Effects of SiO2 Filler in the Shell and Wood Fiber in the Core on the Thermal Expansion of Core–Shell Wood/Polyethylene Composites
Abstract
1. Introduction
2. Materials and Methods
2.1. Materials
2.2. Preparation of the Composites
2.3. Thermomechanical Analysis (TMA)
2.4. Morphological Analysis
2.5. Finite Element Analysis (FEA)
3. Results
3.1. Subsection
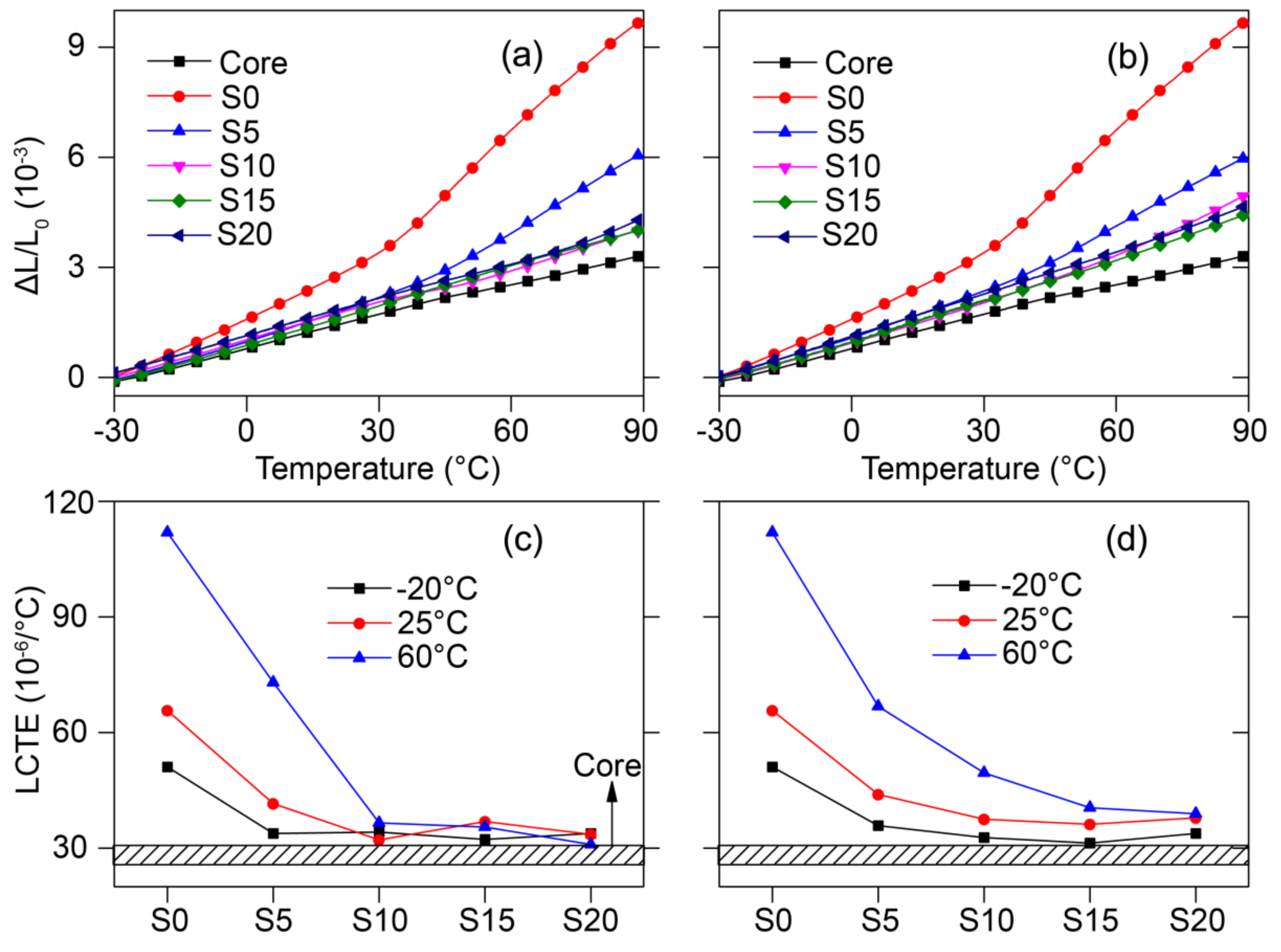
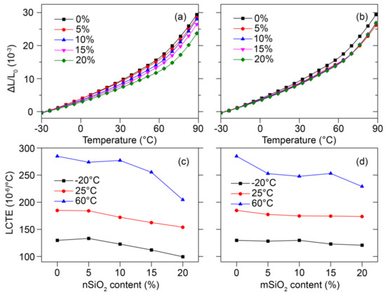
3.2. Thermal Expansion Anisotropy of Co-WPCs Silica Filler in the Shell Layer
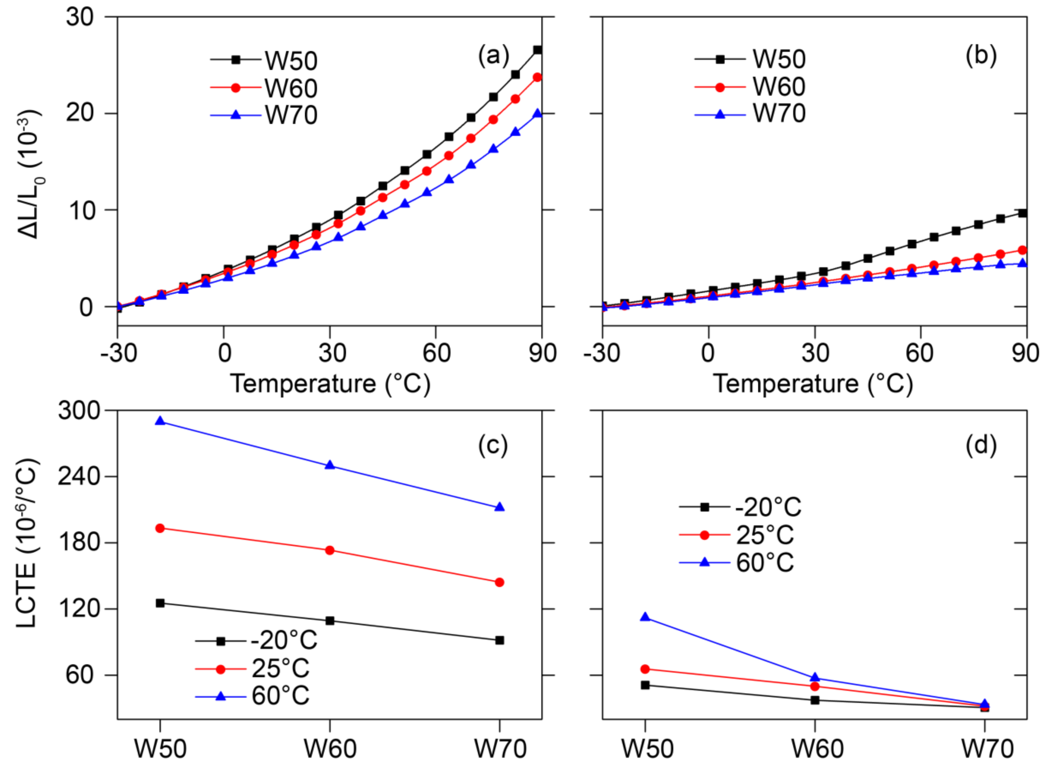
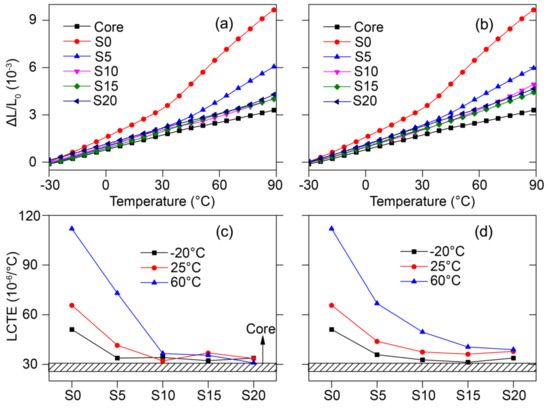
3.3. Thermal Expansion Anisotropy of Co-WPCs with High Filler Contents in the Core
4. Conclusions
Supplementary Materials
Author Contributions
Funding
Conflicts of Interest
References
- Yao, F.; Wu, Q. Coextruded polyethylene and wood-flour composite: Effect of shell thickness, wood loading, and core quality. J. Appl. Polym. Sci. 2010, 118, 3594–3601. [Google Scholar] [CrossRef]
- Jin, S.; Matuana, L.M. Wood/plastic composites co-extruded with multi-walled carbon nanotube-filled rigid poly(vinyl chloride) cap layer. Polym. Int. 2010, 59, 648–657. [Google Scholar] [CrossRef]
- Matuana, L.M.; Jin, S.; Stark, N.M. Ultraviolet weathering of HDPE/wood-flour composites coextruded with a clear HDPE cap layer. Polym. Degrad. Stabil. 2011, 96, 97–106. [Google Scholar] [CrossRef]
- Jin, S.; Stark, N.M.; Matuana, L.M. Influence of a stabilized cap layer on the photodegradation of coextruded high density polyethylene/wood-flour composites. J. Vinyl Addit. Technol. 2013, 19, 239–249. [Google Scholar] [CrossRef][Green Version]
- Sun, L.; Wu, Q.; Xie, Y.; Wang, F.; Wang, Q. Thermal degradation and flammability properties of multilayer structured wood fiber and polypropylene composites with fire retardants. RSC Adv. 2016, 6, 13890–13897. [Google Scholar] [CrossRef]
- Turku, I.; Nikolaeva, M.; Kärki, T. The effect of fire retardants on the flammability, mechanical properties, and wettability of co-extruded pp-based wood-plastic composites. Bioresources 2014, 9, 1539–1551. [Google Scholar] [CrossRef]
- Jin, S.; Matuana, L.M. Coextruded PVC/wood-flour composites with WPC cap layers. J. Vinyl Addit. Technol. 2008, 14, 197–203. [Google Scholar] [CrossRef]
