Synthesis, Characterization, and Antimicrobial Evaluation of Random Poly(ester-Carbonate)s Bearing Pendant Primary Amine in the Main Chain
Abstract
1. Introduction
2. Materials and Methods
2.1. Materials
2.2. Measurements
2.3. Experimental Methodology
2.3.1. Synthesis of Cyclic Carbonates Bearing Potential Primary Amino Groups
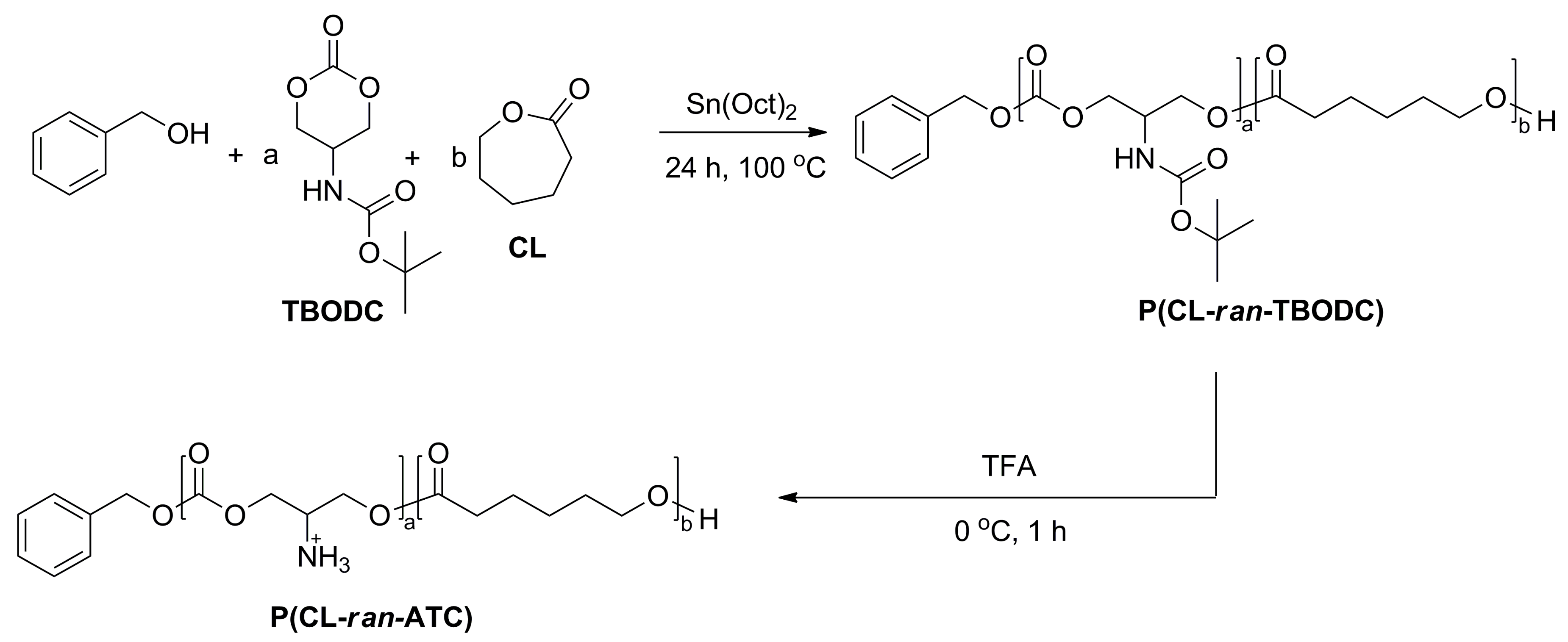
2.3.2. Typical Synthesis of Random Copolymer Poly(ε-caprolactone-ran-tert-butyl (2-oxo-1,3-dioxan-5-yl)carbamate) (P(CL-ran-TBODC))
2.3.3. Preparation of Poly(ester-carbonate)s Bearing Primary Amine
2.3.4. Antimicrobial Activity
2.3.5. Hemolysis
2.3.6. Cyto-Compatibility
3. Results and Discussion
3.1. Synthesis of Cyclic Carbonate TBODC
3.2. Random Copolymerization of CL and TBODC
3.3. Deprotection of P(CL-ran-TBODC)
3.4. Antimicrobial Property, Hemolytic Activity, and Cytotoxicity
4. Conclusions
Supplementary Materials
Author Contributions
Funding
Conflicts of Interest
References
- Rathinakumar, R.; Walkenhorst, W.F.; Wimley, W.C. Broad-spectrum antimicrobial peptides by rational combinatorial design and high-throughput screening: The importance of interfacial activity. J. Am. Chem. Soc. 2009, 131, 7609–7617. [Google Scholar] [CrossRef]
- Barman, S.; Konai, M.M.; Samaddar, S.; Haldar, J. Amino Acid Conjugated Polymers: Antibacterial Agents Effective against Drug-Resistant Acinetobacter baumannii with No Detectable Resistance. ACS Appl. Mater. Interfaces 2019, 11, 33559–33572. [Google Scholar] [CrossRef] [PubMed]
- Yang, Y.; Cai, Z.; Huang, Z.; Tang, X.; Zhang, X. Antimicrobial cationic polymers: From structural design to functional control. Polym. J. 2018, 50, 33–44. [Google Scholar] [CrossRef]
- Carmona-Ribeiro, A.M.; de Melo Carrasco, L.D. Cationic antimicrobial polymers and their assemblies. Int. J. Mol. Sci. 2013, 14, 9906–9946. [Google Scholar] [CrossRef] [PubMed]
- Gottlieb, D.; Shaw, P.D. (Eds.) Antibiotics Volume I Mechanism of Action; Springer: Berlin/Heidelberg, Germany, 1967; ISBN 978-3-662-37649-2. [Google Scholar]
- Epand, R.F.; Mowery, B.P.; Lee, S.E.; Stahl, S.S.; Lehrer, R.I.; Gellman, S.H.; Epand, R.M. Dual Mechanism of Bacterial Lethality for a Cationic Sequence-Random Copolymer that Mimics Host-Defense Antimicrobial Peptides. J. Mol. Biol. 2008, 379, 38–50. [Google Scholar] [CrossRef] [PubMed]
- Yeaman, M.R.; Yount, N.Y. Mechanisms of Antimicrobial Peptide Action and Resistance. Pharmacol. Rev. 2003, 55, 27–55. [Google Scholar] [CrossRef]
- Ng, V.W.L.; Ke, X.; Lee, A.L.Z.; Hedrick, J.L.; Yang, Y.Y. Synergistic co-delivery of membrane-disrupting polymers with commercial antibiotics against highly opportunistic bacteria. Adv. Mater. 2013, 25, 6730–6736. [Google Scholar] [CrossRef]
