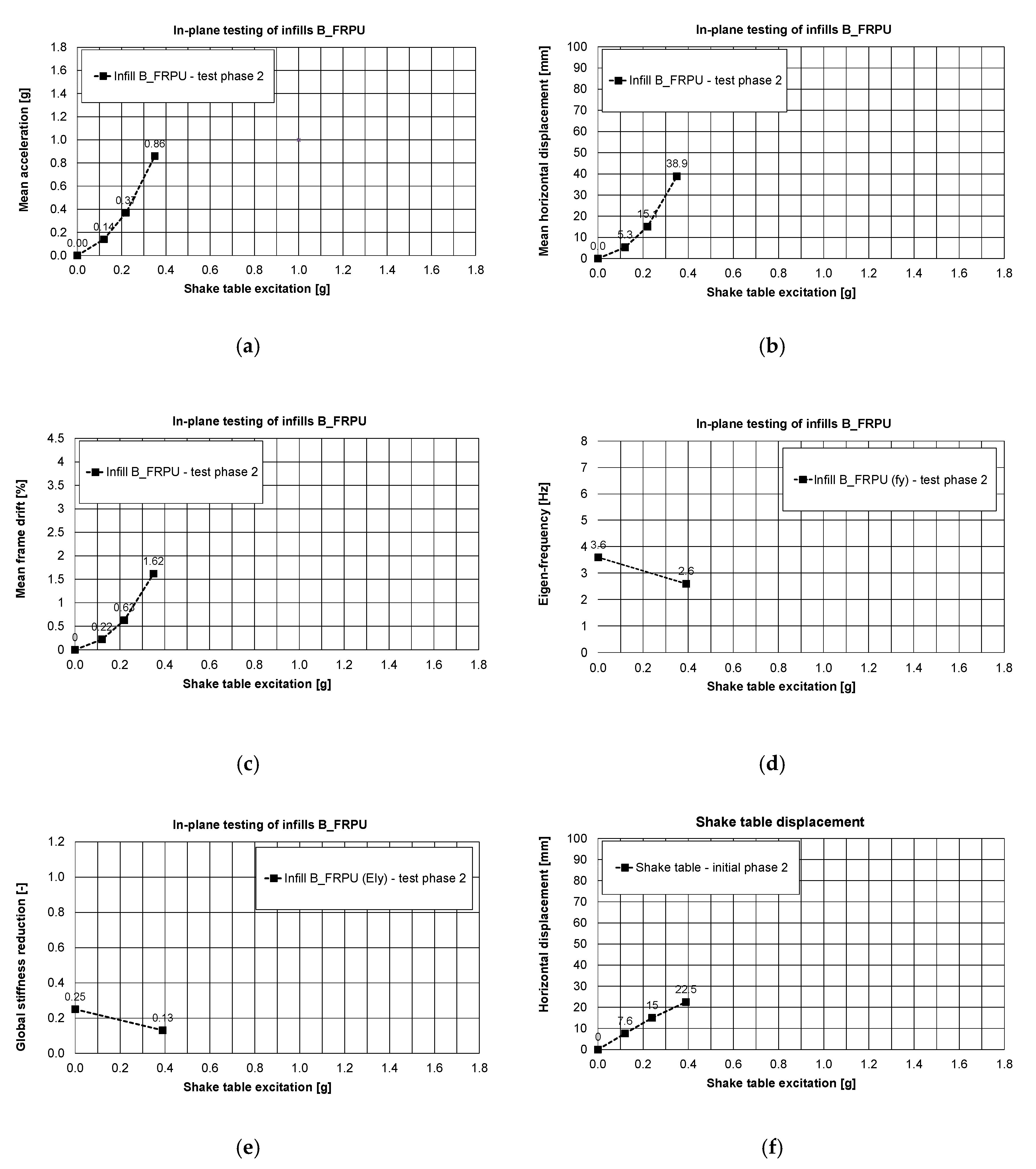
3.1. Infills of Type B Tested In-Plane
3.2. Infills of Type C Tested In-Plane
4. Conclusions
Author Contributions
Funding
Conflicts of Interest
References
- Viskovic, A.; Kwiecień, A.; Gams, M.; Zając, B.; Zuccarino, L. Quick seismic protection of weak masonry infilling in filled framed structures using flexible joints. Key Eng. Mater. 2017, 747, 628–637. [Google Scholar] [CrossRef]
- Jasieńko, J.; Kwiecień, A.; Skłodowski, M. New flexible intervention solutions for protection, strengthening and reconstruction of damaged heritage buildings. In Proceedings of the International Conference on Earthquake Engineering and Post Disaster Reconstruction Planning (ICEE-PDRP 2016), Bhaktapur, Nepal, 24–26 April 2016. [Google Scholar]
- Kwiecień, A. Highly deformable polymers for repair and strengthening of cracked masonry structures. GSTF Int. J. Eng. Technol. (JET) 2013, 2, 182–196, ISSN 2251-3701. [Google Scholar]
- Kwiecień, A. Shear bond of composites-to-brick applied with highly deformable, in relation to resin epoxy, interface materials. Mater. Struct. 2014, 47, 2005–2020. [Google Scholar] [CrossRef]
- Kwiecień, A.; Gams, M.; Rousakis, T.; Viskovic, A.; Korelc, J. Validation of a New Hyperviscoelastic Model for Deformable Polymers Used for Joints between RC Frames and Masonry Infills. Eng. Trans. 2017, 65, 113–121. [Google Scholar]
- Tekieli, M.; De Santis, S.; de Felice, G.; Kwiecień, A.; Roscini, F. Application of Digital Image Correlation to composite reinforcements testing. Compos. Struct. 2017, 160, 670–688. [Google Scholar] [CrossRef]
- Ghiassi, B.; Xavier, J.; Oliveira, D.V.; Kwiecień, A.; Lourenço, P.B.; Zając, B. Evaluation of the bond performance in FRP-brick components re-bonded after initial delamination. Compos. Struct. 2015, 123, 271–281. [Google Scholar] [CrossRef]
- Kwiecień, A. Polymer flexible joint—An innovative repair system protecting cracked masonries against stress concentrations. In Protection of Historical Buildings PROHITECH’09; Mazzolani, F.M., Ed.; Taylor and Francis Group: Rome, Italy, 2009; Volume 2, pp. 1033–1038. ISBN 978-0-415-55805-1. [Google Scholar]
- Zając, B.; Kwiecień, A. Thermal stress generated in masonries by stiff and flexible bonding materials. In Proceedings of the 9th International Masonry Conference 2014, Guimarães, Portugal, 7–9 July 2014; ID_1629. ISBN 978-972-8692-85-8. [Google Scholar]
- Kwiecień, A.; Zając, B. Dynamic response of the cracked masonry building repaired with the Flexible Joint Method—An innovative earthquake protection. In Proceedings of the 7th European Conference on Structural Dynamics (2008), Southampton, UK, 7–9 July 2008; Brennan, M.J., Ed.; European Association for Structural Dynamics: Southampton, UK, 2008; p. 48, ISBN 9780854328826. [Google Scholar]
