Permeation of a Range of Species through Polymer Layers under Varying Conditions of Temperature and Pressure: In Situ Measurement Methods
Abstract
1. Introduction
1.1. Introduction to Transport through Polymers
1.2. Gas Transport through Polymers
1.3. Electrolyte Transport through Polymers
2. Materials and Methods
2.1. Permeation Testing
- CO2 gas containing 1.5% H2S was pressurised to 150 barg on the top surface of the PPS disc and the concentration of permeated CO2 and H2S measured by gas chromatography. The temperature was then reduced to 80 °C and the concentration of CO2 arriving at the GC was monitored.
- The PPS disc was held at a temperature of 100 °C in the absence of test gas. Once the temperature was reduced to 80 °C, the supercritical CO2 containing 1.5% H2S was pressurised to 150 barg and exposed to the top surface of the PPS disc.
- In another variation, CO2 gas was pressurized successively to 10, 50, 100, 150, 200 and 400 barg with an equilibration time allowed at each pressure step. The volume flow rate of CO2 permeating through the polymer film was allowed to reach a constant value before the pressure was increased to the next value. The pressure increases were achieved without the need to depressurise the cell or disturb the polymer disc.
2.2. Salt Transport Experiments
3. Results
3.1. Transport of CO2 and H2S through Semicrystalline PPS at Various Temperatures
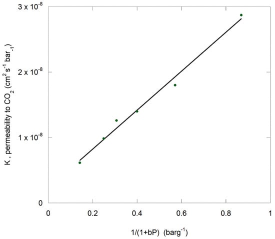
3.2. Transport of CO2 through Semicrystalline PPS at Various Pressures
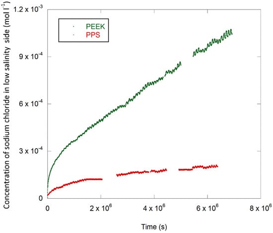
3.3. Transport of Sodium and Potassium Chloride through PPS and PEEK Films
4. Discussion
4.1. Transport of CO2 through Semicrystalline PPS at Varying Temperature and Pressure
4.2. Transport of Sodium Chloride and Potassium Chloride through PPS and PEEK Films
5. Conclusions
Author Contributions
Funding
Acknowledgments
Conflicts of Interest
References
- Popoola, L.K.; Grema, A.S.; Latinwo, G.K.; Gutti, B.; Balogun, A.S. Corrosion problems during oil and gas production and its mitigation. IJIC 2013, 4, 1–15. [Google Scholar] [CrossRef]
- Asrar, N.; MacKay, B.; Birketveit, O.; Stipaničev, M.; Jackson, J.; Jenkins, A.; Mélot, D.; Scheie, J.; Vittonato, J.; Corrosion. The longest war. Oilfield Rev. 2016, 28, 34–49. [Google Scholar]
- Saithala, J.R.; Illson, T.; Thompson, I.; Hilmi, A.; Gao, Y.; Siddle, A.; Ramage, A. Corrosion management of duplex stainless steel gas production flowlines. In Corrosion; NACE: San Antonio, TX, USA, 2014. [Google Scholar]
- Fernando, U.S.; Sheldrake, T.; Davidson, M. Critical Assessment of PVDF Multilayer Barriers in Unbonded Flexible Risers: Applications and Benefits. In Proceedings of the ASME 2013 32nd International Conference on Ocean, Offshore and Arctic Engineering, 4B: Pipeline and Riser Technology, Nantes, France, 9–14 June 2013; ASME: Little Falls, NJ, USA, 2013. [Google Scholar] [CrossRef]