- Ageitos, J.M.; Sánchez-pérez, A.; Calo-mata, P.; Villa, T.G. Antimicrobial peptides (AMPs): Ancient compounds that represent novel weapons in the fight against bacteria. Biochem. Pharmacol. 2017, 133, 117–138. [Google Scholar] [CrossRef]
- Muñoz-Bonilla, A.; Fernández-García, M. The roadmap of antimicrobial polymeric materials in macromolecular nanotechnology. Eur. Polym. J. 2015, 65, 46–62. [Google Scholar] [CrossRef]
- Lee, A.L.Z.; Ng, V.W.L.; Wang, W.; Hedrick, J.L.; Yang, Y.Y. Block copolymer mixtures as antimicrobial hydrogels for biofilm eradication. Biomaterials 2013, 34, 10278–10286. [Google Scholar] [CrossRef]
- Kuroki, A.; Sangwan, P.; Qu, Y.; Peltier, R.; Sanchez-Cano, C.; Moat, J.; Dowson, C.G.; Williams, E.G.L.; Locock, K.E.S.; Hartlieb, M.; et al. Sequence Control as a Powerful Tool for Improving the Selectivity of Antimicrobial Polymers. ACS Appl. Mater. Interfaces 2017, 9, 40117–40126. [Google Scholar] [CrossRef] [PubMed]
- Pinazo, A.; Petrizelli, V.; Bustelo, M.; Pons, R.; Vinardell, M.P.; Mitjans, M.; Manresa, A.; Perez, L. New cationic vesicles prepared with double chain surfactants from arginine: Role of the hydrophobic group on the antimicrobial activity and cytotoxicity. Colloids Surfaces B Biointerfaces 2016, 141, 19–27. [Google Scholar] [CrossRef] [PubMed]
- Zhao, R.; Wang, H.; Ji, T.; Anderson, G.; Nie, G.; Zhao, Y. Biodegradable cationic epsilon-poly-L-lysine-conjugated polymeric nanoparticles as a new effective antibacterial agent. Sci. Bull. 2015, 60, 216–226. [Google Scholar] [CrossRef]
- Xu, Q.; Yang, C.; Hedrick, J.L.; Yang, Y.Y. Antimicrobial silica particles synthesized via ring-opening grafting of cationic amphiphilic cyclic carbonates: Effects of hydrophobicity and structure. Polym. Chem. 2016, 7, 2192–2201. [Google Scholar] [CrossRef]
- Yuin, Z.; Cheng, J.; Huang, Y.; Xu, K.; Ji, Z.; Fan, W. Biomaterials Effect of stereochemistry, chain length and sequence pattern on antimicrobial properties of short synthetic β -sheet forming peptide amphiphiles. Biomaterials 2014, 35, 1315–1325. [Google Scholar] [CrossRef]
- Punia, A.; He, E.; Lee, K.; Banerjee, P.; Yang, N.L. Cationic amphiphilic non-hemolytic polyacrylates with superior antibacterial activity. Chem. Commun. 2014, 50, 7071–7074. [Google Scholar] [CrossRef]
- Engler, A.C.; Tan, J.P.K.; Ong, Z.Y.; Coady, D.J.; Ng, V.W.L.; Yang, Y.Y.; Hedrick, J.L. Antimicrobial polycarbonates: Investigating the impact of balancing charge and hydrophobicity using a same-centered polymer approach. Biomacromolecules 2013, 14, 4331–4339. [Google Scholar] [CrossRef]
- Cuthbert, T.J.; Hisey, B.; Harrison, T.D.; Trant, J.F.; Gillies, E.R.; Ragogna, P.J. Surprising Antibacterial Activity and Selectivity of Hydrophilic Polyphosphoniums Featuring Sugar and Hydroxy Substituents. Angew. Chem. Int. Ed. 2018, 57, 12707–12710. [Google Scholar] [CrossRef]
