Effect of Magnesium Hydroxide and Aluminum Hydroxide on the Thermal Stability, Latent Heat and Flammability Properties of Paraffin/HDPE Phase Change Blends
Abstract
1. Introduction
2. Materials and Methods
2.1. Materials
2.2. Preparation of Expanded Graphite
2.3. Preparation of Blend and Composite Samples
2.4. Sample Analysis
2.4.1. Scanning Electron Microscopy
2.4.2. Thermal Stability Test
2.4.3. Differential Scanning Calorimeter
2.4.4. Cone Calorimeter
3. Result and Discussion
3.1. Char Residue Morphology by SEM
3.2. Thermal Stability
3.3. Differential Scanning Calorimeter
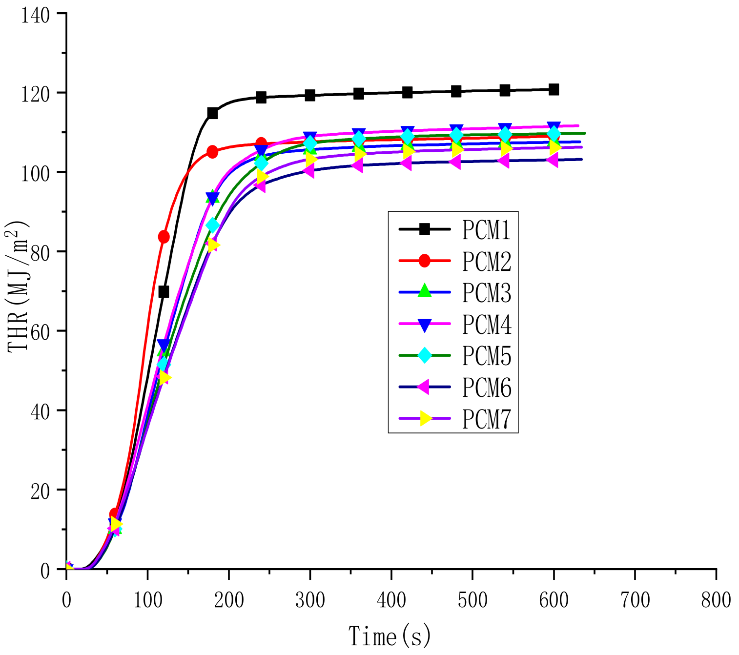
3.4. Flammability Properties
4. Conclusions
Author Contributions
Funding
Conflicts of Interest
References
- Sharma, A.; Tyagi, V.V.; Chen, C.R. Review on thermal energy storage with phase change materials and applications. Renew. Sustain. Energy Rev. 2009, 13, 318–345. [Google Scholar] [CrossRef]
- Ye, H.; Chen, J. Experiment and research on phase change heat storage enclosure structure. Housing Sci. 2017, 37, 47–51. [Google Scholar]
- Guo, J.S.; Xie, D.L.; Zhang, X.Y. Application of phase change materials in thermal insulation for building. P Coat. Ind. 2014, 44, 56–61. [Google Scholar]
- Peng, S.; Fuchs, A.; Wirtz, R.A. Polymeric phase change composites for thermal energy storage. J. Appl. Polym. Sci. 2004, 93, 1240–1251. [Google Scholar] [CrossRef]
- Bo, H.; Gustafsson, E.M.; Setterwall, F. Tetradecane and hexadecane binary mixtures as phase change materials (PCMs) for cool storage in district cooling systems. Energy 1999, 24, 1015–1028. [Google Scholar] [CrossRef]
- Sun, Z.; Zhang, Y.; Zheng, S. Preparation and thermal energy storage properties of paraffin/calcined diatomite composites as form-stable phase change materials. Thermochim. Acta 2013, 558, 16–21. [Google Scholar] [CrossRef]
- Cheng, W.L.; Zhang, R.M.; Xie, K. Heat conduction enhanced shape-stabilized paraffin/HDPE composite PCMs by graphite addition: Preparation and thermal properties. Sol. Energy Mater. Sol. Cells 2010, 94, 1636–1642. [Google Scholar] [CrossRef]
- Lin, J.; Zhu, X.; Ya, X.G. Study on Exudation Stability of Polyethylene/Paraffin Phase Change Storage Material. Plasma Sci. Technol. 2014, 42, 49–52. [Google Scholar]
- Li, J.L.; Xue, P.; Wang, Y.; Yang, R.; Zhang, Y.P. Overview of researches on solid-solid and form stable phase change materials. Chem. Ind. Eng. Prog. 2007, 26, 1425–1428. [Google Scholar]
- Inaba, H.; Tu, P. Evaluation of thermalphysical characteristics on shape stabilized paraffin as a solid-liquid phase change material. Heat Mass Transf. 1997, 32, 307–312. [Google Scholar] [CrossRef]
- Ducrocq, P.; Duquesne, S.; Magnet, S. Interactions between chlorinated paraffins and melamine in intumescent paint—Investing a way to suppress chlorinated paraffins from the formulations. Prog. Org. Coat. 2006, 57, 430–438. [Google Scholar] [CrossRef]
- Horacek, H.; Pieh, S. The importance of intumescent systems for fire protection of plastic materials. Polym. Int. 2000, 49, 1106–1114. [Google Scholar] [CrossRef]
- Liu, Y.; Yi, J.S.; Cai, X.F. The investigation of intumescent flame-retarded polypropylene using poly (hexamethylene terephthalamide) as carbonization agent. J. Therm. Anal. Calorim. 2012, 107, 1191–1197. [Google Scholar] [CrossRef]
