Constructing Positively Charged Thin-Film Nanocomposite Nanofiltration Membranes with Enhanced Performance
Abstract
1. Introduction
2. Experimental
2.1. Materials
2.2. Preparation and Characterization of GO
2.3. Preparation of NF Membranes
2.4. Characterization of NF Membranes
2.5. Performance of NF Membranes
3. Results and Discussion
3.1. Membrane Morphologies
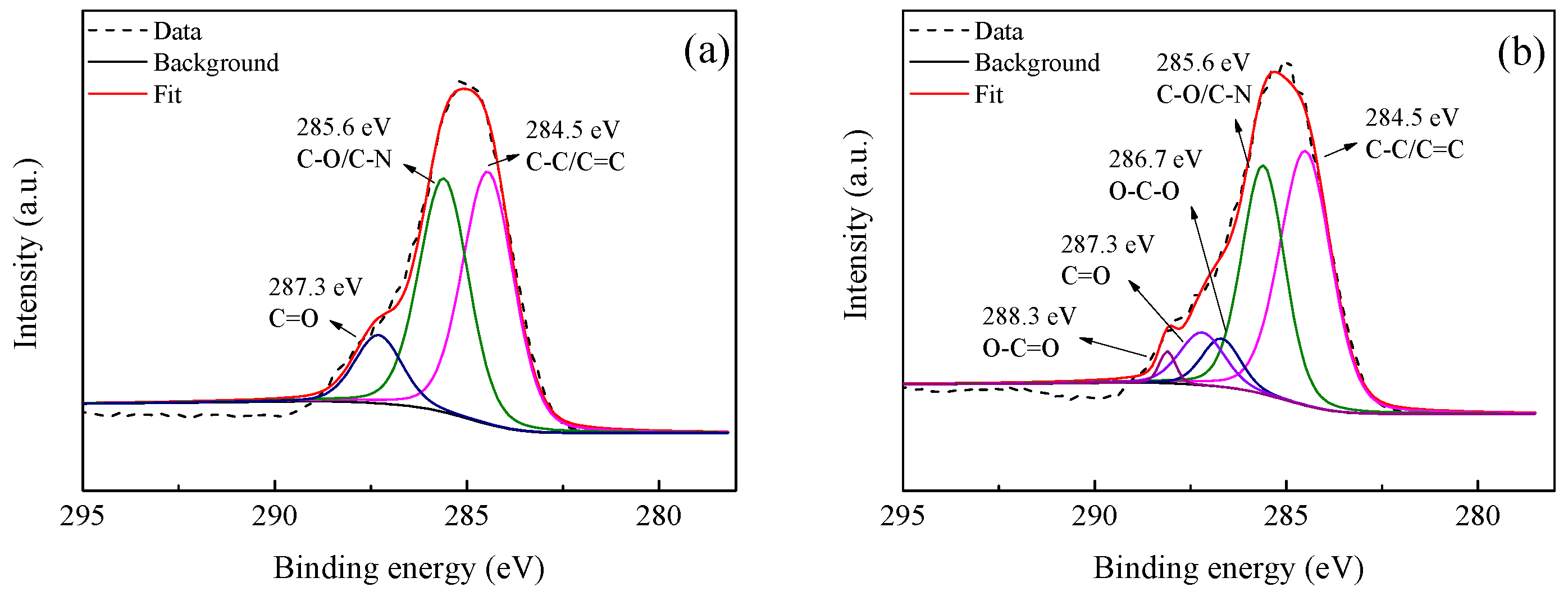
3.2. Membrane Surface Properties
3.3. Water Flux and Salt Rejection
3.4. Removal of Heavy Metals
3.5. Antifouling Performance
3.6. Chlorine Resistance
4. Conclusions
Author Contributions
Funding
Conflicts of Interest
References
- Cai, L.-M.; Xu, Z.; Qi, J.-Y.; Feng, Z.-Z.; Xiang, T.-S. Assessment of exposure to heavy metals and health risks among residents near Tonglushan mine in Hubei, China. Chemosphere 2015, 127, 127–135. [Google Scholar] [CrossRef] [PubMed]
- Sun, Z.; Chen, J.; Wang, X.; Lv, C. Heavy metal accumulation in native plants at a metallurgy waste site in rural areas of Northern China. Ecol. Eng. 2016, 86, 60–68. [Google Scholar] [CrossRef]
- Ghorpade, A.; Ahammed, M.M. Water treatment sludge for removal of heavy metals from electroplating wastewater. Environ. Eng. Res. 2017, 23, 92–98. [Google Scholar] [CrossRef]
- Zheng, X.; Xu, X.; Yekeen, T.A.; Zhang, Y.; Chen, A.; Kim, S.S.; Dietrich, K.N.D.K.N.; Ho, S.-M.; Lee, S.-A.; Reponen, T.; et al. Ambient Air Heavy Metals in PM2.5 and Potential Human Health Risk Assessment in an Informal Electronic-Waste Recycling Site of China. Aerosol Air Qual. Res. 2016, 16, 388–397. [Google Scholar] [CrossRef]
- Chen, Q.; Yao, Y.; Li, X.; Lu, J.; Zhou, J.; Huang, Z. Comparison of heavy metal removals from aqueous solutions by chemical precipitation and characteristics of precipitates. J. Water Process. Eng. 2018, 26, 289–300. [Google Scholar] [CrossRef]
- Wang, Z.; Feng, Y.; Hao, X.; Huang, W.; Feng, X. A novel potential-responsive ion exchange film system for heavy metal removal. J. Mater. Chem. A 2014, 2, 10263–10272. [Google Scholar] [CrossRef]
- Uddin, M.K. A review on the adsorption of heavy metals by clay minerals, with special focus on the past decade. Chem. Eng. J. 2017, 308, 438–462. [Google Scholar] [CrossRef]
- Tao, H.-C.; Lei, T.; Shi, G.; Sun, X.-N.; Wei, X.-Y.; Zhang, L.-J.; Wu, W.-M. Removal of heavy metals from fly ash leachate using combined bioelectrochemical systems and electrolysis. J. Hazard. Mater. 2014, 264, 1–7. [Google Scholar] [CrossRef] [PubMed]
- Barakat, M.; Schmidt, E. Polymer-enhanced ultrafiltration process for heavy metals removal from industrial wastewater. Desalination 2010, 256, 90–93. [Google Scholar] [CrossRef]