- Palermo, E.F.; Lienkamp, K.; Gillies, E.R.; Ragogna, P.J. Antibacterial Activity of Polymers: Discussions on the Nature of Amphiphilic Balance. Angew. Chem. Int. Ed. 2019, 58, 3690–3693. [Google Scholar] [CrossRef]
- Siedenbiedel, F.; Tiller, J.C. Antimicrobial polymers in solution and on surfaces: Overview and functional principles. Polymers 2012, 4, 46–71. [Google Scholar] [CrossRef]
- Pascual, A.; Tan, J.P.K.; Yuen, A.; Chan, J.M.W.; Coady, D.J.; Mecerreyes, D.; Hedrick, J.L.; Yang, Y.Y.; Sardon, H. Broad-Spectrum Antimicrobial Polycarbonate Hydrogels with Fast Degradability. Biomacromolecules 2015, 16, 1169–1178. [Google Scholar] [CrossRef] [PubMed]
- Exley, S.E.; Paslay, L.C.; Sahukhal, G.S.; Abel, B.A.; Brown, T.D.; McCormick, C.L.; Heinhorst, S.; Koul, V.; Choudhary, V.; Elasri, M.O.; et al. Antimicrobial Peptide Mimicking Primary Amine and Guanidine Containing Methacrylamide Copolymers Prepared by Raft Polymerization. Biomacromolecules 2015, 16, 3845–3852. [Google Scholar] [CrossRef] [PubMed]
- Palermo, E.F.; Kuroda, K. Chemical Structure of Cationic Groups in Amphiphilic Polymethacrylates Modulates the Antimicrobial and Hemolytic Activities. Biomacromolecules 2009, 10, 1416–1428. [Google Scholar] [CrossRef] [PubMed]
- Ergene, C.; Palermo, E.F. Cationic Poly(benzyl ether)s as Self-Immolative Antimicrobial Polymers. Biomacromolecules 2017, 18, 3400–3409. [Google Scholar] [CrossRef] [PubMed]
- Paslay, L.C.; Abel, B.A.; Brown, T.D.; Koul, V.; Choudhary, V.; McCormick, C.L.; Morgan, S.E. Antimicrobial Poly(methacrylamide) Derivatives Prepared via Aqueous RAFT Polymerization Exhibit Biocidal Efficiency Dependent upon Cation Structure. Biomacromolecules 2012, 13, 2472–2482. [Google Scholar] [CrossRef]
- Lee, A.L.Z.; Ng, V.W.L.; Gao, S.; Hedrick, J.L.; Yang, Y.Y. Injectable hydrogels from triblock copolymers of vitamin E-functionalized polycarbonate and poly(ethylene glycol) for subcutaneous delivery of antibodies for cancer therapy. Adv. Funct. Mater. 2014, 24, 1538–1550. [Google Scholar] [CrossRef]
- Chin, W.; Yang, C.; Wee, V.; Ng, L.; Huang, Y.; Cheng, J.; Tong, Y.W.; Coady, D.J.; Fan, W.; Hedrick, J.L.; et al. Biodegradable Broad-Spectrum Antimicrobial Polycarbonates: Investigating the Role of Chemical Structure on Activity and Selectivity. Macromolecules 2013, 46, 8797–8807. [Google Scholar] [CrossRef]
- Tan, J.P.K.; Gao, S.; Hedrick, J.L.; Zhang, Y.; Guo, X.D.; Li, L.; Yang, Y.; Fukushima, K.; Wang, H.; Yang, C.; et al. Biodegradable nanostructures with selective lysis of microbial membranes. Nat. Chem. 2011, 3, 409–414. [Google Scholar]
