Novel Copper Photoredox Catalysts for Polymerization: An In Situ Synthesis of Metal Nanoparticles
Abstract
1. Introduction
2. Materials and Methods
2.1. Materials
2.2. Irradiation Source
2.3. Free Radical Photopolymerization
2.4. Redox Potentials
2.5. Scanning Image Macroscope (SEM)
2.6. Fluorescence Experiments
3. Results
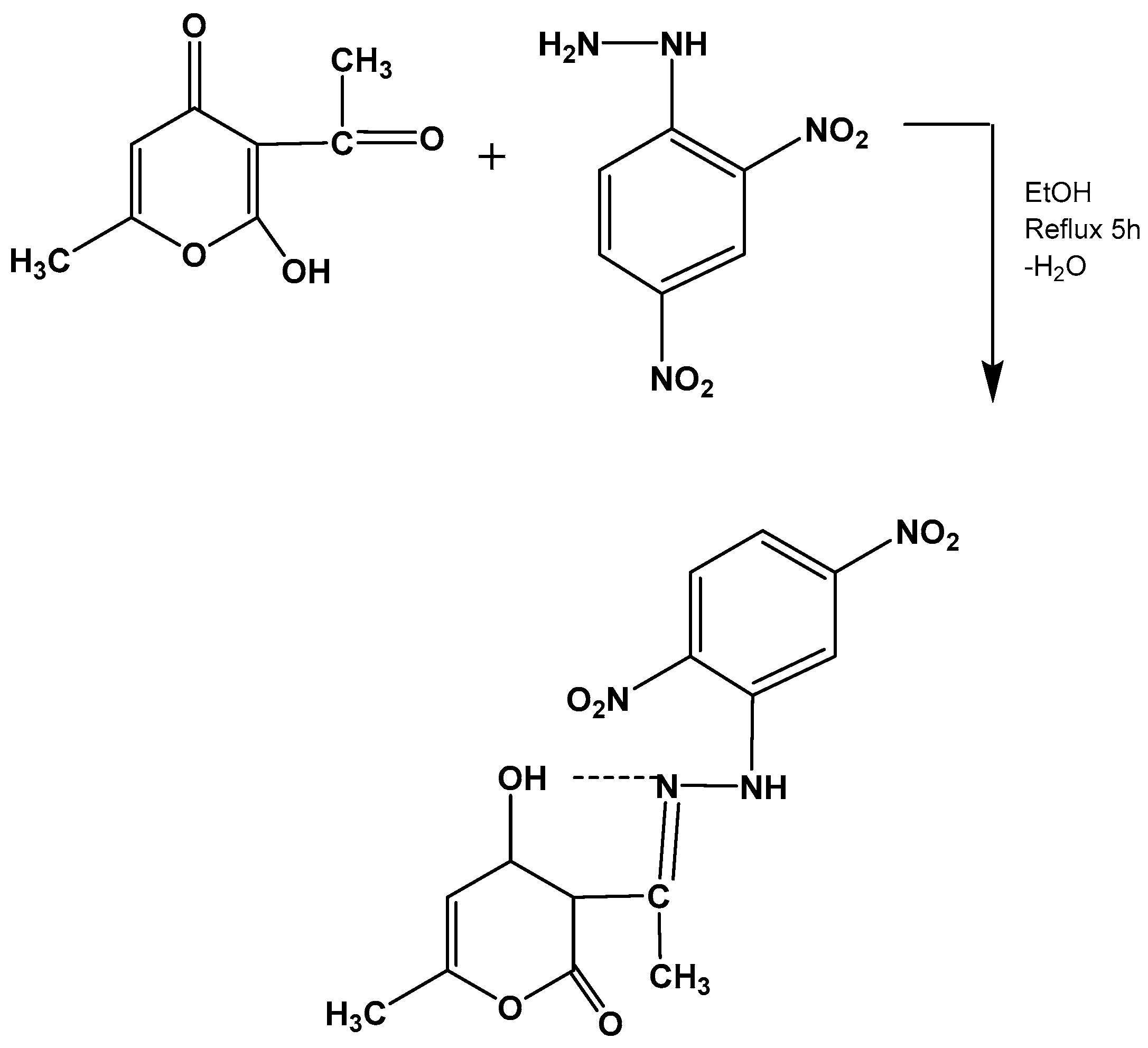
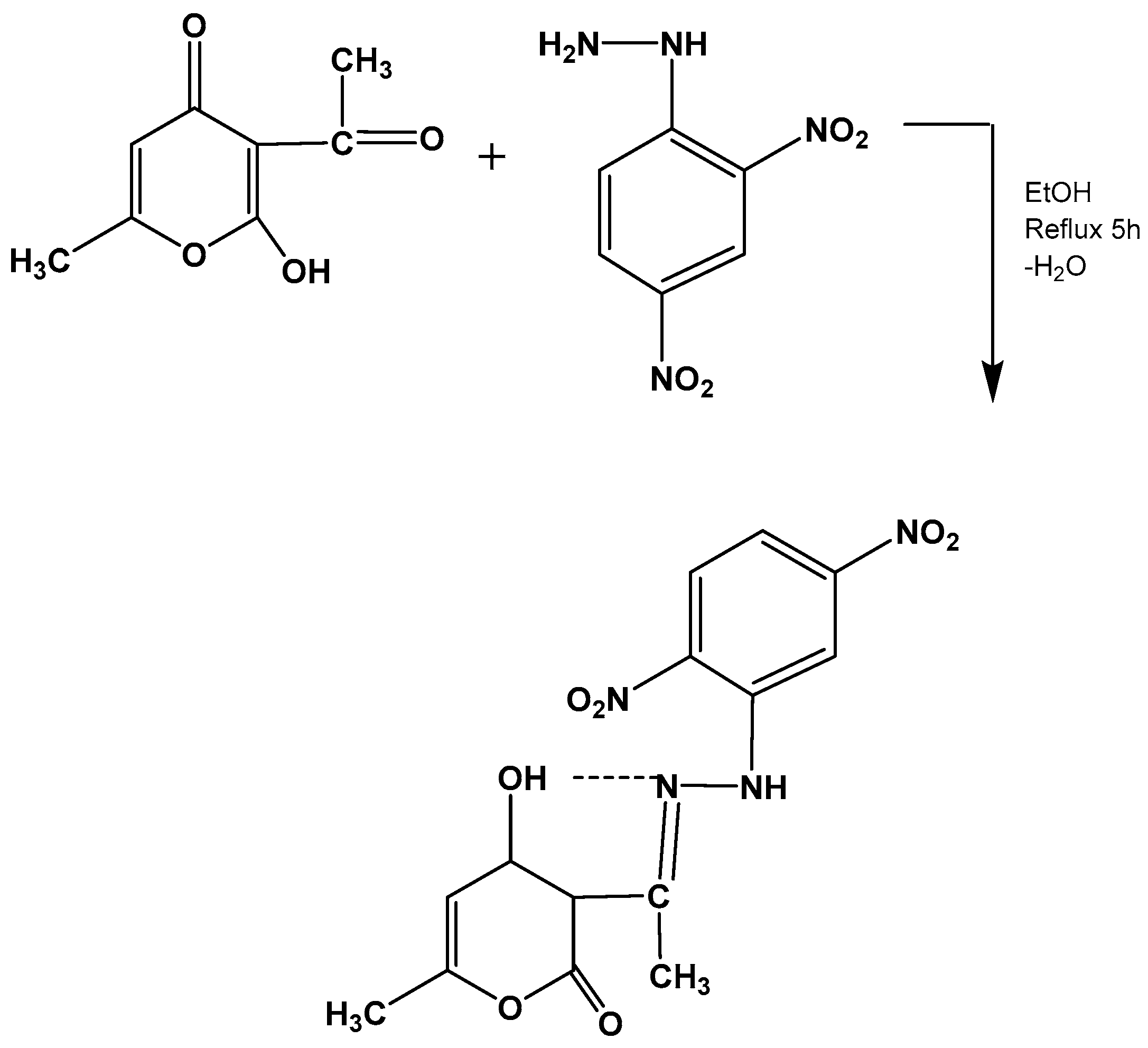
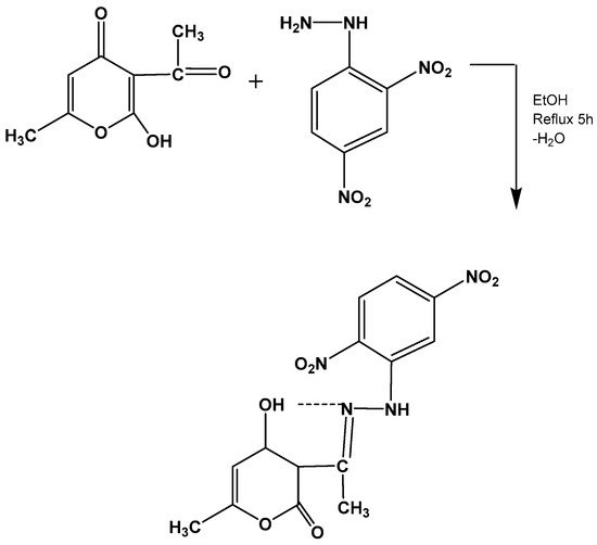
3.1. Characterization of the Ligand and Its Copper Complex
3.1.1. Mass Spectrum
3.1.2. 1H NMR Spectrum
3.1.3. FTIR IR Spectra
3.1.4. The DTA and TGA Spectra
3.2. Light Absorption and Magnetic Properties of Cu-Complex
3.3. Copper Complex Oxidation Process
3.4. Photoinduced Synthsis of Au Nanoparticles
- The first step corresponds to the photobleaching of HLCuCl with the concomitant growth of the surface plasmon band, as indicated by the linear correlation between the absorbance at 407 nm vs. the absorbance at 525 nm (inset in Figure 4).