- Messina, N.; Colladon, M.; Fossati, P.; Meynet, C. Internal Lining of Carbon Steel Flowlines with a Plastic Liner Based on a Fluorinated Polymer: Introduction of the Concept and Evidences on CAPEX and OPEX Reductions. In Proceedings of the OTC-26150-MS 2015, Offshore technology Conference, Rio de Janeiro, Brasil, 27–29 October 2015; Offshore Technology Conference Brasil, Rio de Janeiro, Brazil Press: Houston, TX, USA. [Google Scholar] [CrossRef]
- Lefebvre, X.; Pasquier, D.; Gonzalez, S.; Epstein, T.; Chirat, M.; Demanze, F. Development of reactive barrier polymers against corrosion for the oil and gas industry: From formulation to qualification through the development of predictive multiphysics modelling. Oil Gas Sci. Technol. 2015, 70, 291–303. [Google Scholar] [CrossRef]
- Le Gac, P.Y.; Choqueuse, D.; Melot, D.; Melve, B.; Meniconi, L. Life time prediction of polymer used as thermal insulation in offshore oil production conditions: Ageing on real structure and reliability of prediction. Polym. Test. 2014, 34, 168–174. [Google Scholar] [CrossRef]
- Morgan, G.J.; Champion, R.P. CAPP International Research Project on the effects of Chemical Ageing of Polymers on Performance Properties, High Pressure Gas Permeation and Liquid Diffusion Studies of Coflon and Tefzel Thermoplastics; Technical Report NASA/CR-97-207610; NASA: Austin, TX, USA, 19 February 1997; ISBN 139781722432690. [Google Scholar]
- Andersen, T.R.; Skar, J.L.; Hansteen, C. Permeability of methane, carbon dioxide and water in PA11 and PVDF used for flexible pipes. In Corrosion 99; NACE Publication: San Antonio, TX, USA, 1999. [Google Scholar]
- Flaconnèche, B.; Martin, J.; Klopffer, M.H. Transport properties of gases in polymers: Experimental methods. Oil Gas Sci. Technol. Rev. IFP 2001, 56, 245–259. [Google Scholar] [CrossRef]
- Flaconnèche, B.; Martin, J.; Klopffer, M.H. Permeability, diffusion and solubility of gases in polyethylene, polyamide 11 and poly(vinylidene fluoride). Oil Gas Sci. Technol. Rev. IFP 2001, 56, 261–278. [Google Scholar] [CrossRef]
- Campion, R.P.; Morgan, G.J. The accurate measurement of high pressure gas permeation through polymers based on new specimen geometries. In Proceedings of Oilfield Engineering with Polymers; Smithers Rapra: London, UK, 2003. [Google Scholar]
- Sarrasin, F.; Memari, P.; Klopffer, M.H.; Lachet, V.; Taravel Condat, C.; Rousseau, B. Influence of high pressures on CH4, CO2 and H2S solubility in polyethylene: Experimental and molecular simulation approaches for pure gas and gas mixtures. Modelling of the sorption isotherms. J. Membr. Sci. 2015, 490, 380–388. [Google Scholar] [CrossRef]
- Heilman, W.; Tammela, V.; Meyer, J.A.; Stannett, V.; Szwarc, M. Permeability of polymer films to hydrogen sulfide gas. J. Ind. Eng. Chem. 1956, 48, 821–824. [Google Scholar] [CrossRef]
- Stern, S.A.; Bhide, B.D. Permeability of silicone polymers to ammonia and hydrogen sulfide. J. Appl. Polym. Sci. 1989, 38, 2131–2147. [Google Scholar] [CrossRef]
- Merkel, T.C.; Toy, L.G. Comparison of hydrogen sulfide transported properties in fluorinated and non fluorinated polymers. Macromolecules 2006, 39, 7591–7600. [Google Scholar] [CrossRef]
- Flaconnèche, B.; Klopffer, M.H.; Taravel-Condat, C. Transport properties of gas mixtures in polymers: Measurement method, experimental data obtained on thermoplastics. In Oilfield Engineering with Polymers; Rapra Technology: London, UK, 2006; pp. 1–16. [Google Scholar]