- Kwiecień, A.; Zając, B.; Jankowski, R. Static and dynamic properties of a flexible joint working in cracked historical masonries. In Structural Analysis of Historic Constructions: Preserving Safety and Significance: Proceedings of the VI International Conference on Structural Analysis of Historic Construction; Taylor & Francis Group: London, UK, 2008; pp. 931–939. ISBN 13 978-0-415-46872-5. [Google Scholar]
- Gams, M.; Kwiecień, A.; Zając, B.; Tomaževič, M. Seismic strengthening of brick masonry walls with flexible polymer coating. In Proceedings of the 9th International Masonry Conference 2014, Guimarães, Portugal, 7–9 July 2014; ID_1502. ISBN 978-972-8692-85-8. [Google Scholar]
- Ceroni, F.; Kwiecień, A.; Mazzotti, C.; Bellini, A.; Garbin, E.; Panizza, M.; Valluzzi, M.R. The role of adhesive stiffness on the FRP-masonry bond behavior: A round robin initiative. Structural analysis of historical constructions: Anamnesis, diagnosis, therapy, controls. In Proceedings of the 10th International Conference on Structural Analysis of Historical Constructions (SAHC 2016), Leuven, Belgium, 13–15 September 2016; CRC Press/Balkema: Leiden, The Netherlands, 2016; pp. 1061–1068. [Google Scholar]
- Garbin, E.; Kwiecień, A.; Panizza, M.; Zając, B.; Nardon, F.; Valluzzi, M.R. Testing of bond solutions for UHTS steel strand composites applied to extruded bricks. In Proceedings of the 16th International Brick and Block Masonry Conference, Padova, Italy, 26–30 June 2016; Modena, C., da Porto, F., Valluzzi, M.R., Eds.; CRC Press: Leiden, The Netherlands, 2016; pp. 395–402. [Google Scholar]
- Kwiecień, A.; De Felice, G.; Oliveira, D.V.; Zając, B.; Bellini, A.; Ghiassi, B.; Lignola, G.P.; Lourenço, P.B.; Mazzotti, C.; Prota, A.; et al. Repair of composite-to-masonry bond using flexible matrix. Mater. Struct. 2016, 49, 2563–2580. [Google Scholar] [CrossRef]
- Derkowski, W.; Kwiecień, A.; Zając, B. CFRP strengthening of bent RC elements using stiff and flexible adhesives. Tech. Trans. 2013, 1-B, 37–52, ISSN 0011-4561. [Google Scholar]
- Kwiecień, A.; Derkowski, W.; Zając, B. Attempts to apply flexible adhesives in strengthening of bent RC beams with CFRP laminates. In Proceedings of the 1st Conference on Civil Engineering Infrastructure Based on Polymer Composities (CECOM 2012), Kraków, Poland, 22–23 November 2012; pp. 13–14. [Google Scholar]
- Kwiecień, A. Stiff and flexible adhesives bonding CFRP to masonry substrates - investigated in pull-off test and Single-Lap test. Arch. Civ. Mech. Eng. 2012, 12, 228–239. [Google Scholar] [CrossRef]
- Derkowski, W.; Kwiecień, A.; Zając, B. Comparison of CFRP strengthening efficiency of bent RC elements using stiff and flexible adhesives. In Proceedings of the Third International FIB Congress incorporating the PCI Annual Convention and Bridge Conference, Washington, DC, USA, 29 May–2 June 2010; Curran Associates, Inc.: Red Hook, NY, USA, 2011; pp. 4090–4101, ISBN 978-1-61782-821-8. [Google Scholar]