- Huang, Y.; Wu, D.; Wang, X.; Huang, W.; Lawless, D.; Feng, X. Removal of heavy metals from water using polyvinylamine by polymer-enhanced ultrafiltration and flocculation. Sep. Purif. Technol. 2016, 158, 124–136. [Google Scholar] [CrossRef]
- Fang, X.; Li, J.; Li, X.; Pan, S.; Zhang, X.; Sun, X.; Shen, J.; Han, W.; Wang, L. Internal pore decoration with polydopamine nanoparticle on polymeric ultrafiltration membrane for enhanced heavy metal removal. Chem. Eng. J. 2017, 314, 38–49. [Google Scholar] [CrossRef]
- Huang, J.; Yuan, F.; Niu, C.-G.; Li, X.; Gu, Y.; Shi, L.; Liu, W.; Shi, Y. Influence of pH on heavy metal speciation and removal from wastewater using micellar-enhanced ultrafiltration. Chemosphere 2017, 173, 199–206. [Google Scholar] [CrossRef] [PubMed]
- Al-Rashdi, B.; Johnson, D.; Hilal, N. Removal of heavy metal ions by nanofiltration. Desalination 2013, 315, 2–17. [Google Scholar] [CrossRef]
- Gao, J.; Sun, S.-P.; Zhu, W.-P.; Chung, T.-S. Chelating polymer modified P84 nanofiltration (NF) hollow fiber membranes for high efficient heavy metal removal. Water Res. 2014, 63, 252–261. [Google Scholar] [CrossRef]
- Zhu, W.-P.; Sun, S.-P.; Gao, J.; Fu, F.-J.; Chung, T.-S. Dual-layer polybenzimidazole/polyethersulfone (PBI/PES) nanofiltration (NF) hollow fiber membranes for heavy metals removal from wastewater. J. Membr. Sci. 2014, 456, 117–127. [Google Scholar] [CrossRef]
- Zhu, W.-P.; Gao, J.; Sun, S.-P.; Zhang, S.; Chung, T.-S. Poly (amidoamine) dendrimer (PAMAM) grafted on thin film composite (TFC) nanofiltration (NF) hollow fiber membranes for heavy metal removal. J. Membr. Sci. 2015, 487, 117–126. [Google Scholar] [CrossRef]
- Yu, H.; Xu, Z.; Liu, S.; Zhang, Y.; Yang, X. Molecular simulation of reverse osmosis for heavy metal ions using functionalized nanoporous graphenes. Comput. Mater. Sci. 2017, 139, 65–74. [Google Scholar]
- Thaçi, B.S.; Gashi, S.T. Reverse Osmosis Removal of Heavy Metals from Wastewater Effluents Using Biowaste Materials Pretreatment. Pol. J. Environ. Stud. 2018, 28, 337–341. [Google Scholar] [CrossRef]
- Mohammad, A.W.; Teow, Y.; Ang, W.; Chung, Y.T.; Oatleyradcliffe, D.L.; Hilal, N. Nanofiltration membranes review: Recent advances and future prospects. Desalination 2015, 356, 226–254. [Google Scholar] [CrossRef]
- Muntha, S.T.; Kausar, A.; Siddiq, M. Advances in Polymeric Nanofiltration Membrane: A Review. Polym. Plast. Technol. Eng. 2016, 56, 841–856. [Google Scholar] [CrossRef]
