Preparation and Properties of Polyester Modified Waterborne High Hydroxyl Content and High Solid Content Polyacrylate Emulsion
Abstract
:1. Introduction
2. Materials and Methods
2.1. Materials
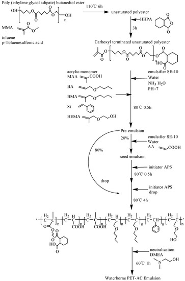
2.2. Methods
2.3. Characterizations
2.3.1. Solid Content
2.3.2. Coagulum Content
2.3.3. Viscosity
2.3.4. Particle Size
2.3.5. Transmission Electron Microscopy
2.3.6. Fourier Transform Infrared Spectroscopy
2.3.7. Stability of the Emulsion
2.3.8. Preparation of Films
2.3.9. Gel Permeation Chromatography
2.3.10. Differential Scanning Calorimetry Measurements
2.3.11. Thermogravimetric Analyzer
3. Results and Discussion
3.1. Effect of HEMA Dosage
3.2. Effect of PET/AC Ratio
3.3. Effect of Soft/Hard Monomer Ratio
3.4. Effect of Chain Transfer Agent Content
3.5. FTIR Spectra
3.6. Comparison of PAC and PET-AC
4. Conclusions
Author Contributions
Funding
Conflicts of Interest
References
- Pospisil, J.; Nespurek, S. Photostabilization of coatings. Mechanisms and performance. Prog. Org. Coat. 2000, 25, 1261–1335. [Google Scholar]
- Miklecic, J.; Blagojevic, S.L.; Petric, M.; Jirous-Rajkovic, V. Influence of TiO2 and ZnO nanoparticles on properties of waterborne polyacrylate coating exposed to outdoor conditions. Prog. Org. Coat. 2015, 89, 67–74. [Google Scholar] [CrossRef]
- Romo-Uribe, A.; Santiago-Santiago, K.; Zavala-Padilla, G.; Reyes-Mayer, A.; Calixto-Rodriguez, M.; Arcos-Casarrubias, J.A.; Baghdachi, J. Waterborne layered silicate/acrylate nanocomposites by in-situ emulsion polymerization: Thermal and mechanical reinforcement. Prog. Org. Coat. 2016, 101, 59–70. [Google Scholar] [CrossRef]
- Wu, J.B.; Li, P.; Ma, X.L.; Liang, Q.F.; Yuan, T.; Ma, G.Z. Synthesis and characterization of polyacrylate composite with thiol-modified nanosilica as chain transfer agent. J. Appl. Polym. Sci. 2015, 132. [Google Scholar] [CrossRef]
- Lai, J.Z.; Chang, Y.C.; Yeh, J.T.; Chen, K.N. Single component self-curable aqueous-based PU system with new aziridinyl curing agent. J. Appl. Polym. Sci. 2004, 91, 1997–2007. [Google Scholar] [CrossRef]
- Moon, J.I.; Lee, Y.H.; Kim, H.J. Synthesis and characterization of acrylic-grafted polyester coatings for automotive pre-coated metal. J. Macromol. Sci. Pure Appl. Chem. 2012, 75, 162–169. [Google Scholar] [CrossRef]
- Xu, F.; Qian, B.R.; Hu, Z.; Chen, W.D.; Zhuang, Z.Y.; Zhu, B.Y.; Zhang, H.Q.; Zhu, K. A Novel Route to Emulsifier-free, Waterborne Hydroxyl Functional Polyacrylate with Low VOC Level and its Application in 2K-WPU Coatings. J. Macromol. Sci. Part A Pure Appl. Chem. 2013, 50, 555–561. [Google Scholar] [CrossRef]
- Xia, W.; Hui, W.; Zhang, D.X.; Huan, H.; Li, J. Preparation and Properties of Core-shell Structure Fluorine-modified Acrylic Anticorrosion Coatings. Int. J. Electrochem. Sci. 2019, 14, 777–791. [Google Scholar]
- Hegedus, C.R.; Gilicinski, A.G.; Haney, R.J. Film formation mechanism of two component waterborne polyurethane coatings. J. Coat. Technol. 1996, 68, 51–61. [Google Scholar]
- Schissel, S.M.; Jessop, J.L.P. Enhancing epoxide kinetics and tuning polymer properties using hydroxyl-containing (meth)acrylates in hybrid photopolymerizations. Polymer 2019, 161, 78–91. [Google Scholar] [CrossRef]
- Yang, W.Q.; Wang, X.L.; Li, J.F.; Yan, X.R.; Ge, S.S.; Tadakamalla, S.; Guo, Z.H. Polyoxymethylene/ethylene butylacrylate copolymer/ethylene-methyl acrylate-glycidyl methacrylate ternary blends. Polym. Eng. Sci. 2018, 58, 1127–1134. [Google Scholar] [CrossRef]