- Yang, C.; Krishnamurthy, S.; Liu, J.; Liu, S.; Lu, X.; Coady, D.J.; Cheng, W.; De Libero, G.; Singhal, A.; Hedrick, J.L.; et al. Broad-Spectrum Antimicrobial Star Polycarbonates Functionalized with Mannose for Targeting Bacteria Residing inside Immune Cells. Adv. Healthc. Mater. 2016, 5, 1272–1281. [Google Scholar] [CrossRef]
- Tan, J.P.K.; Coady, D.J.; Sardon, H.; Yuen, A.; Gao, S.; Lim, S.W.; Liang, Z.C.; Tan, E.W.; Venkataraman, S.; Engler, A.C.; et al. Broad Spectrum Macromolecular Antimicrobials with Biofilm Disruption Capability and In Vivo Efficacy. Adv. Healthc. Mater. 2017, 6, 1–9. [Google Scholar] [CrossRef]
- Qiang, N.; Yang, W.; Li, L.; Dong, P.; Zhu, J.; Wang, T.; Zeng, C.; Quan, D. Synthesis of pendent carboxyl-containing poly(ε-caprolactone-co- β-malic acid)-block-poly(l-lactide) copolymers for fabrication of nano-fibrous scaffolds. Polymer 2012, 53, 4993–5001. [Google Scholar] [CrossRef]
- Alarçin, E.; Lee, T.Y.; Karuthedom, S.; Mohammadi, M.; Brennan, M.A.; Lee, D.H.; Marrella, A.; Zhang, J.; Syla, D.; Zhang, Y.S.; et al. Injectable shear-thinning hydrogels for delivering osteogenic and angiogenic cells and growth factors. Biomater. Sci. 2018, 6, 1604–1615. [Google Scholar] [CrossRef] [PubMed]
- Xu, Y.; Zhang, K.; Reghu, S.; Lin, Y.; Chan-Park, M.B.; Liu, X.W. Synthesis of Antibacterial Glycosylated Polycaprolactones Bearing Imidazoliums with Reduced Hemolytic Activity. Biomacromolecules 2019, 20, 949–958. [Google Scholar] [CrossRef] [PubMed]
- Sano, S.; Tsumura, T.; Horibe, M.; Nakao, M. Catalytic asymmetric ring-opening of σ-symmetric cyclic carbonates with chiral bronsted acid catalysts. Synlett 2013, 24, 2302–2304. [Google Scholar] [CrossRef]
- Bordes, C.; Fréville, V.; Ruffin, E.; Marote, P.; Gauvrit, J.Y.; Briançon, S.; Lantéri, P. Determination of poly(ε-caprolactone) solubility parameters: Application to solvent substitution in a microencapsulation process. Int. J. Pharm. 2010, 383, 236–243. [Google Scholar] [CrossRef]
- Woodruff, M.A.; Hutmacher, D.W. The return of a forgotten polymer—Polycaprolactone in the 21st century. Prog. Polym. Sci. 2010, 35, 1217–1256. [Google Scholar] [CrossRef]
- Li, L.; Wang, Q.; Lyu, R.; Yu, L.; Su, S.; Du, F.S.; Li, Z.C. Synthesis of a ROS-responsive analogue of poly(ε-caprolactone) by the living ring-opening polymerization of 1,4-oxathiepan-7-one. Polym. Chem. 2018, 9, 4574–4584. [Google Scholar] [CrossRef]
- Li, L.; Zhai, H.; Wang, T.; Qiu, X.; Qiang, N.; Dong, P.; Bai, Y.; Peng, A.Y.; Quan, D. Bromine-functionalized poly(carbonate-co-lactide)s: Synthesis, characterization and post-polymerization functionalization. Polymer 2019, 180, 121705. [Google Scholar] [CrossRef]
