Strategies to Stabilize the Photoinduced Supramolecular Chirality in Azobenzene Liquid Crystalline Polymers
Abstract
1. Introduction
2. Materials and Methods
2.1. General Synthetic Procedures
2.1.1. Characterization Data of Functionalized Homopolymers
2.1.2. Synthesis and Characterization of Functionalized Block Copolymers
2.2. Film Processing and Irradiation
2.3. Techniques
3. Results and Discussion
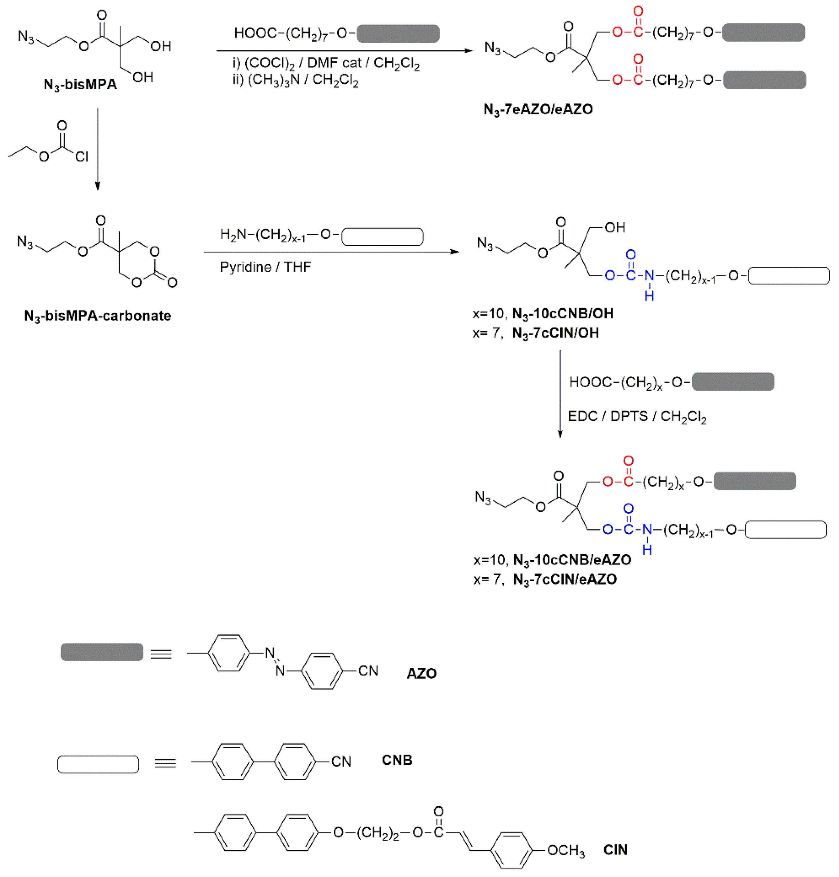
3.1. Synthesis and Thermal Characterization of Azides
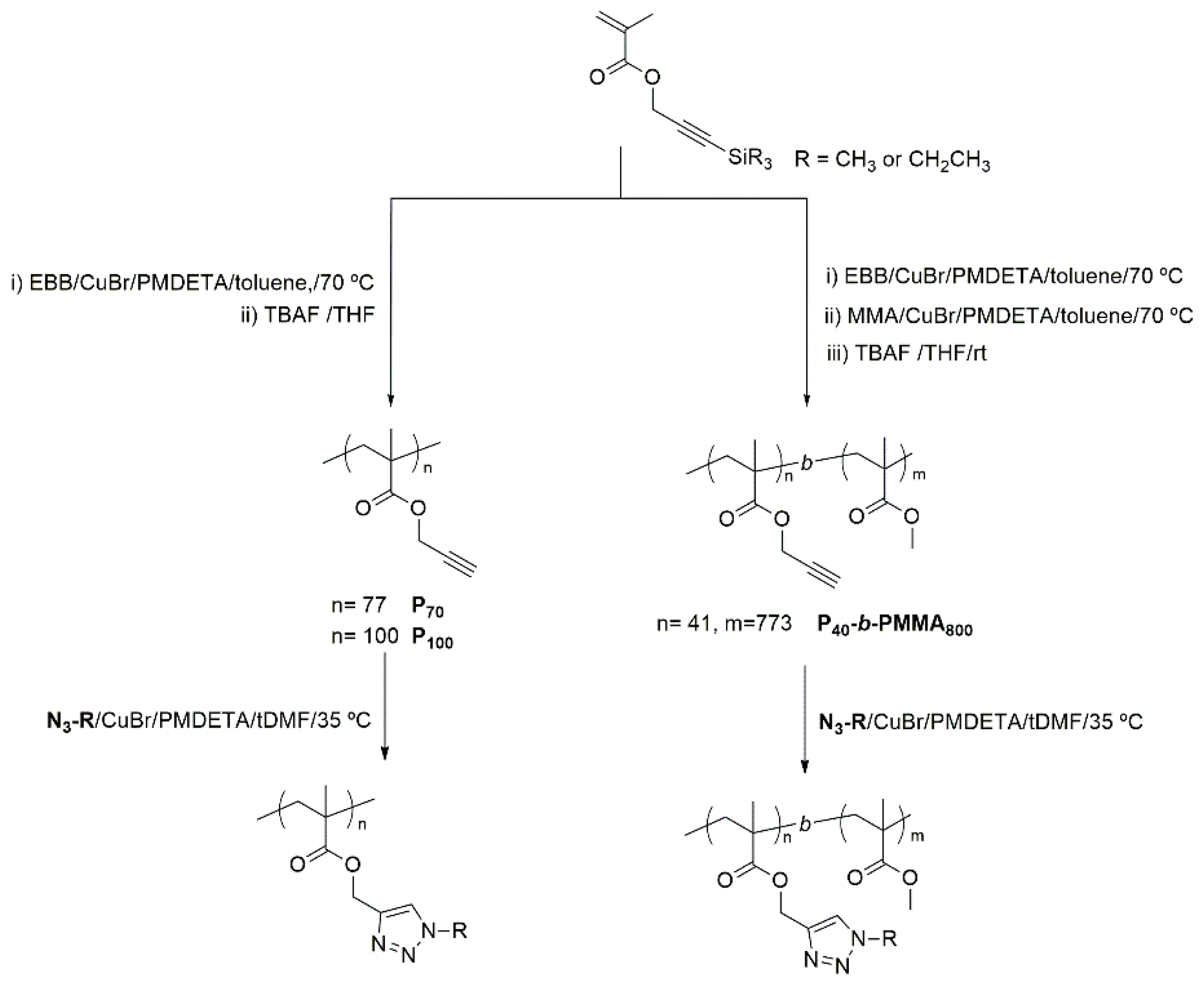
3.2. Synthesis and Characterization of Polymers
3.3. Chiral Induction and Stabilization of the Chiroptical Response
4. Conclusions
Supplementary Materials
Author Contributions
Funding
Acknowledgments
Conflicts of Interest
References
- Natansohn, A.; Rochon, P. Photoinduced Motions in Azo-Containing Polymers. Chem. Rev. 2002, 102, 4139–4175. [Google Scholar] [CrossRef]
- Zola, R.S.; Bisoyi, H.K.; Wang, H.; Urbas, A.M.; Bunning, T.J.; Li, Q. Dynamic control of light direction enabled by stimuli-responsive liquid crystal gratings. Adv. Mater. 2019, 31, 1806172. [Google Scholar] [CrossRef] [PubMed]
- Bisoyi, H.K.; Li, Q. Light-driven liquid crystalline materials: From photo-induced phase transitions and property modulations to applications. Chem. Rev. 2016, 116, 15089–15166. [Google Scholar] [CrossRef] [PubMed]
- Shibaev, V.P.; Bobrovsky, A.Y. Liquid crystalline polymers: Development trends and photocontrollable materials. Russ. Chem. Rev. 2017, 86, 1024–1072. [Google Scholar] [CrossRef]
- Blasco, E.; Piñol, M.; Berges, C.; Sánchez-Somolinos, C.; Oriol, L. Smart Polymers and Their Applications; Aguilar, M.R., Román, J.S., Eds.; Woodhead Pubs: Cambridge, UK, 2014; pp. 510–548. [Google Scholar]
- Yu, H. Recent advances in photoresponsive liquid crystalline polymers containing azobenzene chromophores. J. Mater. Chem. C 2014, 2, 3047–3054. [Google Scholar] [CrossRef]
- Shishido, A. Rewritable holograms based on azobenzene-containing liquid-crystalline polymers. Polym. J. 2010, 42, 525–533. [Google Scholar] [CrossRef]
- Shibaev, V.; Bobrovsky, A.; Boiko, N. Photoactive liquid crystalline polymer systems with light-controllable structure and optical properties. Prog. Polym. Sci. 2003, 28, 729–836. [Google Scholar] [CrossRef]
