Glass-Transition Dynamics of Mixtures of Linear Poly(vinyl methyl ether) with Single-Chain Polymer Nanoparticles: Evidence of a New Type of Nanocomposite Materials
Abstract
1. Introduction
2. Materials and Methods
2.1. Broad-Band Dielectric Spectroscopy
2.2. Temperature-Modulated Differential Scanning Calorimetry (TMDSC)
3. Results
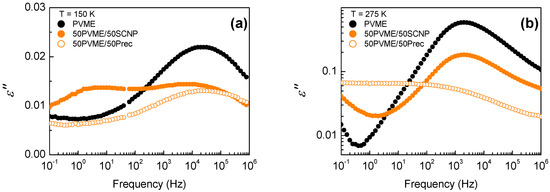
3.1. PVME/SCNP Mixture versus PVME/Prec Blend
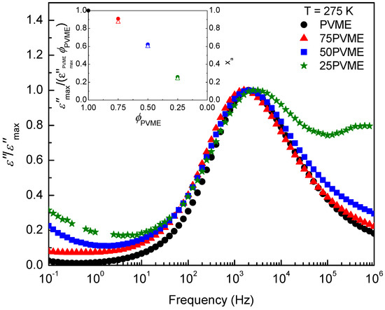
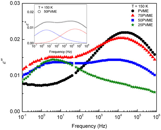
3.2. PVME/SCNP Mixtures
4. Discussion
5. Conclusions
Supplementary Materials
Author Contributions
Funding
Conflicts of Interest
References
- Utracki, L.A.; Wilkie, C. (Eds.) Polymer Blends Handbook; Springer: Dordrecht, The Netherlands, 2014. [Google Scholar]
- Colmenero, J.; Arbe, A. Segmental Dynamics in Miscible Polymer Blends: Recent Results and Open Questions. Soft Matter 2007, 3, 1474–1485. [Google Scholar] [CrossRef]
- Kremer, F.; Schönhals, A. (Eds.) Broadband Dielectric Spectroscopy; Springer: Berlin/Heidelberg, Germany, 2003. [Google Scholar]
- Sakai, V.G.; Arbe, A. Quasielastic Neutron Scattering in Soft Matter. Curr. Opin. Colloid Interface Sci. 2009, 14, 381–390. [Google Scholar] [CrossRef]
- Guillermo, A.; Lartigue, C.; Cohen Addad, J.P. PEO Temporary Network in PEO/PMMA Blends: NMR Approach. Macromolecules 1998, 31, 769–775. [Google Scholar] [CrossRef]
- Cendoya, I.; Alegría, A.; Alberdi, J.M.; Colmenero, J.; Grimm, H.; Richter, D.; Frick, B. Effect of Blending on the PVME Dynamics. A Dielectric, NMR, and QENS Investigation. Macromolecules 1999, 32, 4065–4078. [Google Scholar] [CrossRef]
- Lorthioir, C.; Alegría, A.; Colmenero, J. Out of equilibrium dynamics of poly(vinyl methyl ether) segments in miscible poly(styrene)-poly(vinyl methyl ether) blends. Phys. Rev. E 2003, 68, 031805. [Google Scholar] [CrossRef] [PubMed]
- Ajayan, P.M.; Schadler, L.S.; Braun, P.V. Nanocomposite Science and Technology. In Nanocomposite Science and Technology; Wiley-VCH Verlag GmbH & Co., KGaA: Weinheim, Germany, 2003. [Google Scholar]
- Balazs, A.C.; Emrick, T.; Russell, T.P. Nanoparticle Polymer Composites: Where Two Small Worlds Meet. Science 2006, 314, 1107–1110. [Google Scholar] [CrossRef] [PubMed]
- Baeza, G.P.; Dessi, C.; Costanzo, S.; Zhao, D.; Gong, S.; Alegria, A.; Colby, R.H.; Rubinstein, M.; Vlassopoulos, D.; Kumar, S.K. Network dynamics in nanofilled polymers. Nat. Commun. 2016, 7, 11368. [Google Scholar] [CrossRef] [PubMed]
- Mortazavian, H.; Fennell, C.J.; Blum, F.D. Structure of the Interfacial Region in Adsorbed Poly(vinyl acetate) on Silica. Macromolecules 2016, 49, 298–307. [Google Scholar] [CrossRef]
- Altintas, O.; Barner-Kowollik, C. Single-Chain Folding of Synthetic Polymers: A Critical Update. Macromol. Rapid Commun. 2016, 37, 29–46. [Google Scholar] [CrossRef]