- Oatley-Radcliffe, D.L.; Walters, M.; Ainscough, T.J.; Williams, P.M.; Mohammad, A.W.; Hilal, N. Nanofiltration membranes and processes: A review of research trends over the past decade. J. Water Process. Eng. 2017, 19, 164–171. [Google Scholar] [CrossRef]
- Xu, J.; Wang, Z.; Wang, J.; Wang, S. Positively charged aromatic polyamide reverse osmosis membrane with high anti-fouling property prepared by polyethylenimine grafting. Desalination 2015, 365, 398–406. [Google Scholar] [CrossRef]
- Ba, C.; Langer, J.; Economy, J. Chemical modification of P84 copolyimide membranes by polyethylenimine for nanofiltration. J. Membr. Sci. 2009, 327, 49–58. [Google Scholar] [CrossRef]
- Wanga, C.; Fenga, Y.; Chenb, J.; Baia, X.; Renb, L.; Wangb, C.; Huangb, K.; Wuc, H. Nanofiltration membrane based on graphene oxide crosslinked with zwitterion-functionalized polydopamine for improved performances. J. Taiwan Inst. Chem. Eng. 2020, 110, 153–162. [Google Scholar] [CrossRef]
- Chiao, Y.-H.; Patra, T.; Ang, M.B.M.Y.; Chen, S.-T.; Almodovar, J.; Qian, X.; Wickramasinghe, S.R.; Hung, W.-S.; Huang, S.-H.; Chang, Y.; et al. Zwitterion Co-Polymer PEI-SBMA Nanofiltration Membrane Modified by Fast Second Interfacial Polymerization. Polymers 2020, 12, 269. [Google Scholar] [CrossRef] [PubMed]
- Mosikatsi, B.E.; Mabuba, N.; Malinga, S.P. Thin film composite membranes consisting of hyperbranched polyethylenimine (HPEI)-cysteamine layer for cadmium removal in water. J. Water Process. Eng. 2019, 30, 100686. [Google Scholar] [CrossRef]
- Gu, K.; Wang, S.; Li, Y.; Zhao, X.; Zhou, Y.; Gao, C. A facile preparation of positively charged composite nanofiltration membrane with high selectivity and permeability. J. Membr. Sci. 2019, 581, 214–223. [Google Scholar] [CrossRef]
- Cihanoğlu, A.; Altinkaya, S.A.; Cihanoğlu, A. A facile approach for preparation of positively charged nanofiltration membranes by in-situ crosslinking between polyamide-imide and polyethylenimine. Sep. Purif. Technol. 2018, 207, 353–362. [Google Scholar] [CrossRef]
- Puspasari, T.; Huang, T.; Sutisna, B.; Peinemann, K.-V. Cellulose-polyethyleneimine blend membranes with anomalous nanofiltration performance. J. Membr. Sci. 2018, 564, 97–105. [Google Scholar] [CrossRef]
- Zhang, Y.; Zhang, S.; Chung, T.-S. Nanometric Graphene Oxide Framework Membranes with Enhanced Heavy Metal Removal via Nanofiltration. Environ. Sci. Technol. 2015, 49, 10235–10242. [Google Scholar] [CrossRef]
- Xie, M.Y.; Wang, J.; Wu, Q.Y. Nanofiltration MembranesviaLayer-by-layer Assembly and Cross-linking of Polyethyleneimine/Sodium Lignosulfonate for Heavy Metal Removal. Chin. J. Polym. Sci. 2020, 38, 965–972. [Google Scholar] [CrossRef]
