Rheological Characterization of Hydrogels from Alginate-Based Nanodispersion
Abstract
1. Introduction
2. Materials and Methods
2.1. Materials
2.2. Preparation of Nanodispersions
2.3. Gelation of Nanodispersions
2.4. Rheological Characterization
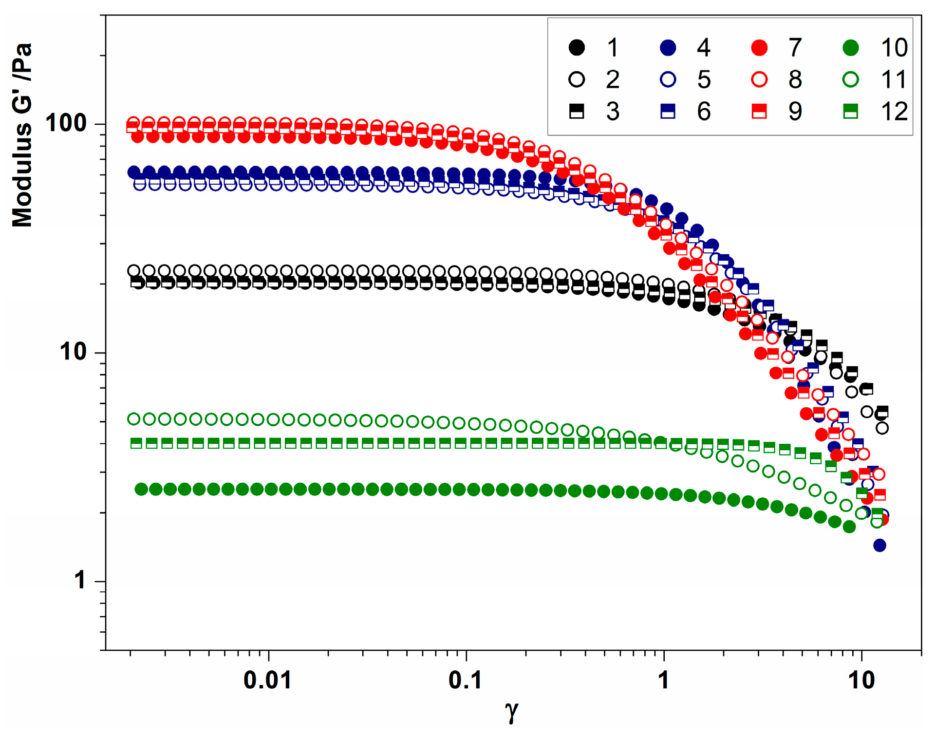
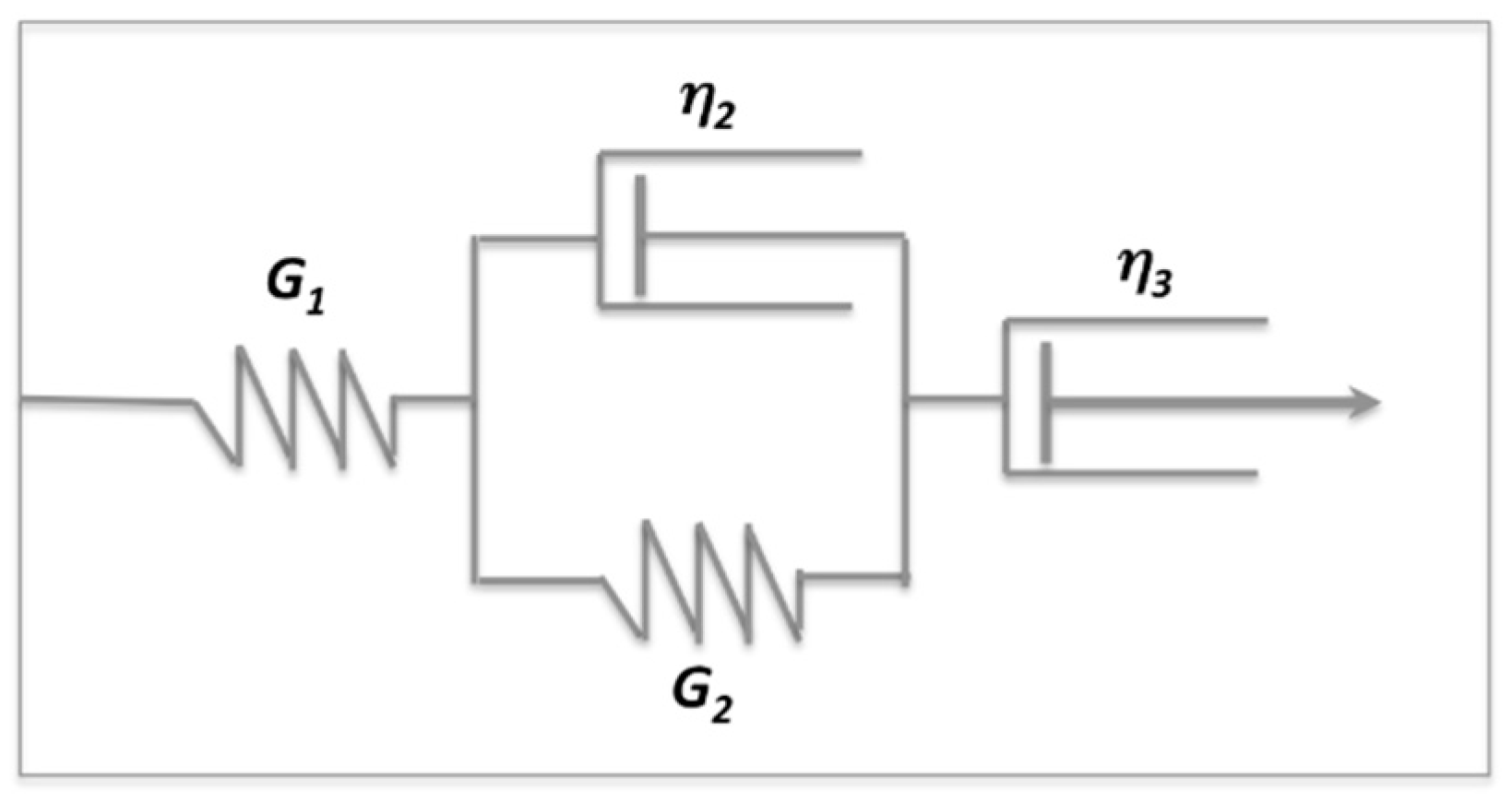
3. Results and Discussion
4. Conclusions
Supplementary Materials
Author Contributions
Funding
Acknowledgments
Conflicts of Interest
References
- Pawar, S.N.; Edgar, K.J. Alginate derivatization: A review of chemistry, properties and applications. Biomaterials 2012, 33, 3279–3305. [Google Scholar] [CrossRef] [PubMed]
- Dang, J.M.; Leong, K.W. Natural polymers for gene delivery and tissue engineering. Adv. Drug Deliv. Rev. 2006, 58, 487–499. [Google Scholar] [CrossRef] [PubMed]
- Tønnesen, H.H.; Karlsen, J. Alginate in drug delivery systems. Drug Dev. Ind. Pharm. 2002, 28, 621–630. [Google Scholar] [CrossRef] [PubMed]
- Cuomo, F.; Ceglie, A.; Piludu, M.; Miguel, M.G.; Lindman, B.; Lopez, F. Loading and protection of hydrophilic molecules into liposome-templated polyelectrolyte nanocapsules. Langmuir 2014, 30, 7993–7999. [Google Scholar] [CrossRef] [PubMed]
- Lee, K.Y.; Mooney, D.J. Alginate: Properties and biomedical applications. Prog. Polym. Sci. 2012, 37, 106–126. [Google Scholar] [CrossRef] [PubMed]
- Cuomo, F.; Ceglie, A.; De Leonardis, A.; Lopez, F. Polymer Capsules for Enzymatic Catalysis in Confined Environments. Catalysts 2019, 9, 1. [Google Scholar] [CrossRef]
- Reis, C.P.; Neufeld, R.J.; Vilela, S.; Ribeiro, A.J.; Veiga, F. Review and current status of emulsion/dispersion technology using an internal gelation process for the design of alginate particles. J. Microencapsul. 2006, 23, 245–257. [Google Scholar] [CrossRef]
- Perugini, L.; Cinelli, G.; Cofelice, M.; Ceglie, A.; Lopez, F.; Cuomo, F. Effect of the coexistence of sodium caseinate and Tween 20 as stabilizers of food emulsions at acidic pH. Colloids Surf. B Biointerfaces 2018, 168, 163–168. [Google Scholar] [CrossRef]
- Ghica, M.V.; Hîrjău, M.; Lupuleasa, D.; Dinu-Pîrvu, C.-E. Flow and thixotropic parameters for rheological characterization of hydrogels. Molecules 2016, 21, 786. [Google Scholar] [CrossRef]
- Ahmed, E.M. Hydrogel: Preparation, characterization, and applications: A review. J. Adv. Res. 2015, 6, 105–121. [Google Scholar] [CrossRef]