- Mavila, S.; Eivgi, O.; Berkovich, I.; Lemcoff, N.G. Intramolecular Cross-Linking Methodologies for the Synthesis of Polymer Nanoparticles. Chem. Rev. 2016, 116, 878–961. [Google Scholar] [CrossRef]
- Gonzalez-Burgos, M.; Latorre-Sanchez, A.; Pomposo, J.A. Advances in single chain technology. Chem. Soc. Rev. 2015, 44, 6122–6142. [Google Scholar] [CrossRef] [PubMed]
- Lyon, C.K.; Prasher, A.; Hanlon, A.M.; Tuten, B.T.; Tooley, C.A.; Frank, P.G.; Berda, E.B. A Brief User’s Guide to Single-Chain Nanoparticles. Polym. Chem. 2015, 6, 181–197. [Google Scholar] [CrossRef]
- Latorre-Sánchez, A.; Pomposo, J. Recent bioinspired applications of single-chain nanoparticles. Polym. Int. 2016, 65, 855–860. [Google Scholar] [CrossRef]
- Sanchez-Sanchez, A.; Pomposo, J. Single-Chain Polymer Nanoparticles via Non-Covalent and Dynamic Covalent Bonds. Part. Part. Syst. Charact. 2014, 31, 11–23. [Google Scholar] [CrossRef]
- Sanchez-Sanchez, A.; Pérez-Baena, I.; Pomposo, J.A. Advances in Click Chemistry for Single-Chain Nanoparticle Construction. Molecules 2013, 18, 3339–3355. [Google Scholar] [CrossRef] [PubMed]
- Altintas, O.; Barner-Kowollik, C. Single Chain Folding of Synthetic Polymers by Covalent and Non-Covalent Interactions: Current Status and Future Perspectives. Macromol. Rapid Commun. 2012, 33, 958–971. [Google Scholar] [CrossRef] [PubMed]
- Aiertza, M.K.; Odriozola, I.; Cabañero, G.; Grande, H.J.; Loinaz, I. Single-chain polymer nanoparticles. Cell. Mol. Life Sci. 2012, 69, 337–346. [Google Scholar] [CrossRef] [PubMed]
- Rothfuss, H.; Knöfel, N.D.; Roesky, P.W.; Barner-Kowollik, C. Single-Chain Nanoparticles as Catalytic Nanoreactors. J. Am. Chem. Soc. 2018, 140, 5875–5881. [Google Scholar] [CrossRef] [PubMed]
- Rubio-Cervilla, J.; González, E.; Pomposo, J.A. Advances in Single-Chain Nanoparticles for Catalysis Applications. Nanomaterials 2017, 7, 341. [Google Scholar] [CrossRef] [PubMed]
- Latorre-Sanchez, A.; Pomposo, J.A. A simple, fast and highly sensitive colorimetric detection of zein in aqueous ethanol via zein–pyridine–gold interactions. Chem. Commun. 2015, 51, 15736–15738. [Google Scholar] [CrossRef] [PubMed]
- Gillissen, M.A.J.; Voets, I.K.; Meijer, E.W.; Palmans, A.R.A. Single chain polymeric nanoparticles as compartmentalised sensors for metal ions. Polym. Chem. 2012, 3, 3166–3174. [Google Scholar] [CrossRef]
- Kröger, A.P.P.; Paulusse, J.M.J. Single-chain polymer nanoparticles in controlled drug delivery and targeted imaging. J. Control. Release 2018, 286, 326–347. [Google Scholar] [CrossRef] [PubMed]
- De-La-Cuesta, J.; Gonzalez, E.; Pomposo, J.A. Advances in Fluorescent Single-Chain Nanoparticles. Molecules 2017, 22, 1819. [Google Scholar] [CrossRef] [PubMed]