- Ong, Z.Y.; Coady, D.J.; Tan, J.P.K.; Li, Y.; Chan, J.M.W.; Yang, Y.Y.; Hedrick, J.L. Design and synthesis of biodegradable grafted cationic polycarbonates as broad spectrum antimicrobial agents. J. Polym. Sci. Part A Polym. Chem. 2016, 54, 1029–1035. [Google Scholar] [CrossRef]
- Ng, V.W.L.; Tan, J.P.K.; Leong, J.; Voo, Z.X.; Hedrick, J.L.; Yang, Y.Y. Antimicrobial polycarbonates: Investigating the impact of nitrogen-containing heterocycles as quaternizing agents. Macromolecules 2014, 47, 1285–1291. [Google Scholar] [CrossRef]







| Entry | fTBODC/ε-CLb | 1H NMR | GPC e | DSC | |||
|---|---|---|---|---|---|---|---|
| Fc | Mn/kDa d | Mn/kDa | Đ | Tg/°C | Tm/°C | ||
| 1 | 10/90 | 7.1 | 8.3 | 8.7 | 1.26 | −47.15 | 49.54 |
| 2 | 25/75 | 22.8 | 10.7 | 14.9 | 1.58 | −40.73 | 36.53 |
| 3 | 50/50 | 50.9 | 3.9 | 17.7 | 1.30 | −34.59 | N/A |
| 4 | 100/0 | N/A | 4.8 | 3.3 | 1.10 | 48.45 | N/A |
| 5 | 0/100 | N/A | 12.2 | 8.3 | 1.40 | /f | 63.50 |
| Polymer | HLR a | MIC (μg mL−1) | Hemolytic Activity (H4000) b | Zeta Potential (mV) | |
|---|---|---|---|---|---|
| S. aureus (Gram +) | E. coli (Gram −) | ||||
| P(CL-ran-ATC 7.1%) | 7.1 | NA c | NA c | 2.16% | /d |
| P(CL-ran-ATC 22.8%) | 22.8 | 3500 | 4000 | 1.53% | 25.8 ± 1.8 |
| P(CL-ran-ATC 50.9%) | 50.9 | 2000 | 3000 | 1.41% | 38.3 ± 1.2 |
| PATC | / | 4000 | NA c | 0.74% | 7.7 ± 0.7 |
Publisher’s Note: MDPI stays neutral with regard to jurisdictional claims in published maps and institutional affiliations. |
© 2020 by the authors. Licensee MDPI, Basel, Switzerland. This article is an open access article distributed under the terms and conditions of the Creative Commons Attribution (CC BY) license (http://creativecommons.org/licenses/by/4.0/).
Share and Cite
Dong, P.; Feng, J.; Li, S.; Sun, T.; Shi, Q.; Xie, X. Synthesis, Characterization, and Antimicrobial Evaluation of Random Poly(ester-Carbonate)s Bearing Pendant Primary Amine in the Main Chain. Polymers 2020, 12, 2640. https://doi.org/10.3390/polym12112640
Dong P, Feng J, Li S, Sun T, Shi Q, Xie X. Synthesis, Characterization, and Antimicrobial Evaluation of Random Poly(ester-Carbonate)s Bearing Pendant Primary Amine in the Main Chain. Polymers. 2020; 12(11):2640. https://doi.org/10.3390/polym12112640
Chicago/Turabian StyleDong, Peng, Jing Feng, Sujuan Li, Tingli Sun, Qingshan Shi, and Xiaobao Xie. 2020. "Synthesis, Characterization, and Antimicrobial Evaluation of Random Poly(ester-Carbonate)s Bearing Pendant Primary Amine in the Main Chain" Polymers 12, no. 11: 2640. https://doi.org/10.3390/polym12112640
APA StyleDong, P., Feng, J., Li, S., Sun, T., Shi, Q., & Xie, X. (2020). Synthesis, Characterization, and Antimicrobial Evaluation of Random Poly(ester-Carbonate)s Bearing Pendant Primary Amine in the Main Chain. Polymers, 12(11), 2640. https://doi.org/10.3390/polym12112640