- Kim, B.-J.; Yao, F.; Han, G.; Wang, Q.; Wu, Q. Mechanical and physical properties of core–shell structured wood plastic composites: Effect of shells with hybrid mineral and wood fillers. Compos. Part B 2013, 45, 1040–1048. [Google Scholar] [CrossRef]
- Wu, Q.; Chi, K.; Wu, Y.; Lee, S. Mechanical, thermal expansion, and flammability properties of co-extruded wood polymer composites with basalt fiber reinforced shells. Mater. Des. 2014, 60, 334–342. [Google Scholar] [CrossRef]
- Huang, R.; Kim, B.-J.; Lee, S.; Yang, Z.; Wu, Q. Co-extruded wood-plastic composites with talc-filled shells: Morphology, mechanical, and thermal expansion performance. Bioresources 2013, 8, 2283–2299. [Google Scholar] [CrossRef]
- Huang, R.; Xiong, W.; Xu, X.; Wu, Q. Thermal expansion behaviour of coextruded WPC with glass fiber reinforced shells. Bioresources 2012, 7, 5514–5526. [Google Scholar] [CrossRef]
- Huang, R.; Mei, C.; Xu, X.; Kärki, T.; Lee, S.; Wu, Q. Effect of hybrid talc-basalt fillers in the shell layer on thermal and mechanical performance of co-extruded wood plastic composites. Materials 2015, 8, 8510–8523. [Google Scholar] [CrossRef] [PubMed]
- Ren, L.; Pashayi, K.; Fard, H.R.; Kotha, S.P.; Borca-Tasciuc, T.; Ozisik, R. Engineering the coefficient of thermal expansion and thermal conductivity of polymers filled with high aspect ratio silica nanofibers. Compos. Part B 2014, 58, 228–234. [Google Scholar] [CrossRef]
- Hao, X.; Zhou, H.; Xie, Y.; Xiao, Z.; Wang, H.; Wang, Q. Mechanical reinforcement and creep resistance of coextruded wood flour/polyethylene composites by shell-layer treatment with nano- and micro-SiO2 particles. Polym. Compos. 2018, 1576–1584. [Google Scholar] [CrossRef]
- Takenaka, K.; Ichigo, M. Thermal expansion adjustable polymer matrix composites with giant negative thermal expansion filler. Compos. Sci. Technol. 2014, 104, 47–51. [Google Scholar] [CrossRef]
- Yang, H.S.; Wolcott, M.P.; Kim, H.-S.; Kim, H.-J. Thermal properties of lignocellulosic filler-thermoplastic polymer bio-composites. J. Therm. Anal. Calorim. 2005, 82, 157–160. [Google Scholar] [CrossRef]