- Nilsson, F.; Hallstensson, K.; Johansson, K.; Umar, Z.; Hedenqvist, M.S. Predicting solubility and diffusivity of gases in polymers under high pressure: N2 in polycarbonate and poly(ether-ether-ketone). Ind. Eng. Chem. Res. 2013, 52, 8655–8663. [Google Scholar] [CrossRef]
- Celina, M.; Gillen, K.T. Oxygen permeability measurements on elastomers at temperatures up to 225 °C. Macromolecules 2005, 38, 2754–2763. [Google Scholar] [CrossRef]
- Nguyen, X.Q.; Broz, Z.; Vasak, F.; Nguyen, Q.T. Manometric techniques for determination of gas transport parameters in membranes. Application to the study of dense and asymmetric poly(vinyltrimethylsilane) membranes. J. Membr. Sci. 1994, 91, 65–76. [Google Scholar] [CrossRef]
- Xu, Z.K.; Böhning, M.; Springer, J.; Steinhauser, B.; Mülhaupt, R. Gas transport properties of highly fluorinated polyamide imides. Polymer 1997, 38, 581–588. [Google Scholar] [CrossRef]
- Kresse, I.; Usenko, A.; Springer, J.; Privalko, V. Gas transport properties of soluble poly(amide imide)s. J. Polym. Sci. Part B Polym. Physics 1999, 37, 2183–2192. [Google Scholar] [CrossRef]
- Perez, E.V.; Balkus, K.J., Jr.; Ferraris, J.P.; Musselman, I.H. Instrument for gas permeation measurements at high pressure and high temperature. Rev. Sci. Instrum. 2013, 84, 065101–065107. [Google Scholar] [CrossRef] [PubMed]
- Sebok, B.; Reti, F.; Kiss, G. Calibration of a novel instrument for the investigation of small permeation fluxes of gases through membranes. Measurement 2015, 59, 241–247. [Google Scholar] [CrossRef]
- Sanders, D.F.; Smith, Z.P.; Guo, R.; Robeson, L.M.; McGrath, J.E.; Paul, D.R.; Freeman, B.D. Energy-efficient polymeric gas separation membranes for a sustainable future: A review. Polymer 2013, 54, 4729–4761. [Google Scholar] [CrossRef]
- Suleman, M.S.; Lau, K.K.; Yeong, Y.F. Plasticization and swelling in polymeric membranes in CO2 removal from natural gas. Chem. Eng. Technol. 2016, 39, 1604–1616. [Google Scholar] [CrossRef]
- Sridhar, L.N.; Gupta, R.K.; Bhardwaj, M. Barrier properties of polymer nanocomposites. Ind. Eng. Chem. Res. 2006, 45, 8282–8289. [Google Scholar] [CrossRef]
- Ranade, A.; D’Souza, N.A.; Wallace, R.M.; Gnade, B.E. High sensitivity gas permeability measurement system for thin plastic films. Rev. Sci. Instrum. 2005, 76, 013902. [Google Scholar] [CrossRef]
- Sterr, J.; Rotzer, K.; Weck, K.; Wirth, A.L.K.; Fleckenstein, B.S.; Langowski, H.C. In-situ measurement of oxygen concentration under high pressure and the application to oxygen permeation through polymer films. J. Chem. Phys. 2015, 143, 114201. [Google Scholar] [CrossRef] [PubMed]
- Gajdoš, J.; Galić, K.; Kurtanjek, Ž.; Ciković, N. Gas permeability and DSC characteristics of polymers used in food packaging. Polym. Test. 2001, 20, 49–57. [Google Scholar] [CrossRef]
- Siracusa, V. Food packaging permeability behaviour: A report. Int. J. Polym. Sci. B 2012, 302029, 1–11. [Google Scholar] [CrossRef]
