Improving UV Resistance of Aramid Fibers by Simultaneously Synthesizing TiO2 on Their Surfaces and in the Interfaces Between Fibrils/Microfibrils Using Supercritical Carbon Dioxide
Abstract
1. Introduction
2. Materials and Methods
2.1. Materials
2.2. Synthesis of TiO2 in scCO2
2.3. Characterizations
3. Results and Discussion
3.1. Influence of the Treatment on the Structures of AF-III Fibers
3.1.1. Crystalline Structure
3.1.2. FTIR Analysis
3.1.3. Surface and Interior Morphology of the Fibril/Microfibril
3.1.4. XPS Analysis
3.1.5. Mass of Added TiO2 on the Surface of Aramid Fibers
3.2. Mechanical Properties of AF-III
3.3. UV-Resistance Analysis
3.3.1. UV-Vis Analysis
3.3.2. Mechanical Properties
3.3.3. Surface Compositions
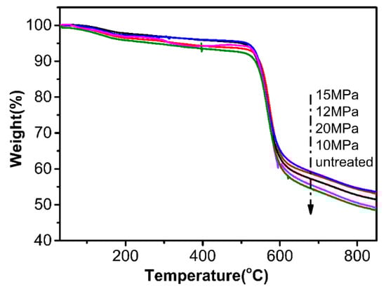
3.4. Thermogravimetric Analysis (TGA)
3.5. Potential Mechanism of Modification
4. Conclusions
Author Contributions
Funding
Acknowledgments
Conflicts of Interest
References
- Zhang, S.H.; He, G.Q.; Liang, G.Z.; Cui, H.; Zhang, W.; Wang, B. Comparison of f-12 aramid fiber with domestic armid fiber iii on surface feature. Appl. Surf. Sci. 2010, 256, 2104–2109. [Google Scholar] [CrossRef]
- Rodríguez-Uicab, O.; Avilés, F.; González-Chi, P.I.; Canché-Escamilla, G.; Duarte-Aranda, S.; Yazdani-Pedram, M.; Toro, P.; Gamboa, F.; Mazo, M.; Nistal, A. Deposition of carbon nanotubes onto aramid fibers using as-received and chemically modified fibers. Appl. Surf. Sci. 2016, 385, 379–390. [Google Scholar] [CrossRef]
- Ghosh, L.; Fadhilah, M.H.; Kinoshita, H.; Ohmae, N. Synergistic effect of hyperthermal atomic oxygen beam and vacuum ultraviolet radiation exposures on the mechanical degradation of high-modulus aramid fibers. Polymer 2006, 47, 6836–6842. [Google Scholar] [CrossRef]
- Gu, H. Ultraviolet treatment on high performance filaments. Mater. Des. 2005, 26, 47–51. [Google Scholar] [CrossRef]
- Said, M.A.; Dingwall, B.; Gupta, A.; Seyam, A.M.; Mock, G.; Theyson, T. Investigation of ultra violet (uv) resistance for high strength fibers. Adv. Space Res. 2006, 37, 2052–2058. [Google Scholar] [CrossRef]
- Zhang, H.; Zhang, J.; Chen, J.; Hao, X.; Wang, S.; Feng, X.; Guo, Y. Effects of solar uv irradiation on the tensile properties and structure of ppta fiber. Polym. Degrad. Stab. 2006, 91, 2761–2767. [Google Scholar] [CrossRef]
- Jin, J.; Li, G.; Yang, S.; Jiang, J. Effects of light stabilizer on the ultraviolet stability of poly-p-phenylenebenzobisoxazole (pbo) fibers. Iran. Polym. J. 2012, 21, 739–745. [Google Scholar] [CrossRef]
- Lee, Y.I.; Jung, M.H.; Lee, M.C. Improvement of photo-stability for p-aramid fibers by sio2/tio2sol-gel method. Text. Coloration Finish. 2013, 25, 172–180. [Google Scholar] [CrossRef]
- Li, S.; Gu, A.; Xue, J.; Liang, G.; Yuan, L. The influence of the short-term ultraviolet radiation on the structure and properties of poly(p-phenylene terephthalaramide) fibers. Appl. Surf. Sci. 2013, 265, 519–526. [Google Scholar] [CrossRef]
- Pakdel, E.; Daoud, W.A.; Sun, L.; Wang, X. Visible and uv functionality of tio2 ternary nanocomposites on cotton. Appl. Surf. Sci. 2014, 321, 447–456. [Google Scholar] [CrossRef]
- Park, S.M.; Kwon, I.J.; Sim, J.H.; Lee, J.H.; Kim, S.S.; Lee, M.C.; Choi, J.S. Improving the photo-stability of p-aramid fiber by tio2nanosol. Text. Coloration Finish. 2013, 25, 126–133. [Google Scholar] [CrossRef][Green Version]