- Wang, J.; Yu, W.; Graham, N.; Jiang, L. Evaluation of a novel polyamide-polyethylenimine nanofiltration membrane for wastewater treatment: Removal of Cu2+ ions. Chem. Eng. J. 2020, 392, 123769. [Google Scholar] [CrossRef]
- Wei, X.-Z.; Hong, J.; Zhu, S.; Chen, J.; Lv, B. Structure–performance study of polyamide composite nanofiltration membranes prepared with polyethyleneimine. J. Mater. Sci. 2017, 52, 11701–11714. [Google Scholar] [CrossRef]
- Ba, C.; Ladner, D.A.; Economy, J. Using polyelectrolyte coatings to improve fouling resistance of a positively charged nanofiltration membrane. J. Membr. Sci. 2010, 347, 250–259. [Google Scholar] [CrossRef]
- Wu, D.; Martin, J.; Du, J.R.; Zhang, Y.; Lawless, D.; Feng, X. Effects of chlorine exposure on nanofiltration performance of polyamide membranes. J. Membr. Sci. 2015, 487, 256–270. [Google Scholar] [CrossRef]
- Lee, S.Y.; Kim, H.J.; Patel, R.; Im, S.J.; Kim, J.H.; Min, B.R. Silver nanoparticles immobilized on thin film composite polyamide membrane: Characterization, nanofiltration, antifouling properties. Polym. Adv. Technol. 2007, 18, 562–568. [Google Scholar] [CrossRef]
- Lee, H.S.; Im, S.J.; Kim, J.H.; Kim, H.J.; Min, B.R. Polyamide thin-film nanofiltration membranes containing TiO2 nanoparticles. Desalination 2008, 219, 48–56. [Google Scholar] [CrossRef]
- Kim, E.-S.; Hwang, G.; El-Din, M.G.; Liu, Y. Development of nanosilver and multi-walled carbon nanotubes thin-film nanocomposite membrane for enhanced water treatment. J. Membr. Sci. 2012, 394, 37–48. [Google Scholar] [CrossRef]
- Xie, Q.; Zhang, S.; Hong, Z.; Ma, H.; Liu, C.; Shao, W. Effects of Casting Solvents on the Morphologies, Properties, and Performance of Polysulfone Supports and the Resultant Graphene Oxide-Embedded Thin-Film Nanocomposite Nanofiltration Membranes. Ind. Eng. Chem. Res. 2018, 57, 16464–16475. [Google Scholar] [CrossRef]
- Bano, S.; Mahmood, A.; Kim, S.J.; Lee, K.H. Graphene oxide modified polyamide nanofiltration membrane with improved flux and antifouling properties. J. Mater. Chem. A 2015, 3, 2065–2071. [Google Scholar] [CrossRef]
- Xia, S.; Yao, L.; Zhao, Y.; Li, N.; Zheng, Y. Preparation of graphene oxide modified polyamide thin film composite membranes with improved hydrophilicity for natural organic matter removal. Chem. Eng. J. 2015, 280, 720–727. [Google Scholar] [CrossRef]
- Lai, G.; Lau, W.; Goh, P.; Ismail, A.; Yusof, N.; Tan, Y. Graphene oxide incorporated thin film nanocomposite nanofiltration membrane for enhanced salt removal performance. Desalination 2016, 387, 14–24. [Google Scholar] [CrossRef]