- Huang, Y.; Paul, D.R. Physical aging of thin glassy polymer films monitored by gas permeability. Polymer 2004, 45, 8377–8393. [Google Scholar] [CrossRef]
- Rowe, B.W.; Freeman, B.; Paul, D.R. Physical aging of ultrathin glassy polymer films tracked by gas permeability. Polymer 2009, 50, 5565–5575. [Google Scholar] [CrossRef]
- Bernardo, P.; Bazzarelli, F.; Tasselli, F.; Clarizia, G.; Maynard-Atem, L.; Budd, P.M.; Lanč, M.; Pilnáček, K.; Vopička, O.; Friess, K.; et al. Effect of physical aging on the gas transport and sorption in PIM-1 membranes. Polymer 2017, 113, 283–294. [Google Scholar] [CrossRef]
- Yasuda, H.; Lamaze, C.E.; Ikenberry, L.D. Permeability of solutes through hydrated polymer membranes. Part 1 Diffusion of sodium chloride. Makromol. Chem. Phys. 1968, 118, 19–35. [Google Scholar] [CrossRef]
- Geise, G.M.; Freeman, B.D.; Paul, D.R. Sodium chloride diffusion in sulfonated polymers for membrane applications. J. Membr. Sci. 2013, 427, 186–196. [Google Scholar] [CrossRef]
- Harogoppad, S.B.; Aminabhavi, T.M.; Balundgi, R.H. Sorption and transport of aqueous salt solution in polyurethane membrane at 25, 44, and 60 °C. J. Appl. Polym. Sci. 1991, 42, 1297–1306. [Google Scholar] [CrossRef]
- Pusch, W. Measurement techniques of transport through membranes. Desalination 1986, 59, 105–115. [Google Scholar] [CrossRef]
- Jiao, K.; Li, X. Water transport in polymer electrolyte membrane fuel cells. Prog. Energy Combust. 2011, 37, 221–291. [Google Scholar] [CrossRef]
- Roe, R.K.; Hrapovic, L.; Kosaric, L. Diffusion of Chloride and Dichloromethane through an HDPE Geomembrane. Geosynth Int. 1995, 2, 507–536. [Google Scholar] [CrossRef]
- Valadão, L.C.R.P.; Ritter, E.; Castra, J.A. Msw (municipal solid waste) leachate inorganic ion diffusion through compacted soil and HDPE geomembrane barrier-laboratory experiments and model validation. Mater. Sci. Forum 2014, 802, 630–635. [Google Scholar] [CrossRef]
- Harogoppad, S.B.; Aminabhavi, T.M. Sorption and transport of aqueous salt solutions of acetates, acetic and monochloroacetic acids in polyurethane. Polymer 1990, 31, 2346–2352. [Google Scholar] [CrossRef]
- Cassidy, P.E.; Aminabhavi, T.M. Water permeation through elastomer laminates: 3. Neoprene/styrene-butadiene rubber. Polymer 1986, 27, 1396–1399. [Google Scholar] [CrossRef]
- Aminabhavi, T.M.; Manjeshwar, L.S.; Cassidy, P.E. Water permeation through elastomer laminates. 3. NBR/EPDM. J. Appl. Polym. Sci. 1986, 32, 3719–3723. [Google Scholar] [CrossRef]
- Aithal, U.S.; Aminabhavi, T.M.; Shukla, S.S. Molecular transport of gases, vapors and salt solutions through polymer membranes. Polym. Plast. Technol. 1989, 28, 567–599. [Google Scholar] [CrossRef]
- Cussler, E.L. Diffusion: Mass Transfer in Fluid Systems, 2nd ed.; Cambridge University Press: Cambridge, UK, 1997. [Google Scholar]
- Sherwood, J.D.; Craster, B. Transport of water and ions through a clay membrane. J. Colloid Interfaces Sci. 2000, 230, 349–358. [Google Scholar] [CrossRef]
- Gryta, M. Study of NaCl permeability through a non-porous polypropylene film. J. Membr. Sci. 2016, 504, 66–74. [Google Scholar] [CrossRef]
