Poly-Gamma-Glutamic Acid Functions as an Effective Lubricant with Antimicrobial Activity in Multipurpose Contact Lens Care Solutions
Abstract
1. Introduction
2. Materials and Methods
2.1. Chemicals, Reagents, and Contact Lens
2.2. Antimicrobial Activity Testing
days)/the initial microbial concentration.
2.3. Cell Viability Testing
2.4. Irritation Analysis
2.5. In Vitro Contact Lens and Care Solution Friction Testing System
2.6. Statistical Analysis
3. Results
3.1. The Synergetic Effect of γ-PGA and ClO2 on Antimicrobial Activity
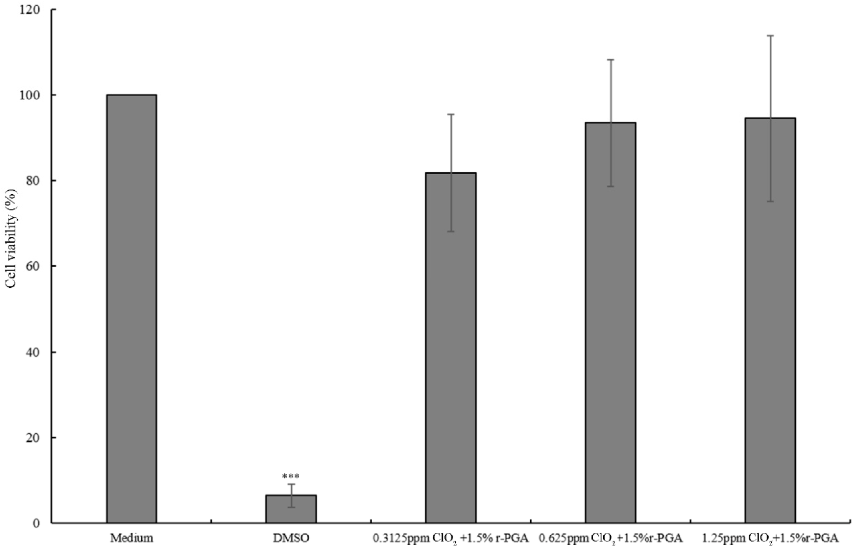
3.2. The Multipurpose Contact Lens Care Solution Shows Low Cytotoxicity and Non-Irritation
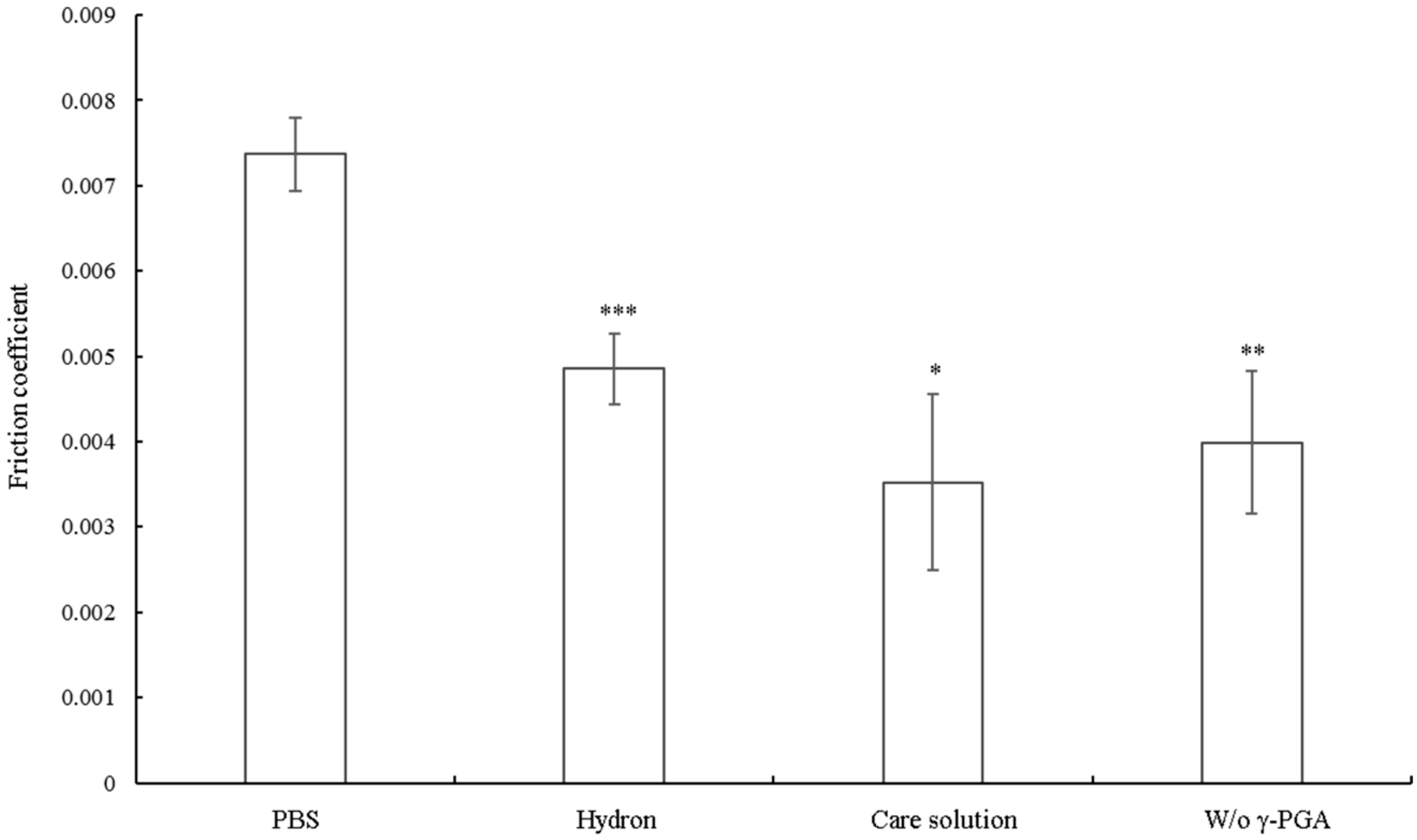
3.3. Addition of γ-PGA Increases Lubrication of the Multipurpose Contact Lens Care Solution
4. Discussion
5. Conclusions
Author Contributions
Funding
Conflicts of Interest
References
- Efron, N.; Morgan, P.B. Soft contact lens care regimens in the UK. Cont. Lens. Anterior Eye 2008, 31, 283–284. [Google Scholar] [CrossRef] [PubMed]
- Skotnitsky, C.; Sankaridurg, P.R.; Sweeney, D.F.; Holden, B.A. General and local contact lens induced papillary conjunctivitis (CLPC). Clin. Exp. Optom. 2002, 85, 193–197. [Google Scholar] [CrossRef] [PubMed]
- Urgacz, A.; Mrukwa, E.; Gawlik, R. Adverse events in allergy sufferers wearing contact lenses. Postepy Dermatol. Alergol. 2015, 32, 204–209. [Google Scholar] [CrossRef] [PubMed]
- Wu, P.; Stapleton, F.; Willcox, M.D. The causes of and cures for contact lens-induced peripheral ulcer. Eye Contact Lens. 2003, 29, S63–S66, discussion S83-4, S192-4. [Google Scholar] [CrossRef] [PubMed]
- Garcia-Saenz, M.C.; Arias-Puente, A.; Fresnadillo-Martinez, M.J.; Paredes-Garcia, B. Adherence of two strains of Staphylococcus epidermidis to contact lenses. Cornea 2002, 21, 511–515. [Google Scholar] [CrossRef] [PubMed]
- Lakkis, C.; Fleiszig, S.M. Resistance of Pseudomonas aeruginosa isolates to hydrogel contact lens disinfection correlates with cytotoxic activity. J. Clin. Microbiol. 2001, 39, 1477–1486. [Google Scholar] [CrossRef] [PubMed]