- Sarannya, V.; Sivasamy, P.; Mathan, N.D. Study of thermal properties of intumescent additive. J. Therm. Anal. Calorim. 2010, 102, 1071–1077. [Google Scholar] [CrossRef]
- Giulia, F.; Andrea, D.; Luca, F. Wax Confifinement with Carbon Nanotubes for Phase Changing Epoxy Blends. Polymers 2017, 9, 405–421. [Google Scholar]
- Ou, Y.X.; Fang, X.M. Status quo and development trends of metal hydroxides based flame retardants. Fine Specif. Chem. 2007, 15, 1–5. [Google Scholar]
- Chen, J.; Gu, X.; Jun, S. Improvement of flame retardancy of ethylene-vinyl acetate copolymer with Al(OH)3 and Mg(OH)2. China Plast. 2017, 31, 68–72. [Google Scholar]
- Cai, Y.B.; Wei, Q.; Huang, F.; Lin, S.; Chen, F.; Gao, W. Thermal stability, latent heat and flame retardant properties of the thermal energy storage phase change materials based on paraffin/high-density polyethylene composites. Renew. Energy 2009, 34, 2117–2123. [Google Scholar] [CrossRef]
- Zhang, P.; Song, L.; Lu, H.; Wang, J.; Hu, Y. The influence of expanded graphite on thermal properties for paraffin/high density polyethylene/chlorinated paraffin/antimony trioxide as a flame retardant phase change material. Energy Convers. Manag. 2010, 51, 2733–2737. [Google Scholar] [CrossRef]
- Sittisart, P.; Farid, M.M. Fire retardants for phase change materials. Appl. Energy 2011, 88, 3140–3145. [Google Scholar] [CrossRef]
- Hu, Y.C.; Pan, J.; Xu, W.B. Study on synergistic flame retardance of Sb2O3 in EVA/MH composites. China Plastics Indus. 2019, 47, 115–118. [Google Scholar]
- Cai, Y.B.; Wei, Q.F.; Shao, D.F. Magnesium hydroxide and microencapsulated red phosphorus synergistic flame retardant form stable phase change materials based on HDPE/EVA/OMT nanocomposites/paraffin compounds. J. Energy Inst. 2009, 82, 28–36. [Google Scholar] [CrossRef]
- Ding, Y.M.; Fukumoto, K.; Ezekoye, O.A.; Lu, S.X.; Wang, C.G. Experimental and numerical simulation of multi-component combustion of typical charring material. Combust. Flame 2020, 211, 417–429. [Google Scholar] [CrossRef]
- Mochane, M.J.; Luyt, A.S. The effect of expanded graphite on the flammability and thermal conductivity properties of phase change material based on PP/wax blends. Polym. Bull. 2015, 72, 2263–2283. [Google Scholar] [CrossRef]
- Krupa, I.G.; Luyt, A.S. Phase change materials based on low-density polyethylene/paraffin wax blends. Eur. Polym. J. 2007, 43, 4695–4705. [Google Scholar] [CrossRef]
- Zhang, R.Y.; Mao, L.B. Progress in research and application of paraffin wax phase change material. Mater. Res. Appl. 2008, 2, 89–92. [Google Scholar]
- Wang, G.; Guo, C.G.; Li, L.P. Effect of intumescent flame retardant on pyrolysis and phase change energy storage property of paraffin/polypropylene blends as form-stable phase change materials. New. Chem. Mater. 2014, 42, 104–106. [Google Scholar]
- Lewin, M. Flame retarding polymer nanocomposites: Synergism, cooperation, antagonism. Polym. Degrad. Stab. 2011, 96, 256–269. [Google Scholar] [CrossRef]
- Ye, L.; Qu, B. Flammability characteristics and flame retardant mechanism of phosphate-intercalated hydrotalcite in halogen-free flame retardant EVA blends. Polym. Degrad. Stab. 2008, 93, 918–924. [Google Scholar] [CrossRef]
- Shi, L.; Chew, M.Y. A review of fire processes modeling of combustible materials under external heat flux. Fuel 2013, 106, 30–50. [Google Scholar] [CrossRef]