- Kawatsuki, N.; Goto, K.; Kawakami, T.; Yamamoto, T. Reversion of alignment direction in the thermally enhanced photoorientation of photo-cross-linkable polymer liquid crystal films. Macromolecules 2002, 35, 706–713. [Google Scholar] [CrossRef]
- Kawatsuki, N.; Tsutsumi, R.; Takatsuka, H.; Sakai, T. Influence of alkylene spacer length on thermal enhancement of photoinduced optical anisotropy in photo-cross-linkable liquid crystalline polymeric films and their composites with non-liquid-crystalline monomers. Macromolecules 2007, 40, 6355–6360. [Google Scholar] [CrossRef]
- Zanutta, A.; Colella, L.; Bertarelli, C.; Bianco, A. Understanding the mechanism of refractive index modulation in materials undergoing photo-Fries rearrangement. Opt. Mater. 2013, 35, 2283–2289. [Google Scholar] [CrossRef]
- Kawatsuki, N.; Suehiro, C.; Yamamoto, T. Photoinduced alignment of photo-cross-linkable side-chain liquid crystalline copolymers comprising cinnamoylethoxybiphenyl and cyanobiphenyl groups. Macromolecules 1998, 31, 5984–5990. [Google Scholar] [CrossRef]
- Kawatsuki, N.; Uchida, E.; Yamamoto, T. Photocontrol of birefringence and in-plane molecular orientation in copolymer liquid crystal films with 4-methoxyazobenzene and photo-cross-linkable side groups. Macromol. Chem. Phys. 2003, 204, 584–590. [Google Scholar] [CrossRef]
- Li, X.; Cui, J.; Zhang, W.; Huang, J.; Li, W.; Lin, C.; Jiang, Y.; Zhang, X.; Li, G. Controllable photo-switching of cinnamate-based photonic films with remarkable stability. J. Mater. Chem. 2011, 21, 17953–17959. [Google Scholar] [CrossRef]
- Yu, H. Photoresponsive liquid crystalline block copolymers: From photonics to nanotechnology. Prog. Polym. Sci. 2014, 39, 781–815. [Google Scholar] [CrossRef]
- Sano, M.; Hara, M.; Nagano, S.; Shinohara, Y.; Amemiya, Y.; Seki, T. New aspects for the hierarchical cooperative motions in photoalignment process of liquid crystalline block copolymer films. Macromolecules 2015, 48, 2217–2223. [Google Scholar] [CrossRef]
- Sano, M.; Shan, F.; Hara, M.; Nagano, S.; Shinohara, Y.; Amemiya, Y.; Seki, T. Dynamic photoinduced realignment processes in photoresponsive block copolymer films: Effects of the chain length and block copolymer architecture. Soft Matter 2015, 11, 5918–5925. [Google Scholar] [CrossRef]