- Jones, L.; Brennan, N.A.; Gonzalez-Meijome, J.; Lally, J.; Maldonado-Codina, C.; Schmidt, T.A.; Subbaraman, L.; Young, G.; Nichols, J.J. The TFOS International Workshop on Contact Lens Discomfort: Report of the contact lens materials, design, and care subcommittee. Investig. Ophthalmol. Vis. Sci. 2013, 54, TFOS37–TFOS70. [Google Scholar] [CrossRef] [PubMed]
- Roba, M.; Duncan, E.G.; Hill, G.A.; Spencer, N.D.; Tosatti, S.G.P. Friction measurements on contact lenses in their operating environment. Tribol. Lett. 2011, 44, 387–397. [Google Scholar] [CrossRef]
- Shih, I.L.; Van, Y.T. The production of poly-(gamma-glutamic acid) from microorganisms and its various applications. Bioresour. Technol. 2001, 79, 207–225. [Google Scholar] [CrossRef]
- Yang, J.M.; Yang, J.H.; Huang, H.T. Chitosan/polyanion surface modification of styrene-butadiene-styrene block copolymer membrane for wound dressing. Mater. Sci. Eng. C Mater. Biol. Appl. 2014, 34, 140–148. [Google Scholar] [CrossRef]
- Su, C.Y.; Chen, C.C.; Chen, H.Y.; Lin, C.P.; Lin, F.H.; Fang, H.W. Characteristics of an alternative antibacterial biomaterial for mouthwash in the absence of alcohol. J. Dent. Sci. 2019, in press. [Google Scholar] [CrossRef]
- Su, C.Y.; Lai, C.C.; Yeh, L.K.; Li, K.Y.; Shih, B.W.; Tseng, C.L.; Fang, H.-W. The characteristics of a preservative-free contact lens care solution on lysozyme adsorption and interfacial friction behavior. Coll. Surf. B Biointerfaces 2018, 171, 538–543. [Google Scholar] [CrossRef] [PubMed]
- Inbaraj, B.S.; Kao, T.H.; Tsai, T.Y.; Chiu, C.P.; Kumar, R.; Chen, B.H. The synthesis and characterization of poly(gamma-glutamic acid)-coated magnetite nanoparticles and their effects on antibacterial activity and cytotoxicity. Nanotechnology 2011, 22, 075101. [Google Scholar] [CrossRef] [PubMed]
- Hinenoya, A.; Awasthi, S.P.; Yasuda, N.; Shima, A.; Morino, H.; Koizumi, T.; Shibata, T.; Yamasaki, A. Chlorine Dioxide is a Better Disinfectant than Sodium Hypochlorite against Multi-Drug Resistant Staphylococcus aureus, Pseudomonas aeruginosa, and Acinetobacter baumannii. Jpn. J. Infect. Dis. 2015, 68, 276–279. [Google Scholar] [CrossRef] [PubMed]