| Paraffin | HDPE | ATH | MH | |
|---|---|---|---|---|
| Melting Temperature/°C | 58–60 | 120–130 | -- | -- |
| Decomposition Temperature/°C | -- | 420 | 220 | 340 |
| Density/g/cm3 | 0.9 | 0.95 | 2.4 | 2.36 |
| Thermal Conductivity/W/(m·K) | 0.12 | 0.5 | -- | -- |
| Sample | a Paraffin/g | a HDPE/g | EG/g | ATH/g | MH/g | b Antioxidant1010/g |
|---|---|---|---|---|---|---|
| PCM1 | 28 | 12 | 0 | 0 | 0 | 0.12 |
| PCM2 | 23.8 | 10.2 | 6 | 0 | 0 | 0.12 |
| PCM3 | 18.2 | 7.8 | 6 | 0 | 8 | 0.12 |
| PCM4 | 18.2 | 7.8 | 6 | 2 | 6 | 0.12 |
| PCM5 | 18.2 | 7.8 | 6 | 4 | 4 | 0.12 |
| PCM6 | 18.2 | 7.8 | 6 | 6 | 2 | 0.12 |
| PCM7 | 18.2 | 7.8 | 6 | 8 | 0 | 0.12 |
| Samples | T1/°C | T2/°C | T3/°C | Char Residue/% |
|---|---|---|---|---|
| PCM1 | 62.8 | 323.3 | 476.3 | 0 |
| PCM2 | 64.1 | 332.6 | 488.1 | 17.6 |
| PCM3 | 63.4 | 327.9 | 486.4 | 32.9 |
| PCM4 | 68.2 | 318.2 | 486.2 | 30.8 |
| PCM5 | 57.6 | 321.2 | 488.3 | 31.6 |
| PCM6 | 63.1 | 317.9 | 488.4 | 26.2 |
| PCM7 | 62.1 | 321.6 | 488.7 | 26.3 |
| Samples | Transition Temperature/°C | Melting Temperature/°C | Latent Heat/J g−1 | Theoretical Value/J g−1 |
|---|---|---|---|---|
| paraffin | 50.4 | 68.1 | 93.5 | - |
| PCM1 | 49.8 | 69.2 | 59.0 | 65.4 |
| PCM2 | 50.6 | 69.3 | 41.0 | 55.6 |
| PCM3 | 49.9 | 68.8 | 30.1 | 42.5 |
| PCM4 | 51.2 | 68.6 | 36.7 | 42.5 |
| PCM5 | 50.9 | 67.0 | 30.5 | 42.5 |
| PCM6 | 50.3 | 68.0 | 35.8 | 42.5 |
| PCM7 | 51.3 | 69.9 | 32.0 | 42.5 |
| Sample | PHRR (kW/m2) | THR (MJ/m2) | TTI (s) | tPHRR (s) | MLR (g/s) |
|---|---|---|---|---|---|
| PCM1 | 1570.2 | 120.8 | 25 | 86 | 0.3 |
| PCM2 | 1098.2 | 109.0 | 28 | 108 | 0.2 |
| PCM3 | 859.9 | 107.6 | 30 | 98 | 0.17 |
| PCM4 | 827.7 | 111.7 | 31 | 94 | 0.15 |
| PCM5 | 762.9 | 109.9 | 34 | 96 | 0.14 |
| PCM6 | 655.9 | 103.0 | 38 | 90 | 0.13 |
| PCM7 | 703.4 | 106.2 | 29 | 86 | 0.16 |
© 2020 by the authors. Licensee MDPI, Basel, Switzerland. This article is an open access article distributed under the terms and conditions of the Creative Commons Attribution (CC BY) license (http://creativecommons.org/licenses/by/4.0/).
Share and Cite
Zhou, R.; Ming, Z.; He, J.; Ding, Y.; Jiang, J. Effect of Magnesium Hydroxide and Aluminum Hydroxide on the Thermal Stability, Latent Heat and Flammability Properties of Paraffin/HDPE Phase Change Blends. Polymers 2020, 12, 180. https://doi.org/10.3390/polym12010180
Zhou R, Ming Z, He J, Ding Y, Jiang J. Effect of Magnesium Hydroxide and Aluminum Hydroxide on the Thermal Stability, Latent Heat and Flammability Properties of Paraffin/HDPE Phase Change Blends. Polymers. 2020; 12(1):180. https://doi.org/10.3390/polym12010180
Chicago/Turabian StyleZhou, Ru, Zhuang Ming, Jiapeng He, Yanming Ding, and Juncheng Jiang. 2020. "Effect of Magnesium Hydroxide and Aluminum Hydroxide on the Thermal Stability, Latent Heat and Flammability Properties of Paraffin/HDPE Phase Change Blends" Polymers 12, no. 1: 180. https://doi.org/10.3390/polym12010180
APA StyleZhou, R., Ming, Z., He, J., Ding, Y., & Jiang, J. (2020). Effect of Magnesium Hydroxide and Aluminum Hydroxide on the Thermal Stability, Latent Heat and Flammability Properties of Paraffin/HDPE Phase Change Blends. Polymers, 12(1), 180. https://doi.org/10.3390/polym12010180