- Ma, S.; Yu, B.; Pei, X.; Zhou, F. Structural hydrogels. Polymer 2016, 98, 516–535. [Google Scholar] [CrossRef]
- Aarstad, O.; Heggset, E.B.; Pedersen, I.S.; Bjørnøy, S.H.; Syverud, K.; Strand, B.L. Mechanical properties of composite hydrogels of alginate and cellulose nanofibrils. Polymers 2017, 9, 378. [Google Scholar] [CrossRef]
- Draget, K.I.; Skjåk Bræk, G.; Smidsrød, O. Alginic acid gels: The effect of alginate chemical composition and molecular weight. Carbohydr. Polym. 1994, 25, 31–38. [Google Scholar] [CrossRef]
- Stokke, B.T.; Draget, K.I.; Smidsrød, O.; Yuguchi, Y.; Urakawa, H.; Kajiwara, K. Small-Angle X-ray Scattering and Rheological Characterization of Alginate Gels. 1. Ca−Alginate Gels. Macromolecules 2000, 33, 1853–1863. [Google Scholar] [CrossRef]
- Liu, X.; Qian, L.; Shu, T.; Tong, Z. Rheology characterization of sol-gel transition in aqueous alginate solutions induced by calcium cations through in situ release. Polymer 2003, 44, 407–412. [Google Scholar] [CrossRef]
- Josef, E.; Zilberman, M.; Bianco-Peled, H. Composite alginate hydrogels: An innovative approach for the controlled release of hydrophobic drugs. Acta Biomater. 2010, 6, 4642–4649. [Google Scholar] [CrossRef] [PubMed]
- Arora, R.; Aggarwal, G.; Harikumar, S.L.; Kaur, K. Nanoemulsion based hydrogel for enhanced transdermal delivery of ketoprofen. Adv. Pharm. 2014, 2014. [Google Scholar] [CrossRef]
- Kaur, A.; Gupta, S.; Tyagi, A.; Sharma, R.K.; Ali, J.; Gabrani, R.; Dang, S. Development of Nanoemulsion Based Gel Loaded with Phytoconstituents for the Treatment of Urinary Tract Infection and in Vivo Biodistribution Studies. Adv. Pharm. Bull. 2017, 7, 611. [Google Scholar] [CrossRef]
- Nakagawa, K.; Sowasod, N.; Tanthapanichakoon, W.; Charinpanitkul, T. Hydrogel based oil encapsulation for controlled release of curcumin by using a ternary system of chitosan, kappa-carrageenan, and carboxymethylcellulose sodium salt. LWT-Food Sci. Technol. 2013, 54, 600–605. [Google Scholar] [CrossRef]
- Lei, L.; Zhang, Y.; He, L.; Wu, S.; Li, B.; Li, Y. Fabrication of nanoemulsion-filled alginate hydrogel to control the digestion behavior of hydrophobic nobiletin. LWT-Food Sci. Technol. 2017, 82, 260–267. [Google Scholar] [CrossRef]