- Muller, N.; Handage, U.A.; Abetz, V. Physical ageing and lifetime prediction of polymer membranes for gas separation processes. J. Membr. Sci. 2016, 516, 33–46. [Google Scholar] [CrossRef]
- Schultze, J.D.; Bohning, M.; Springer, J. Sorption and permeation properties of poly(p-phenylene sulphide) crystallized in the presence of sorbed gas molecules. Makromol. Chem. 1993, 194, 431–444. [Google Scholar] [CrossRef]
- Matteucci, S.; Yampolskii, Y.; Freeman, B.D.; Pinnau, I. Transport of gases and vapors in glassy and rubbery polymers. In Material Science of Membranes for Gas and Vapor Separation; Yampolskii, Y., Pinnau, I., Freeman, B.D., Eds.; Wiley: Chichester, UK, 2006; pp. 1–47. [Google Scholar] [CrossRef]
- Minelli, M.; Sarti, G.C. Permeability and diffusivity of CO2 in glassy polymers with and without plasticization. J. Membr. Sci. 2013, 435, 176–186. [Google Scholar] [CrossRef]
- McKeen, L.W. Permeability Properties of Plastics and Elastomers, 4th ed.; Elsevier: Amsterdam, The Netherlands, 2017; pp. 291–292. ISBN 9780323478885. [Google Scholar]
- Cowling, R.; Park, G.S. Permeability, solubility and diffusion of gases in amorphous and crystalline 1,4-polybutadiene membranes. J. Membr. Sci. 1979, 5, 199–207. [Google Scholar] [CrossRef]
- Yasuda, H.; Stannett, V.; Frisch, H.L.; Peterlin, A. The permeability of strained polymer films. Makromol. Chem. 1964, 73, 188–202. [Google Scholar] [CrossRef]
- Yasuda, H.; Peterlin, A. Gas permeability of deformed polyethylene films. J. Appl. Polym. Sci. 1974, 18, 531–546. [Google Scholar] [CrossRef]
- Sha, H.; Harrison, I.R. CO2 permeability and amorphous fractional free-volume in uniaxially drawn HDPE. J. Polym. Sci. Polym. Phys. 1992, 30, 915–922. [Google Scholar] [CrossRef]
- Kikic, I.; Vecchione, F.; Alessi, P.; Cortesi, A.; Eva, F.; Elvassore, N. Polymer plasticization using supercritical carbon dioxide: Experiment and modelling. Ind. Eng. Chem. Res. 2003, 42, 3022–3029. [Google Scholar] [CrossRef]
- Bologna, S.; Del Re, G.; Mascia, L.; Spagnoli, G. Crystallization of PC and PEEK with supercritical carbon dioxide. In Proceedings of the IChea, Ischia, Italy, 24–27 June 2007. [Google Scholar]
- Michaels, A.S.; Vieth, W.R.; Barrie, J.A. Diffusion of gases in polyethylene terephthalate. J. Appl. Phys. 1963, 34, 13–20. [Google Scholar] [CrossRef]
- Stannett, V. The transport of gases in synthetic polymeric membranes-an historic perspective. J. Membr. Sci. 1978, 3, 97–115. [Google Scholar] [CrossRef]
- Kumazawa, H.; Wang, J.S.; Naito, K.; Messaoudi, B.; Sada, E. Gas transport in polymer membrane at temperatures above and below glass transition point. J. Appl. Polym. Sci. 1994, 51, 1015–1020. [Google Scholar] [CrossRef]
- Toi, K.; Maeda, Y.; Tokuda, T. Mechanism of diffusion and sorption of carbon dioxide in poly(vinyl acetate) above and below the glass transition temperature. J. Membr. Sci. 1983, 13, 15–27. [Google Scholar] [CrossRef]
- Yampolskii, Y.; Kamiya, Y.; Alentiev, A. Transport parameters and solubility coefficients of polymers at their glass transition temperatures. J. Appl. Polym. Sci. 2000, 76, 1691–1705. [Google Scholar] [CrossRef]