- Sanchez-Sanchez, A.; Akbari, S.; Moreno, A.J.; Verso, F.L.; Arbe, A.; Colmenero, J.; Pomposo, J.A. Design and Preparation of Single-Chain Nanocarriers Mimicking Disordered Proteins for Combined Delivery of Dermal Bioactive Cargos. Macromol. Rapid Commun. 2013, 34, 1681–1686. [Google Scholar] [CrossRef] [PubMed]
- Hamilton, S.K.; Harth, E. Molecular Dendritic Transporter Nanoparticle Vectors Provide Efficient Intracellular Delivery of Peptides. ACS Nano 2009, 3, 402–410. [Google Scholar] [CrossRef] [PubMed]
- Nguyen, T.K.; Lam, S.J.; Ho, K.K.K.; Kumar, N.; Qiao, G.G.; Egan, S.; Boyer, C.; Wong, E.H.H. Rational Design of Single-Chain Polymeric Nanoparticles That Kill Planktonic and Biofilm Bacteria. ACS Infect. Dis. 2017, 3, 237–248. [Google Scholar] [CrossRef] [PubMed]
- Mackay, M.E.; Tuteja, A.; Duxbury, P.M.; Hawker, C.J.; Van Horn, B.; Guan, Z.; Chen, G.; Krishnan, R.S. General Strategies for Nanoparticle Dispersion. Science 2006, 311, 1740–1743. [Google Scholar] [CrossRef] [PubMed]
- Mackay, M.E.; Dao, T.T.; Tuteja, A.; Ho, D.L.; van Horn, B.; Kim, H.C.; Hawker, C.J. Nanoscale effects leading to non-Einstein-like decrease in viscosity. Nat. Mater. 2003, 2, 762–766. [Google Scholar] [CrossRef]
- Tuteja, A.; Mackay, M.E.; Hawker, C.J.; Van Horn, B. Effect of Ideal, Organic Nanoparticles on the Flow Properties of Linear Polymers: Non-Einstein-like Behavior. Macromolecules 2005, 38, 8000–8011. [Google Scholar] [CrossRef]
- Pomposo, J.A.; de Luzuriaga, A.R.; García, I.; Etxeberria, A.; Colmenero, J. A Nanotechnology Pathway to Arresting Phase Separation in Soft Nanocomposites. Macromol. Rapid Commun. 2011, 32, 573–578. [Google Scholar] [CrossRef] [PubMed]
- Bhowmik, D.; Pomposo, J.A.; Juranyi, F.; García-Sakai, V.; Zamponi, M.; Su, Y.; Arbe, A.; Colmenero, J. Microscopic Dynamics in Nanocomposites of Poly(ethylene oxide) and Poly(methyl methacrylate) Soft Nanoparticles: A Quasi-Elastic Neutron Scattering Study. Macromolecules 2014, 47, 304–315. [Google Scholar] [CrossRef]
- Bhowmik, D.; Pomposo, J.A.; Juranyi, F.; García-Sakai, V.; Zamponi, M.; Arbe, A.; Colmenero, J. Investigation of a Nanocomposite of 75 wt % Poly(methyl methacrylate) Nanoparticles with 25 wt % Poly(ethylene oxide) Linear Chains: A Quasielatic Neutron Scattering, Calorimetric, and WAXS Study. Macromolecules 2014, 47, 3005–3016. [Google Scholar] [CrossRef]
- Arbe, A.; Pomposo, J.; Moreno, A.; LoVerso, F.; González-Burgos, M.; Asenjo-Sanz, I.; Iturrospe, A.; Radulescu, A.; Ivanova, O.; Colmenero, J. Structure and dynamics of single-chain nano-particles in solution. Polymer 2016, 105, 532–544. [Google Scholar] [CrossRef]
- Arbe, A.; Pomposo, J.A.; Asenjo-Sanz, I.; Bhowmik, D.; Ivanova, O.; Kohlbrecher, J.; Colmenero, J. Single Chain Dynamic Structure Factor of Linear Polymers in an All-Polymer Nano-Composite. Macromolecules 2016, 49, 2354–2364. [Google Scholar] [CrossRef]