- Cheng, Z.; Hong, D.; Dai, Y.; Jiang, C.; Meng, C.; Luo, L.; Liu, X. Highly improved uv resistance and composite interfacial properties of aramid fiber via iron (iii) coordination. Appl. Surf. Sci. 2018, 434, 473–480. [Google Scholar] [CrossRef]
- Kim, Y. Ultraviolet protection finishes for textiles. In Functional Finishes for Textiles: Improving Comfort, Performance and Protection; Elsevier: Amsterdam, The Netherland, 2014; p. 463. [Google Scholar]
- Mao, N. High performance textiles for protective clothing. In High Performance Textiles and Their Applications; Elsevier: Amsterdam, The Netherlands, 2014; pp. 91–143. [Google Scholar]
- Allen, N.S.; Edge, M.; Verran, J.; Stratton, J.; Maltby, J.; Bygott, C. Photocatalytic titania based surfaces: Environmental benefits. Polym. Degrad. Stab. 2008, 93, 1632–1646. [Google Scholar] [CrossRef]
- Yao, J.; Jin, J.; Lepore, E.; Pugno, N.M.; Bastiaansen, C.W.M.; Peijs, T. Electrospinning of p-aramid fibers. Macromol. Mater. Eng. 2016, 300, 1238–1245. [Google Scholar] [CrossRef]
- Xing, Y.; Ding, X. Uv photo-stabilization of tetrabutyl titanate for aramid fibers via sol-gel surface modification. J. Appl. Polym. Sci. 2007, 103, 3113–3119. [Google Scholar] [CrossRef]
- Deng, H.; Zhang, H. In situ synthesis and hydrothermal crystallization of nanoanatase tio2-sio2 coating on aramid fabric (htisiaf) for uv protection. Microsc. Res. Tech. 2015, 78, 918–925. [Google Scholar] [CrossRef]
- Walsh, P.J.; Hu, X.; Cunniff, P.; Lesser, A.J. Environmental effects on poly-p-phenylenebenzobisoxazole fibers. I. Mechanisms of degradation. J. Appl. Polym. Sci. 2010, 102, 3517–3525. [Google Scholar] [CrossRef]
- Walsh, P.J.; Hu, X.; Cunniff, P.; Lesser, A.J. Environmental effects on poly-p-phenylenebenzobisoxazole fibers. II. Attempts at stabilization. J. Appl. Polym. Sci. 2010, 102, 3819–3829. [Google Scholar] [CrossRef]
- Brown, J.R.; Browne, N.M.; Burchill, P.J.; Egglestone, G.T. Photochemical ageing of kevlar 49. Text. Res. J. 1983, 53, 214–219. [Google Scholar] [CrossRef]
- Arrieta, C.; David, É.; Dolez, P.; Vu-Khanh, T. Hydrolytic and photochemical aging studies of a kevlar®-pbi blend. Polym. Degrad. Stab. 2011, 96, 1411–1419. [Google Scholar] [CrossRef]
- Quye, A. Factors influencing the stability of man-made fibers: A retrospective view for historical textiles. Polym. Degrad. Stab. 2014, 107, 210–218. [Google Scholar] [CrossRef]
- Choi, C.; Yoon, Y.; Hong, D.; Brammer, K.S.; Noh, K.; Oh, Y.; Oh, S.; Talke, F.E.; Jin, S. Strongly superhydrophobic silicon nanowires by supercritical co2 drying. Electron. Mater. Lett. 2010, 6, 59–64. [Google Scholar] [CrossRef]
- Costa, L.I.; Storti, G. Kinetic modeling of precipitation and dispersion polymerizations. In Polymer Reaction Engineering of Dispersed Systems; Springer: Cham, Switzerland, 2017; pp. 45–77. [Google Scholar]
- Lee, S.H.; Park, S.; Kim, M.; Yoon, D.; Chanthad, C.; Cho, M.; Kim, J.; Park, J.H.; Lee, Y. Supercritical carbon dioxide-assisted process for well-dispersed silicon/graphene composite as a li ion battery anode. Sci. Rep. 2016, 6, 32011. [Google Scholar] [CrossRef] [PubMed]
- Mumin, M.A.; Moula, G.; Charpentier, P.A. Supercritical co2 synthesized tio2 nanowires covalently linked with core-shell cds-zns quantum dots: Enhanced photocatalysis and stability. RSC Adv. 2015, 5, 67767–67779. [Google Scholar] [CrossRef]
- Ramsey, E.; Sun, Q.; Zhang, Z.; Zhang, C.; Gou, W. Mini-review: Green sustainable processes using supercritical fluid carbon dioxide. J. Environ. Sci. 2009, 21, 720–726. [Google Scholar] [CrossRef]