- Yu, H.; Asaoka, S.; Shishido, A.; Iyoda, T.; Ikeda, T. Photoinduced nanoscale cooperative motion in a well-defined triblock copolymer. Small 2007, 3, 768–771. [Google Scholar] [CrossRef]
- Tong, X.; Cui, L.; Zhao, Y. Confinement effects on photoalignment, photochemical phase transition, and thermochromic behavior of liquid crystalline azobenzene-containing diblock copolymers. Macromolecules 2004, 37, 3101–3112. [Google Scholar] [CrossRef]
- Nikolova, L.; Todorov, T.; Ivanov, M.; Andruzzi, F.; Hvilsted, S.; Ramanujam, P.S. Photoinduced circular anisotropy in side-chain azobenzene polyesters. Opt. Mater. 1997, 8, 255–258. [Google Scholar] [CrossRef]
- Tejedor, R.M.; Millaruelo, M.; Oriol, L.; Serrano, J.L.; Alcala, R.; Rodrıguez, F.J.; Villacampa, B. Photoinduced supramolecular chirality in side-chain liquid crystalline azopolymers. J. Mater. Chem. 2006, 16, 1674–1680. [Google Scholar] [CrossRef]
- Benelli, T.; Lanzi, M.; Mazzocchetti, L.; Giorgini, L. Chirality on amorphous high-Tg polymeric nanofilms: Optical activity amplification by thermal annealing. Nanomaterials 2017, 7, 208. [Google Scholar] [CrossRef]
- Yue, Y.; Norikane, Y.; Azumi, R.; Koyama, E. Light-induced mechanical response in crosslinked liquid-crystalline polymers with photoswitchable glass transition temperatures. Nat. Commun. 2018, 9, 3234. [Google Scholar] [CrossRef]
- Royes, J.; Rebole, J.; Custardoy, L.; Gimeno, N.; Oriol, L.; Tejedor, R.M.; Piñol, M. Preparation of side-chain liquid crystalline azopolymers by CuAAC postfunctionalization using bifunctional azides: Induction of chirality using circularly polarized light. J. Polym. Sci. Part A Polym. Chem. 2012, 50, 1579–1590. [Google Scholar] [CrossRef]
- Royes, J.; Provenzano, C.; Pagliusi, P.; Tejedor, R.M.; Piñol, M.; Oriol, L. A bifunctional amorphous polymer exhibiting equal linear and circular photoinduced birefringence. Macromol. Rapid Commun. 2014, 1890–1895. [Google Scholar] [CrossRef]