- González-Burgos, M.; Alegría, A.; Arbe, A.; Colmenero, J.; Pomposo, J.A. An unexpected route to aldehyde-decorated single-chain nanoparticles from azides. Polym. Chem. 2016, 7, 6570–6574. [Google Scholar] [CrossRef]
- Deegan, R.D.; Nagel, S.R. Dielectric susceptibility measurements of the primary and secondary relaxation in polybutadiene. Phys. Rev. B 1995, 52, 5653–5656. [Google Scholar] [CrossRef]
- Birge, N.O.; Jeong, Y.H.; Nagel, S.R.; Bhattacharya, S.; Susman, S. Distribution of relaxation times in (KBr)0.5(KCN)0.5. Phys. Rev. B 1984, 30, 2306–2308. [Google Scholar] [CrossRef]
- Gómez, D.; Alegría, A.; Arbe, A.; Colmenero, J. Merging of the Dielectric α and β-Relaxations in Glass-Forming Polymers. Macromolecules 2001, 34, 503–513. [Google Scholar] [CrossRef]
- Böttcher, C.J.F.; Bordewijk, P. Dielectrics in Time-Dependent Fields; Elsevier: New York, NY, USA, 1978. [Google Scholar]
- Alegria, A.; Colmenero, J. Dielectric relaxation of polymers: Segmental dynamics under structural constraints. Soft Matter 2016, 12, 7709–7725. [Google Scholar] [CrossRef]
- Bačová, P.; Lo Verso, F.; Arbe, A.; Colmenero, J.; Pomposo, J.A.; Moreno, A.J. The Role of the Topological Constraints in the Chain Dynamics in All-Polymer Nanocomposites. Macromolecules 2017, 50, 1719–1731. [Google Scholar] [CrossRef]









© 2019 by the authors. Licensee MDPI, Basel, Switzerland. This article is an open access article distributed under the terms and conditions of the Creative Commons Attribution (CC BY) license (http://creativecommons.org/licenses/by/4.0/).
Share and Cite
Robles-Hernández, B.; González-Burgos, M.; Pomposo, J.A.; Colmenero, J.; Alegría, Á. Glass-Transition Dynamics of Mixtures of Linear Poly(vinyl methyl ether) with Single-Chain Polymer Nanoparticles: Evidence of a New Type of Nanocomposite Materials. Polymers 2019, 11, 533. https://doi.org/10.3390/polym11030533
Robles-Hernández B, González-Burgos M, Pomposo JA, Colmenero J, Alegría Á. Glass-Transition Dynamics of Mixtures of Linear Poly(vinyl methyl ether) with Single-Chain Polymer Nanoparticles: Evidence of a New Type of Nanocomposite Materials. Polymers. 2019; 11(3):533. https://doi.org/10.3390/polym11030533
Chicago/Turabian StyleRobles-Hernández, Beatriz, Marina González-Burgos, José A. Pomposo, Juan Colmenero, and Ángel Alegría. 2019. "Glass-Transition Dynamics of Mixtures of Linear Poly(vinyl methyl ether) with Single-Chain Polymer Nanoparticles: Evidence of a New Type of Nanocomposite Materials" Polymers 11, no. 3: 533. https://doi.org/10.3390/polym11030533
APA StyleRobles-Hernández, B., González-Burgos, M., Pomposo, J. A., Colmenero, J., & Alegría, Á. (2019). Glass-Transition Dynamics of Mixtures of Linear Poly(vinyl methyl ether) with Single-Chain Polymer Nanoparticles: Evidence of a New Type of Nanocomposite Materials. Polymers, 11(3), 533. https://doi.org/10.3390/polym11030533