- Nakagaito, A.N.; Yano, H. The effect of fiber content on the mechanical and thermal expansion properties of biocomposites based on microfibrillated cellulose. Cellulose 2008, 15, 555–559. [Google Scholar] [CrossRef]
- Hao, X.; Zhou, H.; Xie, Y.; Mu, H.; Wang, Q. Sandwich-structured wood flour/HDPE composite panels: Reinforcement using a linear low-density polyethylene core layer. Constr. Build Mater. 2018, 164, 489–496. [Google Scholar] [CrossRef]
- Hao, X.; Yi, X.; Sun, L.; Tu, D.; Wang, Q.; Ou, R. Mechanical properties, creep resistance, and dimensional stability of core/shell structured wood flour/polyethylene composites with highly filled core layer. Constr. Build Mater. 2019, 226, 879–887. [Google Scholar] [CrossRef]
- Monroe, J.A.; Gehring, D.; Karaman, I.; Arroyave, R.; Brown, D.W.; Clausen, B. Tailored thermal expansion alloys. Acta Mater. 2016, 102, 333–341. [Google Scholar] [CrossRef]
- Baschek, G.; Hartwig, G. Parameters influencing the thermal expansion of polymers and fibre composites. Cryogenics 1998, 38, 99–103. [Google Scholar] [CrossRef]
- Shirasu, K.; Nakamura, A.; Yamamoto, G.; Ogasawara, T.; Shimamura, Y.; Inoue, Y.; Hashida, T. Potential use of CNTs for production of zero thermal expansion coefficient composite materials: An experimental evaluation of axial thermal expansion coefficient of CNTs using a combination of thermal expansion and uniaxial tensile tests. Compos. Part A 2017, 95, 152–160. [Google Scholar] [CrossRef]
- Cen-Puc, M.; Oliva-Avilés, A.I.; Avilés, F. Thermoresistive mechanisms of carbon nanotube/polymer composites. Phys. E 2018, 95, 41–50. [Google Scholar] [CrossRef]
- Zhou, H.; Hao, X.; Wang, H.; Wang, X.; Liu, T.; Xie, Y.; Wang, Q. The reinforcement efficacy of nano- and microscale silica for extruded wood flour/HDPE composites: The effects of dispersion patterns and interfacial modification. J. Mater. Sci. 2018, 53, 1899–1910. [Google Scholar] [CrossRef]
- Mammeri, F.; Bourhis, E.L.; Rozes, L.; Sanchez, C. Mechanical properties of hybrid organic–inorganic materials. J. Mater. Chem. 2005, 15, 3787. [Google Scholar] [CrossRef]
- Wu, C.; Zhang, M.; Rong, M.; Friedrich, K. Silica nanoparticles filled polypropylene: Effects of particle surface treatment, matrix ductility and particle species on mechanical performance of the composites. Compos. Sci. Technol. 2005, 65, 635–645. [Google Scholar] [CrossRef]