- Ma, G.Y.; Shen, Y.D.; Gao, R.M.; Wang, X.R. Micromorphology and adhesive properties of sulfonated polyurethane/polyacrylate emulsions prepared by surfactant-free polymerization. J. Polym. Res 2017, 24, 36. [Google Scholar] [CrossRef]
- Kong, X.; Li, S.M.; Qu, J.Q.; Chen, H.Q. Self-emulsifying Hydroxy Acrylic Polymer Dispersions for Two Component Waterborne Polyurethane Coatings. J. Macromol. Sci. Part A Pure Appl. Chem. 2010, 47, 368–374. [Google Scholar] [CrossRef]
- Melchiors, M.; Sonntag, M.; Kobusch, C.; Jurgens, E. Recent developments in aqueous two-component polyurethane (2K-PUR) coatings. Prog. Org. Coat. 2000, 40, 99–109. [Google Scholar] [CrossRef]
- Ding, K.Y.; Liu, J.; Chen, H.L.; Wang, H.D. Hyper-branched acrylic resin with high solid contents. J. Thermoplast. Compos. Mater. 2018, 31, 1149–1160. [Google Scholar] [CrossRef]
- Yu, Z.; Hu, M.G.; Cui, H.; Xiao, J.J. Synthesis and Properties of Hydroxy Acrylic Resin with High Solid Content. In Proceedings of the 2nd International Conference on Materials Science, Resource and Environmental Engineering, Wuhan, China, 27–29 October 2017. [Google Scholar]
- Zhang, C.Y.; Zhu, Z.W.; Gong, S.L. Synthesis of stable high hydroxyl content self-emulsifying waterborne polyacrylate emulsion. J. Appl. Polym. Sci. 2017, 134, 11. [Google Scholar] [CrossRef]
- Shimizu, T.; Higashiura, S.; Ohguchi, M. Preparation of an acrylics-grafted polyester and its aqueous dispersion—Mechanical properties of acrylics-grafted polyesters. J. Appl. Polym. Sci. 2000, 75, 1149–1157. [Google Scholar] [CrossRef]
- Shimizu, T.; Higashiura, S.; Ohguchi, M.; Murase, H.; Akitomo, Y. Water-borne polyester for inks and coatings: Structural elucidation of acrylic-grafted polyester and the particle of its aqueous dispersion. Polym. Adv. Technol. 1999, 10, 446–454. [Google Scholar] [CrossRef]
- Tsavalas, J.G.; Gooch, J.W.; Schork, F.J. Water-based crosslinkable coatings via miniemulsion polymerization of acrylic monomers in the presence of unsaturated polyester resin. J. Appl. Polym. Sci. 2000, 75, 916–927. [Google Scholar] [CrossRef]
- Qiang, W.; Haag, R. Universal polymer coatings and their representative biomedical applications. Mater. Horiz. 2015, 2, 567–577. [Google Scholar]
- Zhang, F.; Wang, Y.P.; Yuan, L.; Chai, C.P. Synthesis of acrylic emulsion containing high hydroxyl content. J. Macromol. Sci. Pure Appl. Chem. 2004, A41, 15–27. [Google Scholar] [CrossRef]
- Gu, S.J.; Wang, Y.P.; Zhang, F.A. Study on acrylic emulsion with core-shell structure containing high hydroxyl content. J. Macromol. Sci. Pure Appl. Chem. 2005, A42, 771–781. [Google Scholar] [CrossRef]
- Tsavalas, J.G.; Luo, Y.W.; Schork, F.J. Grafting mechanisms in hybrid miniemulsion polymerization. J. Appl. Polym. Sci. 2003, 87, 1825–1836. [Google Scholar] [CrossRef]
- Yang, G.Z.; Xie, W.T.; Huang, M.F.; Champagne, V.K.; Lee, J.H.; Klier, J.; Schiffman, J.D. Polymer Particles with a Low Glass Transition Temperature Containing Thermoset Resin Enable Powder Coatings at Room Temperature. Ind. Eng. Chem. Res. 2019, 58, 908–916. [Google Scholar] [CrossRef]
- Castillo-Perez, R.; Hernandez-Vargas, M.L.; Flores-Cedillo, O.; Campillo-Illanes, B.F. Effect on thermo-mechanical properties by in-situ emulsion polymerization of polymer/clay nanocomposites. Polym. Compos. 2019, 40, 263–276. [Google Scholar] [CrossRef]