- Naito, Y.; Kamiya, Y.; Terada, K.; Mizoguchi, K.; Wang, J.S. Pressure dependence of gas permeability in a rubbery polymer. J. Appl. Polym. Sci. 1996, 61, 945–950. [Google Scholar] [CrossRef]
- Taravel-Condat, C.; Epsztein, T. The use of flexible pipe for CO2 enhanced oil recovery applications. In Proceedings of the ASME 31st International Conference on Ocean, Offshore and Artic Engineering, OMAE201-83321, Rio De Janeiro, Brazil, 1–6 July 2012. [Google Scholar] [CrossRef]
- Minelli, M.; Sarti, G.C. Permeability and solubility of carbon dioxide in different glassy polymer systems with and without plasticization. J. Membr. Sci. 2013, 444, 429–439. [Google Scholar] [CrossRef]
- Crank, J. The Mathematics of Diffusion, 2nd ed.; Clarendon Press: Oxford, UK, 1975. [Google Scholar]
- Stern, S.A.; Mullhaupt, J.T.; Gareis, P.J. The effect of pressure on permeation of gases and vapors through polyethylene. Usefulness of the corresponding states principle. AIChE J. 1969, 15, 64–72. [Google Scholar] [CrossRef]
- Smith, Z.P.; Hernández, G.; Gleason, K.L.; Anand, A.; Doherty, C.M.; Konstas, K.; Alvarez, C.; Hill, A.J.; Lozano, A.E.; Paul, D.R.; et al. Effect of polymer structure on gas transport properties of selected aromatic polyimides, polyamides and TR polymers. J. Membr. Sci. 2015, 493, 766–781. [Google Scholar] [CrossRef]
- Minelli, M.; Doghieri, F. Predictive model for gas and vapor solubility and swelling in glassy polymers I: Application to different polymer/penetrant systems. Fluid Phase Equilibr. 2014, 381, 1–11. [Google Scholar] [CrossRef]
- Rutherford, S.W.; Do, D.D. Review of time lag permeation technique as a method for characterisation of porous media and membranes. Adsorption 1997, 3, 283–312. [Google Scholar] [CrossRef]
- Memari, P.; Lachet, V.; Klopffer, M.H.; Flaconneche, B.; Rousseau, B. Gas mixture solubilities in polyethylene below its melting temperature: Experimental and molecular simulation studies. J. Membr. Sci. 2012, 390–391, 194–200. [Google Scholar] [CrossRef]
- Tsujita, Y. Gas sorption and permeation of glassy polymers with microvoids. Prog. Polym. Sci. 2003, 28, 1377–1401. [Google Scholar] [CrossRef]
- Laidler, K.J.; Shuler, K.E. The kinetics of membrane processes. 1. The mechanism and the kinetic laws for diffusion through membranes. J. Chem. Phys. 1949, 17, 581–585. [Google Scholar] [CrossRef]
- Hoff, J.H. The Function of Osmotic Pressure in the Analogy between Solutions and Gases. translated by W Ramsay. Philos. Mag. 1888, 26, 81–105. [Google Scholar] [CrossRef]
- Gordon, A.R. The diaphragm cell method of measuring diffusion. Ann. N. Y. Acad. Sci. 1945, 46, 285–308. [Google Scholar] [CrossRef] [PubMed]
- Robinson, R.A.; Stokes, R.H. Electrolyte Solutions, 2nd ed.; Dover Publications Inc.: Mineola, NY, USA, 2003; pp. 253–260. ISBN 13 9780486422251. [Google Scholar]
- Geise, G.M.; Lee, H.S.; Miller, D.J.; Freeman, B.D.; McGrath, J.E.; Paul, D.R. Water purification by membranes: The role of polymer science. J. Polym. Sci. Part B Polym. Phys. 2010, 48, 1685–1718. [Google Scholar]