- Ogata, N. Denaturation of protein by chlorine dioxide: Oxidative modification of tryptophan and tyrosine residues. Biochemistry 2007, 46, 4898–4911. [Google Scholar] [CrossRef] [PubMed]
- Wei, M.K.; Wu, Q.P.; Huang, Q.; Wu, J.L.; Zhang, J.M. Plasma membrane damage to Candida albicans caused by chlorine dioxide (ClO2). Lett. Appl. Microbiol. 2008, 47, 67–73. [Google Scholar] [CrossRef] [PubMed]
- Luo, Z.; Guo, Y.; Liu, J.; Qiu, H.; Zhao, M.; Zou, W.; Li, S. Microbial synthesis of poly-gamma-glutamic acid: Current progress, challenges, and future perspectives. Biotechnol. Biofuels 2016, 9, 134. [Google Scholar] [CrossRef] [PubMed]
- Kim, T.W.; Lee, T.Y.; Bae, H.C.; Hahm, J.H.; Kim, Y.H.; Park, C.; Kang, T.H.; Kim, C.J.; Sung, M.H.; Poo, H. Oral administration of high molecular mass poly-gamma-glutamate induces NK cell-mediated antitumor immunity. J. Immunol. 2007, 179, 775–780. [Google Scholar] [CrossRef] [PubMed]
- Li, C.; Yu, D.F.; Newman, R.A.; Cabral, F.; Stephens, L.C.; Hunter, N.; Milas, L.; Wallace, S. Complete regression of well-established tumors using a novel water-soluble poly(l-glutamic acid)-paclitaxel conjugate. Cancer Res. 1998, 58, 2404–2409. [Google Scholar]
- Ryu, M.; Nakazawa, T.; Akagi, T.; Tanaka, T.; Watanabe, R.; Yasuda, M.; Himori, N.; Maruyama, K.; Yamashita, T.; Abe, T.; et al. Suppression of phagocytic cells in retinal disorders using amphiphilic poly(gamma-glutamic acid) nanoparticles containing dexamethasone. J. Control. Release 2011, 151, 65–73. [Google Scholar] [CrossRef]
- Singer, J.W. Paclitaxel poliglumex (XYOTAX, CT-2103): A macromolecular taxane. J. Control. Release 2005, 109, 120–126. [Google Scholar] [CrossRef] [PubMed]
- Noszticzius, Z.; Wittmann, M.; Kaly-Kullai, K.; Beregvari, Z.; Kiss, I.; Rosivall, L.; Szegedi, J. Chlorine dioxide is a size-selective antimicrobial agent. PLoS ONE 2013, 8, e79157. [Google Scholar] [CrossRef] [PubMed]