- Roche, A.; García-Juan, H.; Royes, J.; Oriol, L.; Piñol, M.; Audia, B.; Pagliusi, P.; Provenzano, C.; Cipparrone, G. Tuning the thermal properties of azopolymers synthesized by post-functionalization of poly(propargyl methacrylate).with azobenzene azides: Influence on the generation of linear and circular birefringences. Macromol. Chem. Phys. 2018, 219, 1800318. [Google Scholar] [CrossRef]
- Royes, J.; Nogales, A.; Ezquerra, T.A.; Oriol, L.; Tejedor, R.M.; Piñol, M. Effect of the polymer architecture on the photoinduction of stable chiral organizations. Polymer 2018, 143, 58–68. [Google Scholar] [CrossRef]
- Ladmiral, V.; Mantovani, G.; Clarkson, G.J.; Cauet, S.; Irwin, J.L.; Haddleton, D.M. Synthesis of neoglycopolymers by a combination of “click chemistry” and living radical polymerization. J. Am. Chem. Soc. 2006, 128, 4823–4830. [Google Scholar] [CrossRef]
- Goodwin, A.P.; Lam, S.S.; Fréchet, J.M.J. Rapid, efficient synthesis of heterobifunctional biodegradable dendrimers. J. Am. Chem. Soc. 2007, 129, 6994–6995. [Google Scholar] [CrossRef]
- Tian, Y.; Watanabe, K.; Kong, X.; Abe, J.; Iyoda, T. Synthesis, nanostructures, and functionality of amphiphilic liquid crystalline block copolymers with azobenzene moieties. Macromolecules 2002, 35, 3739–3747. [Google Scholar] [CrossRef]
- Yamada, M.; Itoh, T.; Nakagawa, R.; Hirao, A.; Nakahama, S.; Watanabe, J. Synthesis of side-chain liquid crystalline homopolymers and block copolymers with cyanobiphenyl moieties as the mesogen by living anionic polymerization and their thermotropic phase behavior. Macromolecules 1999, 32, 282–289. [Google Scholar] [CrossRef]
- Hamley, I.W.; Castelletto, V.; Lu, Z.B.; Imrie, C.T.; Itoh, T.; Al-Hussein, M. Interplay between smectic ordering and microphase separation in a series of side-group liquid-crystal block copolymers. Macromolecules 2004, 37, 4798–4807. [Google Scholar] [CrossRef]
- Breiner, T.; Kreger, K.; Hagen, R.; Häckel, M.; Kador, L.; Müller, A.H.E.; Kramer, E.J.; Schmidt, H.-W. Blends of poly(methacrylate) block copolymers with photoaddressable segments. Macromolecules 2007, 40, 2100–2108. [Google Scholar] [CrossRef]
- Lodge, T. Characterization of polymer materials by scattering techniques, with applications to block copolymers. Microchim. Acta 1994, 116, 1–31. [Google Scholar] [CrossRef]