- Geise, G.M. Water and Salt Transport Structure/Property Relationships in Polymer Membranes for Desalination and Power Generation Applications. Ph.D. Thesis, The University of Texas, Austin, TX, USA, 2012. [Google Scholar]
- Tremblay, P.; Savard, M.M.; Vermette, J.; Paquin, R. Gas permeability, diffusivity and solubility of nitrogen, helium, methane, carbon dioxide and formaldehyde in dense polymeric membranes using a new on-line permeation apparatus. J. Membr. Sci. 2006, 282, 245–256. [Google Scholar] [CrossRef]
- Koros, W.J.; Paul, D.R. Transient and steady-state permeation in poly(ethylene terepthalate) above and below the glass transition. J. Polym. Sci. Polym. Phys. 1978, 16, 2171–2187. [Google Scholar] [CrossRef]
- Haynes, W. Handbook of Chemistry and Physics, 91st ed.; CRC Press: New York, NY, USA, 2010. [Google Scholar]
- Shackelford, C.D.; Daniel, D.E. Diffusion in saturated soil 1:background, 467–484 and diffusion in saturated soil 2: Results for compacted clay. J. Geotech. Eng. Asce 1991, 117, 485–506. [Google Scholar] [CrossRef]
- Nightingale, E.R. Phenomenological theory of ion solvation, effective radii of hydrated ions. J. Phys. Chem. 1959, 63, 1381–1387. [Google Scholar] [CrossRef]
- Kestelman, V.N.; Korshunov, I.A.; Novotorov, N.F. Synthesis and Physical Chemistry of Polymers; Naukova Dumka: Kiev, Ukraine, 1973; Issue 11; pp. 56–64. [Google Scholar]











| Temperature (°C) | 100 | 80 |
|---|---|---|
| Permeability (K) 10−9 (cm3 (STP) cm−1 s−1 bar−1) | 8.6 | 3.0 |
| Diffusion coefficient (D) 10−8 (cm2 s −1) | 7.3 | 1 |
| Temperature (°C) | 100 | 80 |
|---|---|---|
| Permeability (K) 10−9 (cm3 (STP)cm−1 s−1 bar−1) | No fluid supplied | 2.8 |
| Diffusion coefficient (D) 10−8 (cm2 s −1) | No fluid supplied | 2.8 |
| Polymer | Salt | Thickness (µm) | Diffusion Constant 10−12 (cm2 s−1) |
|---|---|---|---|
| PEEK | NaCl | 25 | 0.9 |
| PPS | NaCl | 60 | 0.4 |
| PEEK | KCl | 25 | 7.9 |
| PPS | KCl | 60 | 1.2 |
© 2019 by the authors. Licensee MDPI, Basel, Switzerland. This article is an open access article distributed under the terms and conditions of the Creative Commons Attribution (CC BY) license (http://creativecommons.org/licenses/by/4.0/).
Share and Cite
Craster, B.; Jones, T.G.J. Permeation of a Range of Species through Polymer Layers under Varying Conditions of Temperature and Pressure: In Situ Measurement Methods. Polymers 2019, 11, 1056. https://doi.org/10.3390/polym11061056
Craster B, Jones TGJ. Permeation of a Range of Species through Polymer Layers under Varying Conditions of Temperature and Pressure: In Situ Measurement Methods. Polymers. 2019; 11(6):1056. https://doi.org/10.3390/polym11061056
Chicago/Turabian StyleCraster, Bernadette, and Timothy G.J. Jones. 2019. "Permeation of a Range of Species through Polymer Layers under Varying Conditions of Temperature and Pressure: In Situ Measurement Methods" Polymers 11, no. 6: 1056. https://doi.org/10.3390/polym11061056
APA StyleCraster, B., & Jones, T. G. J. (2019). Permeation of a Range of Species through Polymer Layers under Varying Conditions of Temperature and Pressure: In Situ Measurement Methods. Polymers, 11(6), 1056. https://doi.org/10.3390/polym11061056