- In a second step, the decomposition of the iodonium salt through an electron transfer and the production of a phenyl radical that is able to abstract hydrogen to generate radicals reduces the Au+3 to Au+2. The Au+2 is unstable and can be reduced with the radical to Au+1 [12]. Then, the Au+1 can be reduced by another radical to Au (0). Scheme 6 illustrates the proposed reaction mechanism.
3.5. Fabrication of AuNPS Embedded Polymer
4. Conclusions
Supplementary Materials
Author Contributions
Funding
Acknowledgments
Conflicts of Interest
References
- Thomas, V.; Namdeo, M.; Murali, M.Y.; Bajpai, S.K.; Bajpai, M.J. Review on polymer, hydrogel and microgel metal nanocomposites: A facile nanotechnological approach. Macromol. Sci. Pure App. Chem. A 2008, 45, 107–119. [Google Scholar] [CrossRef]
- Torrisi, V.; Ruffino, F. Metal-polymer nanocomposites: (Co-)evaporation/(Co)sputtering approaches and electrical properties. Coatings 2015, 5, 378–424. [Google Scholar] [CrossRef]
- Thompson, R.B.; Ginzburg, V.V.; Matsen, M.W.; Balazs, A.C. Predicting the mesophases of copolymer-nanoparticle composites. Science 2001, 292, 2469–2472. [Google Scholar] [CrossRef] [PubMed]
- Balazs, A.; Emrick, T.; Russel, T.P. Nanoparticle polymer composites: Where two small worlds meet. Science 2006, 314, 1107–1110. [Google Scholar] [CrossRef] [PubMed]
- Boal, A.K.; Ilhan, F.; De Rouchey, J.E.; Thurn-Albrecht, T.; Russel, T.P.; Rotello, V.M. Self-assembly of nanoparticles into structured spherical and network aggregates. Nature (London) 2000, 404, 746–748. [Google Scholar] [CrossRef] [PubMed]
- Balan, L.; Burget, D. Synthesis of metal/polymer nanocomposite by UV-radiation curing. Eur. Polym. J. 2006, 42, 3180–3189. [Google Scholar] [CrossRef]
- Jose’-Yacama’n, M.; Perez, R.; Santiago, P.; Benaissa, M.; Gonsalves, K.; Carlson, G. Microscopic structure of gold particles in a metal polymer composite film. Appl. Phys. Lett. 1996, 69, 913–915. [Google Scholar] [CrossRef]
- Stellacci, F.; Bauer, C.A.; Meyer-Friedrichsen, T.; Wenseleers, W.; Alain, V.; Kuebler, S.M.; Pond, S.J.K.; Zhang, Y.; Marder, S.R.; Perry, J.W. Laser and Electron-beam induced growth of nanoparticles for 2D and 3D metal patterning. Adv. Mater. 2002, 14, 194–198. [Google Scholar] [CrossRef]
- Anyaogu, K.C.; Fedorov, A.V.; Neckers, D.C. Synthesis, characterization, and antifouling potential of functionalized copper nanoparticles. Langmuir 2008, 24, 4340–4346. [Google Scholar] [CrossRef]
- Cioffi, N.; Torsi, L.; Ditaranto, N.; Tantillo, G.; Ghibelli, L.; Sabbatini, L.; Bleve-Zacheo, T.; D’Alessio, M.; Zambonin, P.G.; Traversa, E. Copper nanoparticle/polymer composites with antifungal and bacteriostatic properties. Chem. Mater. 2005, 17, 5255–5262. [Google Scholar] [CrossRef]
- Sambhy, V.; MacBride, M.M.; Peterson, B.R.; Sen, A. Silver bromide nanoparticle/polymer composites: dual action tunable antimicrobial materials. J. Am. Chem. Soc. 2006, 128, 9798–9808. [Google Scholar] [CrossRef] [PubMed]
- Scaiano, J.C.; Billone, P.; Gonzalez, C.M.; Maretti, L.; Marin, M.L.; McGilvray, K.L.; Yuan, N. Photochemical routes to silver and gold nanoparticles. Pure Appl. Chem. 2009, 81, 635–647. [Google Scholar] [CrossRef]