- Shariati, M.; Farzi, G.; Dadrasi, A. Mechanical properties and energy absorption capability of thin-walled square columns of silica/epoxy nanocomposite. Constr. Build Mater. 2015, 78, 362–368. [Google Scholar] [CrossRef]
- Pourhossaini, M.-R.; Razzaghi-Kashani, M. Effect of silica particle size on chain dynamics and frictional properties of styrene butadiene rubber nano and micro composites. Polymer 2014, 55, 2279–2284. [Google Scholar] [CrossRef]
- Takezawa, A.; Kobashi, M.; Takezawa, A.; Kobashi, M. Design methodology for porous composites with tunable thermal expansion produced by multi-material topology optimization and additive manufacturing. Compos. Part B 2018, 131, 21–29. [Google Scholar] [CrossRef]
- Migneault, S.; Koubaa, A.; Erchiqui, F.; Chaala, A.; Englund, K.; Wolcott, M.P. Application of micromechanical models to tensile properties of wood–plastic composites. Wood Sci. Technol. 2010, 45, 521–532. [Google Scholar] [CrossRef]
- Hao, X.; Zhou, H.; Mu, B.; Chen, L.; Guo, Q.; Yi, X.; Sun, L.; Wang, Q.; Ou, R. Effects of fiber geometry and orientation distribution on the anisotropy of mechanical properties, creep behavior, and thermal expansion of natural fiber/HDPE composites. Compos. Part B 2020, 185, 107778. [Google Scholar] [CrossRef]








| Core Formulation | Shell Formulation | Variables | LCTE | Demerits | Refs |
|---|---|---|---|---|---|
| WF:HDPE:MAPE:Lubricant: = 50:40:4:6 | HDPE/GF | Shell GF (0–40%) | ↓ | Only exceeded GF content (>30%) decreased LCTE | [11] |
| HDPE:WF:Lubricant:MAPE = 40:50:6:4 | HDPE/WF/TPCC | Shell WF (0–25%), TPCC (6–18%) | ↑ | Only weak core lead to decreased LCTE | [8] |
| WF:HDPE:Talc:Lubricant:MAPE = 55:33:5:5:2 | HDPE/BF | Shell BF (0–30%) | ↑ | LCTE of shell decreased, but increased LCTE of Co-WPCs | [9] |
| WF:HDPE:Talc:Lubricant:MAPE = 55:33:5:5:2 | HDPE/Talc | Shell Talc (0–50%) | ↑ | LCTE of shell decreased, but increased LCTE of Co-WPCs | [10] |
| WF:HDPE:Talc:Lubricant:MAPE = 55:33:5:5:2 | HDPE/BF/Talc | BF/Talc = 0/30, 10/20, 15/15, 20/10,30/0 wt % in shell | ↑ | LCTE of shell decreased slightly, but without LCTE of Co-WPCs | [12] |