- Shao, W.; Liu, C.; Ma, H.; Hong, Z.; Xie, Q.; Lu, Y. Fabrication of pH-sensitive thin-film nanocomposite nanofiltration membranes with enhanced performance by incorporating amine-functionalized graphene oxide. Appl. Surf. Sci. 2019, 487, 1209–1221. [Google Scholar] [CrossRef]
- Xie, Q.; Shao, W.; Zhang, S.; Hong, Z.; Wang, Q.; Zeng, B. Enhancing the performance of thin-film nanocomposite nanofiltration membranes using MAH-modified GO nanosheets. RSC Adv. 2017, 7, 54898–54910. [Google Scholar] [CrossRef]
- Mansourpanah, Y.; Shahebrahimi, H.; Kolvari, E. PEG-modified GO nanosheets, a desired additive to increase the rejection and antifouling characteristics of polyamide thin layer membranes. Chem. Eng. Res. Des. 2015, 104, 530–540. [Google Scholar] [CrossRef]
- Tansel, B. Significance of thermodynamic and physical characteristics on permeation of ions during membrane separation: Hydrated radius, hydration free energy and viscous effects. Sep. Purif. Technol. 2012, 86, 119–126. [Google Scholar] [CrossRef]
- Ragnarsson, U.; Grehn, L. Novel Amine Chemistry Based on DMAP-Catalyzed Acylation. Accounts Chem. Res. 1998, 31, 494–501. [Google Scholar] [CrossRef]
- Qin, J.; Lin, S.; Song, S.; Zhang, L.; Chen, H. 4-Dimethylaminopyridine Promoted Interfacial Polymerization between Hyperbranched Polyesteramide and Trimesoyl Chloride for Preparing Ultralow-Pressure Reverse Osmosis Composite Membrane. ACS Appl. Mater. Interfaces 2013, 5, 6649–6656. [Google Scholar] [CrossRef]
- Hu, R.; Zhang, R.; He, Y.; Zhao, G.; Zhu, H. Graphene oxide-in-polymer nanofiltration membranes with enhanced permeability by interfacial polymerization. J. Membr. Sci. 2018, 564, 813–819. [Google Scholar] [CrossRef]
- Yang, X.; Du, Y.; Zhang, X.; He, A.; Xu, Z.-K. Nanofiltration Membrane with a Mussel-Inspired Interlayer for Improved Permeation Performance. Langmuir 2017, 33, 2318–2324. [Google Scholar] [CrossRef]
- Zhang, X.; Zhang, Y.; Wang, T.; Fan, Z.; Zhang, G. A thin film nanocomposite membrane with pre-immobilized UiO-66-NH2 toward enhanced nanofiltration performance. RSC Adv. 2019, 9, 24802–24810. [Google Scholar] [CrossRef]
- Xie, Q.; Zhang, S.; Hong, Z.; Ma, H.; Zeng, B.; Gong, X.; Shao, W.; Wang, Q. A novel double-modified strategy to enhance the performance of thin-film nanocomposite nanofiltration membranes: Incorporating functionalized graphenes into supporting and selective layers. Chem. Eng. J. 2019, 368, 186–201. [Google Scholar] [CrossRef]