- McGilvray, K.L.; Decan, M.R.; Wang, D.; Scaiano, J.C. facile photochemical synthesis of unprotected aqueous gold nanoparticles. J. Am. Chem. Soc. 2006, 128, 15980–15981. [Google Scholar] [CrossRef] [PubMed]
- Marin, M.L.; McGilvray, K.L.; Scaiano, J.C. Photochemical Strategies for the Synthesis of Gold Nanoparticles from Au(III) and Au(I) Using Photoinduced Free Radical Generation. J. Am. Chem. Soc. 2008, 130, 16572–16584. [Google Scholar] [CrossRef]
- Wang, D.Y.; Lin, H.C.; Yen, C.C. Influence of metal plasma ion implantation on photo-sensitivity of anatase TiO2 thin films. Thin Solid Films 2006, 515, 1047–1052. [Google Scholar] [CrossRef]
- Balan, L.; Malval, J.P.; Schneider, R.; Le Nouen, D.; Lougnot, D.J. In-situ fabrication of polyacrylate–silver nanocomposite through photoinduced tandem reactions involving eosin dye. Polymer 2010, 51, 1363–1369. [Google Scholar] [CrossRef][Green Version]
- Lu, Y.; Mei, Y.; Schrinner, M.; Ballauff, M.; Möller, M.W.; Breu, J. In situ formation of ag nanoparticles in spherical polyacrylic acid brushes by UV irradiation. J. Phys. Chem. C 2007, 111, 7676–7681. [Google Scholar] [CrossRef]
- Balan, L.; Jin, M.; Malval, J.P.; Chaumeil, H.; Defoin, A.; Vidal, L. fabrication of silver nanoparticle-embedded polymer promoted by combined photochemical properties of a 2,7-diaminofluorene derivative dye. Macromolecules 2008, 41, 9359–9365. [Google Scholar] [CrossRef]
- Balan, L.; Schneider, R.; Lougnot, D.J. A new and convenient route to polyacrylate/silver nanocomposites by light-induced cross-linking polymerization. Prog. Org. Coat. 2008, 62, 351–357. [Google Scholar] [CrossRef]
- Balan, L.; Turck, C.; Soppera, O.; Vidal, L.; Lougnot, D.J. Holographic recording with polymer nanocomposites containing silver nanoparticles photogenerated in situ by the interference pattern. Chem. Mater. 2009, 21, 5711–5718. [Google Scholar] [CrossRef]
- Sangermano, M.; Yagci, Y.; Rizza, G. In situ synthesis of silver−epoxy nanocomposites by photoinduced electron transfer and cationic polymerization processes. Macromolecules 2007, 40, 8827–8829. [Google Scholar] [CrossRef]
- Çeper, T.; Arsu, N. Photochemically prepared gold/polymer nanocoatings: Formation of gold mirror. Chem. Phys. 2017, 218, 1700030. [Google Scholar] [CrossRef]
- Anyaogu, K.C.; Cai, X.; Neckers, D.C. Gold nanoparticles photosensitized radical photopolymerization. Photochem. Photobiol. Sci. 2008, 7, 1469–1472. [Google Scholar] [CrossRef] [PubMed]
- Yagci, Y.; Sangermano, M.; Rizza, G. In situ synthesis of gold-cross-linked poly(ethylene glycol) nanocomposites by photoinduced electron transfer and free radical polymerization processes. Chem. Commun. 2008, 2771–2773. [Google Scholar] [CrossRef]
- Lalevée, J.; Blanchard, N.; Tehfe, M.A.; Peter, M.; Morlet-Savary, F.; Fouassier, J.P. A novel photopolymerization initiating system based on an iridium complex photocatalyst. Macromol. Rapid Commun. 2011, 32, 917–920. [Google Scholar] [CrossRef]
- Tehfe, M.A.; Lepeltier, M.; Dumur, F.; Gigmes, D.; Fouassier, J.P.; Lalevée, J. structural effects in the iridium complex series: Photoredox catalysis and photoinitiation of polymerization reactions under visible lights. Macromol. Chem. Phys. 2017, 218, 1700192. [Google Scholar] [CrossRef]