| Sample 1 | Shell Layer (wt %) | Core Layer (wt %) | |||||
|---|---|---|---|---|---|---|---|
| WF | HDPE | Silica | WF | HDPE | MAPE | Lubricant | |
| Core | 0 | 0 | 0 | 50 | 45 | 3 | 2 |
| S0 | 10 | 90 | 0 | 50 | 45 | 3 | 2 |
| S5 | 10 | 90 | 5 | 50 | 45 | 3 | 2 |
| S10 | 10 | 90 | 10 | 50 | 45 | 3 | 2 |
| S15 | 10 | 90 | 15 | 50 | 45 | 3 | 2 |
| S20 | 10 | 90 | 20 | 50 | 45 | 3 | 2 |
| W50 | 10 | 90 | 0 | 50 | 45 | 3 | 2 |
| W60 | 10 | 90 | 0 | 60 | 35 | 3 | 2 |
| W70 | 10 | 90 | 0 | 70 | 25 | 3 | 2 |
| Type | Young’s Modulus (GPa) | Poisson Ratio | Density (g cm−3) | Average LCTE (25→60 °C) (10−6 °C−1) |
|---|---|---|---|---|
| Core Layer | 2.0 | 0.30 | 1.2 | 209 a/33 b |
| S0 Shell Layer | 0.71 | 0.38 | 0.95 | 234 |
Publisher’s Note: MDPI stays neutral with regard to jurisdictional claims in published maps and institutional affiliations. |
© 2020 by the authors. Licensee MDPI, Basel, Switzerland. This article is an open access article distributed under the terms and conditions of the Creative Commons Attribution (CC BY) license (http://creativecommons.org/licenses/by/4.0/).
Share and Cite
Sun, L.; Zhou, H.; Zong, G.; Ou, R.; Fan, Q.; Xu, J.; Hao, X.; Guo, Q. Effects of SiO2 Filler in the Shell and Wood Fiber in the Core on the Thermal Expansion of Core–Shell Wood/Polyethylene Composites. Polymers 2020, 12, 2570. https://doi.org/10.3390/polym12112570
Sun L, Zhou H, Zong G, Ou R, Fan Q, Xu J, Hao X, Guo Q. Effects of SiO2 Filler in the Shell and Wood Fiber in the Core on the Thermal Expansion of Core–Shell Wood/Polyethylene Composites. Polymers. 2020; 12(11):2570. https://doi.org/10.3390/polym12112570
Chicago/Turabian StyleSun, Lichao, Haiyang Zhou, Guanggong Zong, Rongxian Ou, Qi Fan, Junjie Xu, Xiaolong Hao, and Qiong Guo. 2020. "Effects of SiO2 Filler in the Shell and Wood Fiber in the Core on the Thermal Expansion of Core–Shell Wood/Polyethylene Composites" Polymers 12, no. 11: 2570. https://doi.org/10.3390/polym12112570
APA StyleSun, L., Zhou, H., Zong, G., Ou, R., Fan, Q., Xu, J., Hao, X., & Guo, Q. (2020). Effects of SiO2 Filler in the Shell and Wood Fiber in the Core on the Thermal Expansion of Core–Shell Wood/Polyethylene Composites. Polymers, 12(11), 2570. https://doi.org/10.3390/polym12112570