| Concentration of ClO2 (ppm) | Concentration of γ-PGA (%) | Initial Microbial Concentration (CFU/mL) | Numbers of Pseudomonas aeruginosa Colonies after Seven Days | Numbers of Canidia albicans Colonies after Seven Days | Antimicrobial activity for P. aeruginosa/C. albicans |
|---|---|---|---|---|---|
| 0 | 7.5 | 1 × 106 CFU/mL | 4.7 × 106 | 8.4 × 105 | N.I./16% |
| 0 | 2 | 1.0 × 105 | 6.0 × 106 | 90%/N.I. | |
| 0 | 1.5 | 1.0 × 105 | 6.0 × 106 | 90%/N.I. | |
| 1.25 | 0 | 0 | 2.5 × 104 | 100%/97.5% | |
| 0.625 | 0 | 0 | N.A. | 100%/N.A. | |
| 0.3125 | 0 | 0 | N.A. | 100%/N.A. | |
| 1.25 | 1.5 | 0 | 0 | 100%/100% | |
| 0.625 | 1.5 | 9.6 × 105 | N.A. | 4%/N.A. | |
| 0.3125 | 1.5 | 5.0 × 105 | N.A. | 50%/N.A. |
© 2019 by the authors. Licensee MDPI, Basel, Switzerland. This article is an open access article distributed under the terms and conditions of the Creative Commons Attribution (CC BY) license (http://creativecommons.org/licenses/by/4.0/).
Share and Cite
Su, C.-Y.; Tseng, C.-L.; Wu, S.-H.; Shih, B.-W.; Chen, Y.-Z.; Fang, H.-W. Poly-Gamma-Glutamic Acid Functions as an Effective Lubricant with Antimicrobial Activity in Multipurpose Contact Lens Care Solutions. Polymers 2019, 11, 1050. https://doi.org/10.3390/polym11061050
Su C-Y, Tseng C-L, Wu S-H, Shih B-W, Chen Y-Z, Fang H-W. Poly-Gamma-Glutamic Acid Functions as an Effective Lubricant with Antimicrobial Activity in Multipurpose Contact Lens Care Solutions. Polymers. 2019; 11(6):1050. https://doi.org/10.3390/polym11061050
Chicago/Turabian StyleSu, Chen-Ying, Ching-Li Tseng, Shu-Hsuan Wu, Bo-Wu Shih, Yi-Zhou Chen, and Hsu-Wei Fang. 2019. "Poly-Gamma-Glutamic Acid Functions as an Effective Lubricant with Antimicrobial Activity in Multipurpose Contact Lens Care Solutions" Polymers 11, no. 6: 1050. https://doi.org/10.3390/polym11061050
APA StyleSu, C.-Y., Tseng, C.-L., Wu, S.-H., Shih, B.-W., Chen, Y.-Z., & Fang, H.-W. (2019). Poly-Gamma-Glutamic Acid Functions as an Effective Lubricant with Antimicrobial Activity in Multipurpose Contact Lens Care Solutions. Polymers, 11(6), 1050. https://doi.org/10.3390/polym11061050