- Morikawa, Y.; Nagano, S.; Watanabe, K.; Kamata, K.; Iyoda, T.; Seki, T. Optical alignment and patterning of nanoscale microdomains in a block copolymer thin film. Adv. Mater. 2006, 18, 883–886. [Google Scholar] [CrossRef]
- Oriol, L.; Piñol, M.; Serrano, J.L.; Tejedor, R.M. Synthesis, characterization and photoreactivity of liquid crystalline cinnamates. J. Photochem. Photobiol. A Chem. 2003, 155, 37–45. [Google Scholar] [CrossRef]









| Azide | Transitions Temperatures (°C) [ΔH (kJ mol−1)] 1 |
|---|---|
| N3–7eAZO/eAZO | C 51 [26.2] SmA 80 N 82 I 2 |
| N3–10cCNB/eAZO | g −2 SmA 72 [7.0] I |
| N3–7cCIN/eAZO | g 21 SmA 48 [7.6] I |
| Polymer | TGA (°C) 1 | Tg1 (°C) 2 | Tg2 (°C) 2 | Ti (°C) [ΔHi (kJ mol−1)] 3 | Mesophase | d (Å) 4 |
|---|---|---|---|---|---|---|
| P100(7eAZO/eAZO) | 320 | 34 | – | 153 [6.4] | SmA | 40 |
| P100(10cCNB/eAZO) | 313 | 27 | – | 124 [7.6] | SmA | 44 |
| P70(7cCIN/eAZO) | 319 | 44 | – | 101 [5.3] | SmA | 45 |
| P40(7eAZO/eAZO)-b-PMMA800 | 305 | 34 | 117 | 137 [3.4] | Sm 6 | 39 |
| P40(10cCNB/eAZO)-b-PMMA800 | 297 | 31 | 114 | 120 5 | Sm 6 | 45 |
© 2019 by the authors. Licensee MDPI, Basel, Switzerland. This article is an open access article distributed under the terms and conditions of the Creative Commons Attribution (CC BY) license (http://creativecommons.org/licenses/by/4.0/).
Share and Cite
Royes, J.; Oriol, L.; Tejedor, R.M.; Piñol, M. Strategies to Stabilize the Photoinduced Supramolecular Chirality in Azobenzene Liquid Crystalline Polymers. Polymers 2019, 11, 885. https://doi.org/10.3390/polym11050885
Royes J, Oriol L, Tejedor RM, Piñol M. Strategies to Stabilize the Photoinduced Supramolecular Chirality in Azobenzene Liquid Crystalline Polymers. Polymers. 2019; 11(5):885. https://doi.org/10.3390/polym11050885
Chicago/Turabian StyleRoyes, Jorge, Luis Oriol, Rosa M. Tejedor, and Milagros Piñol. 2019. "Strategies to Stabilize the Photoinduced Supramolecular Chirality in Azobenzene Liquid Crystalline Polymers" Polymers 11, no. 5: 885. https://doi.org/10.3390/polym11050885
APA StyleRoyes, J., Oriol, L., Tejedor, R. M., & Piñol, M. (2019). Strategies to Stabilize the Photoinduced Supramolecular Chirality in Azobenzene Liquid Crystalline Polymers. Polymers, 11(5), 885. https://doi.org/10.3390/polym11050885