- Saarimaa, V.; Kaleva, A.; Nikkanen, J.P.; Heinonen, S.; Levänen, E.; Väisänen, P.; Markkula, A.; Juhanoja, J. Supercritical carbon dioxide treatment of hot dip galvanized steel as a surface treatment before coating. Surf. Coat. Technol. 2017, 331, 137–142. [Google Scholar] [CrossRef]
- Sanli, D.; Erkey, C. Silylation from supercritical carbon dioxide: A powerful technique for modification of surfaces. J. Mater. Sci. 2015, 50, 7159–7181. [Google Scholar] [CrossRef]
- Yeo, S.D.; Kiran, E. Formation of polymer particles with supercritical fluids: A review. J. Supercrit. Fluids 2005, 34, 287–308. [Google Scholar] [CrossRef]
- Baseri, S.; Karimi, M.; Morshed, M. Study of structural changes and mesomorphic transitions of oriented poly(ethylene therephthalate) fibers in supercritical CO2. Eur. Polym. J. 2012, 48, 811–820. [Google Scholar] [CrossRef]
- Tao, Y.; Pescarmona, P. Nanostructured oxides synthesised via scco2-assisted sol-gel methods and their application in catalysis. Catalysts 2018, 8, 212. [Google Scholar] [CrossRef]
- Yu, Q.; Wu, P.; Xu, P.; Li, L.; Liu, T.; Zhao, L. Synthesis of cellulose/titanium dioxide hybrids in supercritical carbon dioxide. Green Chem. 2008, 10, 1061–1067. [Google Scholar] [CrossRef]
- Zhang, L.; Kong, H.; Qiao, M.; Ding, X.; Yu, M. Growing nano-sio2 on the surface of aramid fibers assisted by supercritical co2 to enhance the thermal stability, interfacial shear strength, and uv resistance. Polymers 2019, 11, 1397. [Google Scholar] [CrossRef] [PubMed]
- Kong, H.; Teng, C.; Liu, X.; Zhou, J.; Zhong, H.; Zhang, Y.; Han, K.; Yu, M. Simultaneously improving the tensile strength and modulus of aramid fiber by enhancing amorphous phase in supercritical carbon dioxide. RSC Adv. 2014, 4, 20599–20604. [Google Scholar] [CrossRef]
- Kong, H.; Xu, Q.; Yu, M. Microstructural changes of aramid fiber due to reaction with toluene 2,4-diisocyanate under tension in scCO2. Polymers 2019, 11, 1110. [Google Scholar] [CrossRef] [PubMed]
- Ding, X.; Kong, H.; Qiao, M.; Hu, Z.; Yu, M. Study on crystallization behaviors and properties of f-iii fibers during hot drawing in supercritical carbon dioxide. Polymers 2019, 11, 856. [Google Scholar] [CrossRef] [PubMed]
- Ahmed, D.; Zhong, H.; Kong, H.; Liu, J.; Ma, Y.; Yu, M. The structural development and the thermal behaviours in the heat treated poly(p-phenylene terephthalamide) fibers. Fibers Polym. 2014, 15, 1850–1854. [Google Scholar] [CrossRef]
- Wang, B.; Duan, Y.; Zhang, J. Titanium dioxide nanoparticles-coated aramid fiber showing enhanced interfacial strength and uv resistance properties. Mater. Des. 2016, 103, 330–338. [Google Scholar] [CrossRef]
- Byrappa, K.; Ohara, S.; Adschiri, T. Nanoparticles synthesis using supercritical fluid technology—Towards biomedical applications. Adv. Drug Deliv. Rev. 2008, 60, 299–327. [Google Scholar] [CrossRef]
- Kruse, N.; Chenakin, S. Xps characterization of au/tio2 catalysts: Binding energy assessment and irradiation effects. Appl. Catal. A Gen. 2011, 391, 367–376. [Google Scholar] [CrossRef]
- Wang, D.; Li, L.; Luo, Q.; An, J.; Li, X.; Yin, R.; Zhao, M. Enhanced visible-light photocatalytic performances of ag3po4 surface-modified with small amounts of tio2 and ag. Appl. Surf. Sci. 2014, 321, 439–446. [Google Scholar] [CrossRef]