- Tehfe, M.A.; Lalevée, J.; Telitel, S.; Sun, J.; Zhao, J.; Graff, B.; Morlet-Savary, F.; Fouassier, J.P. Iridium complexes incorporating coumarin moiety as catalyst photoinitiators: Towards household green LED bulb and halogen lamp irradiation. Polymer 2012, 53, 2803–2808. [Google Scholar] [CrossRef]
- Tehfe, M.A.; Dumur, F.; Telitel, S.; Gigmes, D.; Contal, E.; Bertin, D.; Morlet-Savary, F.; Graff, B.; Fouassier, J.P.; Lalevée, J. Zinc-based metal complexes as new photocatalysts in polymerization initiating systems. Eur. Polym. J. 2013, 49, 1040–1049. [Google Scholar] [CrossRef]
- Xiao, P.; Dumur, F.; Zhang, J.; Fouassier, J.P.; Gigmes, D.; Lalevée, J. Copper complexes in radical photoinitiating systems: Applications to free radical and cationic polymerization upon visible LEDs. Macromolecules 2014, 47, 3837–3844. [Google Scholar] [CrossRef]
- Al Mousawi, A.; Kermagoret, A.; Versace, D.L.; Toufaily, J.; Hamieh, T.; Graff, B.; Dumur, F.; Gigmes, D.; Fouassier, J.P.; Lalevée, J. Copper photoredox catalysts for polymerization upon near UV or visible light: Structure/reactivity/efficiency relationships and use in LED projector 3D printing resins. Polym. Chem. 2017, 8, 568–580. [Google Scholar] [CrossRef]
- Xiao, P.; Zhang, J.; Campolo, D.; Dumur, F.; Gigmes, D.; Fouassier, J.P.; Lalevée, J. Copper and iron complexes as visible-light-sensitive photoinitiators of polymerization. J. Polym. Sci. Part A 2015, 53, 2673–2684. [Google Scholar] [CrossRef]
- Firmino, G.S.S.; De Souza, M.V.N.; Pessoa, C.; Lourenco, M.C.S.; Resende, J.A.L.C.; Lessa, J.A. Synthesis and evaluation of copper (II) complexes with isoniazid-derived hydrazones as anticancer and antitubercular agents. BioMetals 2016, 29, 953–963. [Google Scholar] [CrossRef] [PubMed]
- Bergamini, F.R.G.; Nunes, J.H.B.; De Carvalho, M.A.; Ribeiro, M.A.; De Paiva, P.P.; Banzato, T.P.; Ruiz, A.L.T.G.; De Carvalho, J.E.; Lustri, W.R.; Martins, D.O.T.A.; et al. Polynuclear copper(II) complexes with nalidixic acid hydrazones: Antiproliferative activity and selectivity assessment over a panel of tumor cells. Inorganica Chim. Acta 2019, 484, 491–502. [Google Scholar] [CrossRef]
- Rocha, C.S.; Filho, L.F.O.B.; De Souza, A.E.; Diniz, R.; Denadai, Â.M.L.; Beraldo, H.; Teixeira, L.R. Structural studies and investigation on the antifungal activity of silver(I) complexes with 5-nitrofuran-derived hydrazones. Polyhedron 2019, 170, 723–730. [Google Scholar] [CrossRef]
- Bakale, R.P.; Naik, G.N.; Machakanur, S.S.; Mangannavar, C.V.; Muchchandi, I.S.; Gudasi, K.B. Structural characterization and antimicrobial activities of transition metal complexes of a hydrazone ligand. J. Mol. Struct. 2018, 1154, 92–99. [Google Scholar] [CrossRef]
- Ramachandran, E.; Gandin, V.; Bertani, R.; Sgarbossa, P.; Natarajan, K.; Bhuvanesh, N.S.P.; Venzo, A.; Zoleo, A.; Glisenti, A.; Dolmella, A.; et al. Synthesis, characterization and cytotoxic activity of novel copper (II) complexes with aroylhydrazone derivatives of 2-Oxo-1,2-dihydrobenzo[h]quinoline-3-carbaldehyde. J. Inorg. Biochem. 2018, 182, 18–28. [Google Scholar] [CrossRef]