- Kwiecień, A.; Gams, M.; Viskovic, A.; Zając, B. Temporary and removable quick seismic protection of weak masonry structures using highly deformable adhesives. Structural analysis of historical constructions: Anamnesis, diagnosis, therapy, controls. In Proceedings of the 10th International Conference on Structural Analysis of Historical Constructions (SAHC 2016), Leuven, Belgium, 13–15 September 2016; CRC Press/Balkema: Leiden, The Netherlands, 2016; pp. 1528–1535. [Google Scholar]
- Kwiecień, A. Flexible polymers using in repair of cracked masonry walls as a composite material. In Proceedings of the Conference MuRiCo3 Mechanics of Masonry Structures Strengthened with Composite Materials, Venice, Italy, 22–24 April 2009; pp. 325–332, ISBN 88-371-1771-X. [Google Scholar]
- Tedeschi, C.; Kwiecien, A.; Valluzzi, M.R.; Binda, L.; Zając, B. Effect of thermal ageing and salt decay on bond between FRP and masonry. Mater. Struct. 2014, 47, 2051–2065. [Google Scholar] [CrossRef]
- Kwiecień, A.; Gruszczyński, M.; Zając, B. Tests of flexible polymer joints repairing of concrete pavements and of polymer modified concretes influenced by high deformations. Key Eng. Mater. 2011, 466, 225–239. [Google Scholar] [CrossRef]
- Kwiecień, A. New repair method of cracked concrete airfield surfaces using of polymer joint. In Proceedings of the 13th International Congress of Polymers in Concrete—ICPIC 2010, Madeira, Portugal, 10–12 February 2010; University of Minho: Madeira, Portugal, 2010; pp. 657–664, ISBN 9789729917943. [Google Scholar]
- Kyriakides, M.A.; Billington, S.L. Seismic retrofit of masonry-infilled nonductile reinforced concrete frames using sprayable ductile fiber-reinforced cementitious composites. In Proceedings of the 14th World Conference Earthquake Engineering, Beijing, China, 12–17 October 2008. [Google Scholar]
- Yuksel, E.; Ilki, A.; Erol, G.; Demir, C.; Karadogan, H.F. Seismic retrofitting of infilled reinforced concrete frames with CFRP composites. In Advances in Earthquake Engineering for Urban Risk Reduction; Wasti, T., Ozcebe, G., Eds.; Springer: Dordrecht, The Netherlands, 2006; pp. 285–300. [Google Scholar]
- Almusallam, T.H.; Al-Salloum, Y.A. Behavior of FRP strengthened infill walls under in-plane seismic loading. J. Compos. Constr. 2007, 11, 308–318. [Google Scholar] [CrossRef]
- Altin, S.; Anil, Ö.; Kara, E.M.; Kaya, M. An experimental study on strengthening of masonry infilled RC frames using diagonal CFRP strips. Compos. Part B 2008, 39, 680–693. [Google Scholar] [CrossRef]
- Ozden, S.; Akguzel, U.; Ozturan, T. Seismic strengthening of infilled reinforced concrete frames with composite materials. ACI Struct. J. 2011, 108, 414–422. [Google Scholar]
- Koutas, L.; Bousias, S.N.; Triantafillou, T.C. Seismic strengthening of masonry-infilled RC frames with TRM: Experimental study. J. Compos. Constr. 2014, 19, 04014048. [Google Scholar] [CrossRef]