- Xu, Y.; You, H. Tio2 modified with ag nanoparticles synthesized via ultrasonic atomization-uv reduction and the use of kinetic models to determine the acetic acid photocatalytic degradation. Appl. Surf. Sci. 2014, 321, 481–487. [Google Scholar] [CrossRef]
- Carlsson, D.J.; Gan, L.H.; Wiles, D.M. Photodegradation of aramids. 11. Irradiation in air. J. Polym. Sci. Polym. Chem. Ed. 1978, 16, 2365–2376. [Google Scholar] [CrossRef]
- Hamilton, L.E.; Sherwood, P.M.; Reagan, B.M. X-ray photoelectron spectroscopy studies of photochemical changes in high-performance fibers. Appl. Spectrosc. 1993, 47, 139–149. [Google Scholar] [CrossRef]
- Li, Y.; Cao, L.; Li, L.; Yang, C. In situ growing directional spindle tio2 nanocrystals on cellulose fibers for enhanced pb(2+) adsorption from water. J. Hazard Mater. 2015, 289, 140–148. [Google Scholar] [CrossRef] [PubMed]













| Sample | Atomic Percent (%) | Atomic Ratio | ||||
|---|---|---|---|---|---|---|
| C | N | O | Ti | O/C | Ti/C | |
| untreated | 76.85 | 5.71 | 17.44 | 0 | 0.2269 | 0 |
| AF-III-scCO2-10MPa | 76.38 | 4.49 | 18.52 | 0.61 | 0.2425 | 0.0080 |
| AF-III-scCO2-12MPa | 72.93 | 4.32 | 21.81 | 0.94 | 0.2991 | 0.0129 |
| AF-III-scCO2-15MPa | 67.98 | 4.13 | 25.23 | 2.66 | 0.3711 | 0.0391 |
| AF-III-scCO2-20MPa | 74.52 | 4.89 | 19.22 | 1.37 | 0.2579 | 0.0184 |
| Samples | Variation of TiO2 Mass | |||
|---|---|---|---|---|
| Pre-Reaction Mass (g) | Post-Reaction Mass (g) | TiO2 Content (mg) | TiO2 Added (wt %) | |
| AF-III-scCO2-10MPa | 0.2885 | 0.2913 | 2.8 | 0.97 |
| AF-III-scCO2-12MPa | 0.3154 | 0.3184 | 3.0 | 0.95 |
| AF-III-scCO2-15MPa | 0.3283 | 0.3361 | 7.8 | 2.38 |
| AF-III-scCO2-20MPa | 0.3019 | 0.3044 | 2.5 | 0.83 |
| Different Treatment Conditions | Residual Mass (%) |
|---|---|
| Untreated | 48.11 |
| AF-III-scCO2-10MPa | 48.77 |
| AF-III-scCO2-12MPa | 52.70 |
| AF-III-scCO2-15MPa | 53.34 |
| AF-III-scCO2-20MPa | 51.18 |
© 2020 by the authors. Licensee MDPI, Basel, Switzerland. This article is an open access article distributed under the terms and conditions of the Creative Commons Attribution (CC BY) license (http://creativecommons.org/licenses/by/4.0/).
Share and Cite
Sun, H.; Kong, H.; Ding, H.; Xu, Q.; Zeng, J.; Jiang, F.; Yu, M.; Zhang, Y. Improving UV Resistance of Aramid Fibers by Simultaneously Synthesizing TiO2 on Their Surfaces and in the Interfaces Between Fibrils/Microfibrils Using Supercritical Carbon Dioxide. Polymers 2020, 12, 147. https://doi.org/10.3390/polym12010147
Sun H, Kong H, Ding H, Xu Q, Zeng J, Jiang F, Yu M, Zhang Y. Improving UV Resistance of Aramid Fibers by Simultaneously Synthesizing TiO2 on Their Surfaces and in the Interfaces Between Fibrils/Microfibrils Using Supercritical Carbon Dioxide. Polymers. 2020; 12(1):147. https://doi.org/10.3390/polym12010147
Chicago/Turabian StyleSun, Hui, Haijuan Kong, Haiquan Ding, Qian Xu, Juan Zeng, Feiyan Jiang, Muhuo Yu, and Youfeng Zhang. 2020. "Improving UV Resistance of Aramid Fibers by Simultaneously Synthesizing TiO2 on Their Surfaces and in the Interfaces Between Fibrils/Microfibrils Using Supercritical Carbon Dioxide" Polymers 12, no. 1: 147. https://doi.org/10.3390/polym12010147
APA StyleSun, H., Kong, H., Ding, H., Xu, Q., Zeng, J., Jiang, F., Yu, M., & Zhang, Y. (2020). Improving UV Resistance of Aramid Fibers by Simultaneously Synthesizing TiO2 on Their Surfaces and in the Interfaces Between Fibrils/Microfibrils Using Supercritical Carbon Dioxide. Polymers, 12(1), 147. https://doi.org/10.3390/polym12010147