- Rehm, D.; Weller, A. Kinetics of fluorescence quenching by electron and h-atom transfer. Isr. J. Chem. 1970, 8, 259–271. [Google Scholar] [CrossRef]
- Manivannan, S.; Dhanuskodi, S. Synthesis, crystal growth, structural and optical properties of an organic NLO material. J. Cryst. Growth 2004, 262, 473–478. [Google Scholar] [CrossRef]
- Kashar, T.I. Synthesis, characterization, biological and anticancer activity of new Pd (II), Pt (IV), V (III) and Ru (III) complexes with a schiff base ligand deriving from dehydroacetic acid. J. Chem. Pharm. Res. 2017, 9, 164–173. [Google Scholar]
- AbouEl-Enein, S.; El-Saied, F.A.; Emam, S.M.; Ell-Salamony, M.A. First raw transition metal complexes of salicylidene and 2- hydroxy-1-naphthylidene-N-cyanoacetohydrazone. Spectrochim. Acta Part A 2008, 71, 421–429. [Google Scholar] [CrossRef]
- Phaniband, M.A.; Dhumwad, S.D.; Pattan, S.R. Synthesis, characterization, antimicrobial, and DNA cleavage studies of metal complexes of coumarin Schiff bases. Med. Chem. Res. 2011, 20, 493–502. [Google Scholar] [CrossRef]
- Nakamoto, K. Infrared and raman spectra of inorganic and coordination compounds. Appl. Organomet. Chem. 1999, 13, 857–858. [Google Scholar]
- Deng, J.; Chen, W.; Deng, H. Synthesis of Dipyridyl Ketone Isonicotinoyl Hydrazone Copper(II) Complex: Structure, Anticancer Activity and Anticancer Mechanism. J. Fluoresc. 2016, 26, 1987–1996. [Google Scholar] [CrossRef] [PubMed]
- Chew, S.T.; Lo, K.M.; Lee, S.K.; Heng, M.P.; Teoh, W.Y.; Sim, K.S.; Tan, K.W. Copper complexes with phosphonium containing hydrazone ligand: Topoisomerase inhibition and cytotoxicity study. Eur. J. Med. Chem. 2014, 76, 397–407. [Google Scholar] [CrossRef]
- Vafazadeh, R.; Moghadas, Z.; Willis, A.C. Anion and solvent effects on the coordination behavior of N-(2-pyridinylmethylene)benzoylhydrazone with copper(II): Synthesis and structural characterization. J. Coord. Chem. 2015, 68, 4255–4271. [Google Scholar] [CrossRef]
- Wong, K.M.-C.; Hung, L.-L.; Lam, W.H.; Zhu, N.; Yam, V.W.-W. A class of luminescent cyclometalated alkynylgold(iii) complexes: Synthesis, characterization, and electrochemical, photophysical, and computational studies of [Au(C∧N∧C)(CtCsR)] (C∧N∧C) K3C,N,C Bis-cyclometalated 2,6-Diphenylpyridyl). J. Am. Chem. Soc. 2007, 129, 4350–4365. [Google Scholar] [CrossRef]
- Kumar, D.; Syamal, A.; Gupta, P.K. Coordination compounds of polystyrene-supported azo dye. J. Indian Chem. Soc. 2007, 84, 217–222. [Google Scholar]
- Osman, A.H. Synthesis and characterization of cobalt (II) and nickel (II) complexes of some Schiff bases derived from 3-hydrazino-6-methyl [1,2,4] triazin-5(4H) one. Transit. Met. Chem. 2006, 31, 35–41. [Google Scholar] [CrossRef]
- Bharti, S.K.; Patel, S.K.; Nath, G.; Tilak, R.; Singh, S.K. Synthesis, characterization, DNA cleavage and in vitro antimicrobial activities of copper (II) complexes of Schiff bases containing a 2,4-disubstituted thiazole. Transit. Met. Chem. 2010, 35, 917–925. [Google Scholar] [CrossRef]
- Lalevée, J.; Dumur, F.; Mayer, C.R.; Gigmes, D.; Nasr, G.; Tehfe, M.A.; Telitel, S.; Morlet-Savary, F.; Graff, B.; Fouassier, J.P. Photopolymerization of N-Vinylcarbazole using visible-light harvesting iridium complexes as photoinitiators. Macromolecules 2012, 45, 4134–4141. [Google Scholar] [CrossRef]