- Koutas, L.; Triantafillou, T.C.; Bousias, S.N. Analytical modeling of masonry-infilled RC frames retrofitted with textile-reinforced mortar. J. Compos. Constr. 2014, 19, 04014082. [Google Scholar] [CrossRef]
- Gams, M.; Tomaževič, M.; Berset, T. Seismic strengthening of brick masonry by composite coatings: An experimental study. Bull. Earthq. Eng. 2017, 15, 4269–4298. [Google Scholar] [CrossRef]
- Fardis, M.N. Design provisions for masonry-infilled RC frames. In Proceedings of the 12th World Conference on Earthquake Engineering, Auckland, New Zeland, 30 January–4 February 2000. [Google Scholar]
- Rousakis, T.C.; Kardala, M.K.; Moumtzis, I.; Stylianou, M. Confinement WITH High Deformability Fiber Ropes in Existing Reinforced Concrete Structure. In Proceedings of the Twenty-second Annual International Conference on Composites/Nano Engineering (ICCE-22), Saint Julian’s, Malta, 13–19 July 2014. [Google Scholar]
- Rousakis, T.; Tsaridis, C.; Moumtzis, I. Composite Rope Strengthening of Existing Reinforced Concrete Structures—Effects of Infill Wall Position and Strength. In Proceedings of the 24th International Conference on Compοsites/Nano Engineering (ICCE-24), Haikou, China, 17–23 July 2016. [Google Scholar]
- Rousakis, T.C.; Tourtouras, I.S. RC Columns of Square Section—Passive and Active Confinement with Composite Ropes. J. Compos. Part B Eng. 2014, 58, 573–581. [Google Scholar] [CrossRef]
- Rousakis, T.C. Reusable and recyclable nonbonded composite tapes and ropes for concrete columns confinement. Compos. Part B Eng. 2016, 103, 15–22. [Google Scholar] [CrossRef]
- Rousakis, T.C.; Rouka, D.; Kaloudaki, A.; Kwiecień, A.; Gams, M.; Viskovic, A.; Zając, B. Fast Retrofitting of Strong Wall Infill of RC buildings with Fiber Sheets Impregnated with Highly Deformable Polymer. In Proceedings of the 25th International Conference on Compοsites/Nano Engineering (ICCE-25), Rome, Italy, 16–22 July 2017. [Google Scholar]
- Rouka, D.; Kaloudaki, A.; Rousakis, T.; Fanaradelli, T.; Anagnostou, E.; Kwiecień, A.; Gams, M.; Viskovic, A.; Zając, B. Response of RC buildings with Low-strength Infill Walls Retrofitted with FRP sheets with Highly Deformable Polymer—Effects of Infill Wall Strength. In Proceedings of the 25th International Conference on Compοsites/Nano Engineering (ICCE-25), Rome, Italy, 16–22 July 2017. [Google Scholar]
- Ricci, P.; Di Domenico, M.; Verderame, G.M. Empirical-based out-of-plane URM infill wall model accounting for the interaction with in-plane demand. Earthquake Eng. Struct. Dyn. 2018, 47, 802–827. [Google Scholar] [CrossRef]
- Eurocode 8: Design of Structures for Earthquake Resistance—Part I: General Rules, Seismic Actions and Rules for Buildings; EN 1998-1 2004; European Committee for Standardization: Brussels, Belgium, 2005.