- Tracton, A.A. Coatings Materials and Surface Coatings; CRC Press: Boca Raton, FL, USA, 2006. [Google Scholar]
- Yenikaya, S.; Salihoglu, G.; Salihoglu, N.K.; Yenikaya, G. Microwave Drying of Automotive Industry Paint Sludge. J. Hazard. Toxic Radioact. Waste 2018, 22, 04018015. [Google Scholar] [CrossRef]
- Bhavsar, R.; Shreepathi, S. Evolving empirical rheological limits to predict flow-levelling and sag resistance of waterborne architectural paints. Prog. Org. Coat. 2016, 101, 15–23. [Google Scholar] [CrossRef]
- Guyot, A.; Chu, F.; Schneider, M.; Graillat, C.; McKenna, T.F. High solid content latexes. Prog. Polym. Sci. 2002, 27, 1573–1615. [Google Scholar] [CrossRef]
- Mariz, I.D.A.; de la Cal, J.C.; Leiza, J.R. Control of particle size distribution for the synthesis of small particle size high solids content latexes. Polymer 2010, 51, 4044–4052. [Google Scholar] [CrossRef]
- Schneider, M.; Claverie, J.; Graillat, C.; McKenna, T.F. High solids content emulsions. I. A study of the influence of the particle size distribution and polymer concentration on viscosity. J. Appl. Polym. Sci. 2002, 84, 1878–1896. [Google Scholar] [CrossRef]
- Delibas, A.; Yildiz, U.; Tauer, K. Composite latex production with high solid content. J. Appl. Polym. Sci. 2019, 136, 47423. [Google Scholar] [CrossRef]









| HEMA (wt %) | Viscosity (mPa*s) | Particle Sizer (nm) | PDI | Storage Stability | Solid (%) |
|---|---|---|---|---|---|
| 10 | - | - | - | Demulsification | - |
| 20 | - | - | - | Demulsification | - |
| 25 | 71 | 313 | 0.141 | Stable | 42.5 |
| 30 | 281 | 266 | 0.158 | Stable | 46.0 |
| 35 | 598 | 204 | 0.102 | Stable | 48.0 |
| 40 | 613 | - | - | All gels | 45.0 |
| Monomer | PET | AA | MAA | BA | St | HEMA | BMA |
|---|---|---|---|---|---|---|---|
| Tg (°C) | −58 | 106 | 130 | −56 | 100 | 55 | 21 |
| Solid (%) | Particle Sizer (nm) | PdI | Viscosity/mPa·s | Mn | |
|---|---|---|---|---|---|
| PAC | 46.5 | 156.4 | 0.067 | 314 | 10,570 |
| PET-AC | 50.0 | 255.6 | 0.110 | 805 | 10,850 |
| Properties | PAC | PET-AC |
|---|---|---|
| Film appearance | Smooth and flat | Smooth and flat |
| Water resistance a | Pass | Pass |
| Pendulum hardness b | 100 s | 90 s |
| Impact strength c | 30 kg·cm | 50 kg·cm |
| Adhesion d | 1 degree | 0 degree |
| Flexibility e | 2 mm | 1 mm |
© 2019 by the authors. Licensee MDPI, Basel, Switzerland. This article is an open access article distributed under the terms and conditions of the Creative Commons Attribution (CC BY) license (http://creativecommons.org/licenses/by/4.0/).
Share and Cite
Zhu, Z.; Zhang, C.; Gong, S. Preparation and Properties of Polyester Modified Waterborne High Hydroxyl Content and High Solid Content Polyacrylate Emulsion. Polymers 2019, 11, 636. https://doi.org/10.3390/polym11040636
Zhu Z, Zhang C, Gong S. Preparation and Properties of Polyester Modified Waterborne High Hydroxyl Content and High Solid Content Polyacrylate Emulsion. Polymers. 2019; 11(4):636. https://doi.org/10.3390/polym11040636
Chicago/Turabian StyleZhu, Zhewen, Chaoying Zhang, and Shuling Gong. 2019. "Preparation and Properties of Polyester Modified Waterborne High Hydroxyl Content and High Solid Content Polyacrylate Emulsion" Polymers 11, no. 4: 636. https://doi.org/10.3390/polym11040636
APA StyleZhu, Z., Zhang, C., & Gong, S. (2019). Preparation and Properties of Polyester Modified Waterborne High Hydroxyl Content and High Solid Content Polyacrylate Emulsion. Polymers, 11(4), 636. https://doi.org/10.3390/polym11040636