- Newman, J.D.S.; Blanchard, G.J. Formation of gold nanoparticles using amine reducing agents. Langmuir 2006, 22, 5882–5887. [Google Scholar] [CrossRef] [PubMed]
- Bindhu, M.R.; Parimaladevi, R.; Umadevi, M. Monodispersed gold nanoparticles as a probe for the detection of Hg2+ ions in water. Acta Chim. Slov. 2017, 64, 186–192. [Google Scholar]
- Ghosh, P.; Chattopadhyay, N. Gold nanoparticles: Acceptors for efficient energy transfer from the photoexcited fluorophores. Opt. Photonics J. 2013, 3, 18–26. [Google Scholar] [CrossRef]
- Tsuji, M.; Hashimoto, M.; Nishizawa, Y.; Tsujiy, T. Preparation of gold nanoplates by a microwave-polyol method. Chem. Lett. 2003, 32, 1114–1115. [Google Scholar] [CrossRef]
- Alsawafta, M.; Badilescu, S.; Paneri, A.; Truong, V.V.; Packirisamy, M. Gold-Poly(methyl methacrylate) nanocomposite films for plasmonic biosensing applications. Polymers 2011, 3, 1833–1848. [Google Scholar] [CrossRef]
- Lin, J.T.; Liu, H.W.; Chen, K.T.; Cheng, D.C. Modeling the optimal conditions for improved efficacy and crosslink depth of photo-initiated polymerization. Polymers 2019, 11, 217. [Google Scholar] [CrossRef]
- Abdallah, M.; Hijazi, A.; Lin, J.-T.; Graff, B.; Dumur, F.; Lalevée, J. Coumarin derivatives as photoinitiators in photo-oxidation and photo-reduction processes and a kinetic model for simulations of the associated polymerization profiles. App. Polym. Mater. 2020, 2, 2769–2780. [Google Scholar] [CrossRef]














| ε (M−1 cm−1) | λmax (nm) | Solvents |
|---|---|---|
| 8270 | 398 | Acetonitrile |
| 9900 | 398 | Methanol |
| 12,390 | 407 | DMF |
| 21,260 | 398 | Chloroform |
| Eox vs. SCE* [V] [HLCuCl] | E*[eV] [HLCuCl] | ∆Get (HLCuCl II /Iod) (eV) | ∆Get (HLCuCl II /TEA) (eV) |
|---|---|---|---|
| 1.44 | 2.8 | −1.16 | −0.82 |
© 2020 by the authors. Licensee MDPI, Basel, Switzerland. This article is an open access article distributed under the terms and conditions of the Creative Commons Attribution (CC BY) license (http://creativecommons.org/licenses/by/4.0/).
Share and Cite
Tar, H.; Kashar, T.I.; Kouki, N.; Aldawas, R.; Graff, B.; Lalevée, J. Novel Copper Photoredox Catalysts for Polymerization: An In Situ Synthesis of Metal Nanoparticles. Polymers 2020, 12, 2293. https://doi.org/10.3390/polym12102293
Tar H, Kashar TI, Kouki N, Aldawas R, Graff B, Lalevée J. Novel Copper Photoredox Catalysts for Polymerization: An In Situ Synthesis of Metal Nanoparticles. Polymers. 2020; 12(10):2293. https://doi.org/10.3390/polym12102293
Chicago/Turabian StyleTar, Haja, Tahani I. Kashar, Noura Kouki, Reema Aldawas, Bernadette Graff, and Jacques Lalevée. 2020. "Novel Copper Photoredox Catalysts for Polymerization: An In Situ Synthesis of Metal Nanoparticles" Polymers 12, no. 10: 2293. https://doi.org/10.3390/polym12102293
APA StyleTar, H., Kashar, T. I., Kouki, N., Aldawas, R., Graff, B., & Lalevée, J. (2020). Novel Copper Photoredox Catalysts for Polymerization: An In Situ Synthesis of Metal Nanoparticles. Polymers, 12(10), 2293. https://doi.org/10.3390/polym12102293