- Turkish Seismic Design Code (2018) Turkish Ministry of Interior, Disaster and Emergency Management Presidency, Ankara. 2018. Available online: https://www.afad.gov.tr/kurumlar/afad.gov.tr/2309/files/TBDY_2018.pdf (accessed on 25 September 2020).
- Akyıldız, A.T.; Kowalska-Koczwara, A.; Kwiecień, A. Stress distribution in masonry infills connected with stiff and flexible interface. J. Meas. Eng. 2019, 7, 40–46. [Google Scholar] [CrossRef]
- Kwiecień, A. Reduction of stress concentration by polymer flexible joints in seismic protection of masonry infill walls in RC frames. Mater. Sci. Eng. 2019, 474, 1–7. [Google Scholar] [CrossRef]
- ISO 527-1:2019. Plastics—Determination of Tensile Properties—Part 1: General Principles; British Standards Institution: London, UK, 2019. [Google Scholar]
















| PHASE 1/Infills B In-Plane | PHASE 2/Infills B_FRPU In-Plane (After Emergency Repair) | PHASE 3/Infills B_FRPU Out-Of-Plane (After Specimen Rotation) | |
|---|---|---|---|
| INTENSITY | 3% KEF-1 (0.06 g) | 6% KEF-2 (0.12 g) | 6% KEF-3 (0.12 g) |
| 6% KEF-1 (0.12 g) | 11% KEF-2 (0.24 g) | 10% KEF-3 (0.22 g) | |
| 11% KEF-1 (0.23g) | 18% KEF-2 (0.39 g) | 16% KEF-3 (0.35 g) | |
| 25% KEF-1 (0.53g) | – | ||
| 38% KEF-1 (0.80g) | |||
| 55% KEF-1 (1.16g) | |||
| 72% KEF-1 (1.54g) | |||
| 74% KEF-1 (1.57g) | |||
| 69% KEF-1 (1.47g) | |||
| 77% KEF-1 (1.64g) |
Publisher’s Note: MDPI stays neutral with regard to jurisdictional claims in published maps and institutional affiliations. |
© 2020 by the authors. Licensee MDPI, Basel, Switzerland. This article is an open access article distributed under the terms and conditions of the Creative Commons Attribution (CC BY) license (http://creativecommons.org/licenses/by/4.0/).
Share and Cite
Rousakis, T.; Ilki, A.; Kwiecien, A.; Viskovic, A.; Gams, M.; Triller, P.; Ghiassi, B.; Benedetti, A.; Rakicevic, Z.; Colla, C.; et al. Deformable Polyurethane Joints and Fibre Grids for Resilient Seismic Performance of Reinforced Concrete Frames with Orthoblock Brick Infills. Polymers 2020, 12, 2869. https://doi.org/10.3390/polym12122869
Rousakis T, Ilki A, Kwiecien A, Viskovic A, Gams M, Triller P, Ghiassi B, Benedetti A, Rakicevic Z, Colla C, et al. Deformable Polyurethane Joints and Fibre Grids for Resilient Seismic Performance of Reinforced Concrete Frames with Orthoblock Brick Infills. Polymers. 2020; 12(12):2869. https://doi.org/10.3390/polym12122869
Chicago/Turabian StyleRousakis, Theodoros, Alper Ilki, Arkadiusz Kwiecien, Alberto Viskovic, Matija Gams, Petra Triller, Bahman Ghiassi, Andrea Benedetti, Zoran Rakicevic, Camilla Colla, and et al. 2020. "Deformable Polyurethane Joints and Fibre Grids for Resilient Seismic Performance of Reinforced Concrete Frames with Orthoblock Brick Infills" Polymers 12, no. 12: 2869. https://doi.org/10.3390/polym12122869
APA StyleRousakis, T., Ilki, A., Kwiecien, A., Viskovic, A., Gams, M., Triller, P., Ghiassi, B., Benedetti, A., Rakicevic, Z., Colla, C., Halici, O. F., Zając, B., Hojdys, Ł., Krajewski, P., Rizzo, F., Vanian, V., Sapalidis, A., Papadouli, E., & Bogdanovic, A. (2020). Deformable Polyurethane Joints and Fibre Grids for Resilient Seismic Performance of Reinforced Concrete Frames with Orthoblock Brick Infills. Polymers, 12(12), 2869. https://doi.org/10.3390/polym12122869