- Shao, F.; Dongac, L.; Dong, H.; Zhang, Q.; Zhao, M.; Yu, L.; Pang, B.; Chen, Y. Graphene oxide modified polyamide reverse osmosis membranes with enhanced chlorine resistance. J. Membr. Sci. 2017, 525, 9–17. [Google Scholar] [CrossRef]
- Choi, W.; Choi, J.; Bang, J.; Lee, J.-H. Layer-by-Layer Assembly of Graphene Oxide Nanosheets on Polyamide Membranes for Durable Reverse-Osmosis Applications. ACS Appl. Mater. Interfaces 2013, 5, 12510–12519. [Google Scholar] [CrossRef] [PubMed]












| Membrane ID | PEI (wt%) | TMC (w/v%) | TEA (wt%) | DMAP (wt%) | GO (ppm) |
|---|---|---|---|---|---|
| TFC-PEI-blank | 1 | 0.2 | 2 | 0.08 | 0 |
| TFN-PEI-GO-10 | 1 | 0.2 | 2 | 0.08 | 10 |
| TFN-PEI-GO-20 | 1 | 0.2 | 2 | 0.08 | 20 |
| TFN-PEI-GO-30 | 1 | 0.2 | 2 | 0.08 | 30 |
| TFN-PEI-GO-40 | 1 | 0.2 | 2 | 0.08 | 40 |
| Ions | Hydrated Radius (nm) |
|---|---|
| Na+ | 0.358 |
| Mg2+ | 0.428 |
| Cl− | 0.332 |
| SO42− | 0.379 |
| Zn2+ | 0.430 |
| Cd2+ | 0.426 |
| Cu2+ | 0.419 |
| Ni2+ | 0.404 |
| Pb2+ | 0.401 |
| NO3− | 0.335 |
| Membrane ID | Roughness (nm) | ||
|---|---|---|---|
| Ra | Rq | Rz | |
| TFC-PEI-blank | 7.81 | 9.90 | 7.57 |
| TFN-PEI-GO-20 | 6.99 | 9.12 | 14.6 |
| TFN-PEI-GO-40 | 4.41 | 5.81 | 8.01 |
Publisher’s Note: MDPI stays neutral with regard to jurisdictional claims in published maps and institutional affiliations. |
© 2020 by the authors. Licensee MDPI, Basel, Switzerland. This article is an open access article distributed under the terms and conditions of the Creative Commons Attribution (CC BY) license (http://creativecommons.org/licenses/by/4.0/).
Share and Cite
Shao, W.; Liu, C.; Yu, T.; Xiong, Y.; Hong, Z.; Xie, Q. Constructing Positively Charged Thin-Film Nanocomposite Nanofiltration Membranes with Enhanced Performance. Polymers 2020, 12, 2526. https://doi.org/10.3390/polym12112526
Shao W, Liu C, Yu T, Xiong Y, Hong Z, Xie Q. Constructing Positively Charged Thin-Film Nanocomposite Nanofiltration Membranes with Enhanced Performance. Polymers. 2020; 12(11):2526. https://doi.org/10.3390/polym12112526
Chicago/Turabian StyleShao, Wenyao, Chenran Liu, Tong Yu, Ying Xiong, Zhuan Hong, and Quanling Xie. 2020. "Constructing Positively Charged Thin-Film Nanocomposite Nanofiltration Membranes with Enhanced Performance" Polymers 12, no. 11: 2526. https://doi.org/10.3390/polym12112526
APA StyleShao, W., Liu, C., Yu, T., Xiong, Y., Hong, Z., & Xie, Q. (2020). Constructing Positively Charged Thin-Film Nanocomposite Nanofiltration Membranes with Enhanced Performance. Polymers, 12(11), 2526. https://doi.org/10.3390/polym12112526