- Halla, N.; Fernandes, I.; Heleno, S.; Costa, P.; Boucherit-Otmani, Z.; Boucherit, K.; Rodrigues, A.; Ferreira, I.; Barreiro, M. Cosmetics Preservation: A Review on Present Strategies. Molecules 2018, 23, 1571. [Google Scholar] [CrossRef] [PubMed]
- Maccioni, A.; Anchisi, C.; Sanna, A.; Sardu, C.; Dessi, S. Preservative systems containing essential oils in cosmetic products. Int. J. Cosmet. Sci. 2002, 24, 53–59. [Google Scholar] [CrossRef] [PubMed]
- Chen, J.; Jiang, Q.-D.; Wu, Y.-M.; Liu, P.; Yao, J.-H.; Lu, Q.; Zhang, H.; Duan, J.-A. Potential of essential oils as penetration enhancers for transdermal administration of ibuprofen to treat dysmenorrhoea. Molecules 2015, 20, 18219–18236. [Google Scholar] [CrossRef] [PubMed]
- Liakos, I.; Rizzello, L.; Scurr, D.J.; Pompa, P.P.; Bayer, I.S.; Athanassiou, A. All-natural composite wound dressing films of essential oils encapsulated in sodium alginate with antimicrobial properties. Int. J. Pharm. 2014, 463, 137–145. [Google Scholar] [CrossRef] [PubMed]
- Salvia-Trujillo, L.; Rojas-Graü, M.A.; Soliva-Fortuny, R.; Martín-Belloso, O. Use of antimicrobial nanoemulsions as edible coatings: Impact on safety and quality attributes of fresh-cut Fuji apples. Postharvest Biol. Technol. 2015, 105, 8–16. [Google Scholar] [CrossRef]
- Cofelice, M.; Lopez, F.; Cuomo, F. Rheological Properties of Alginate–Essential Oil Nanodispersions Colloids Interfaces. Colloids Interfaces 2018, 2, 48. [Google Scholar] [CrossRef]
- Sovrani, V.; de Jesus, L.I.; Simas-Tosin, F.F.; Smiderle, F.R.; Iacomini, M. Structural characterization and rheological properties of a gel-like β-d-glucan from Pholiota nameko. Carbohydr. Polym. 2017, 169, 1–8. [Google Scholar] [CrossRef] [PubMed]
- Patel, A.R.; Dumlu, P.; Vermeir, L.; Lewille, B.; Lesaffer, A.; Dewettinck, K. Rheological characterization of gel-in-oil-in-gel type structured emulsions. Food Hydrocolloids 2015, 46, 84–92. [Google Scholar] [CrossRef]
- Mezger, T.G. The Rheology Handbook: For Users of Rotational and Oscillatory Rheometers; Vincentz Network GmbH & Co. KG: Hannover, Germany, 2006. [Google Scholar]
- Abdurrahmanoglu, S.; Okay, O. Rheological behavior of polymer–clay nanocomposite hydrogels: Effect of nanoscale interactions. J. Appl. Polym. Sci. 2010, 116, 2328–2335. [Google Scholar] [CrossRef]
- Suriano, R.; Griffini, G.; Chiari, M.; Levi, M.; Turri, S. Rheological and mechanical behavior of polyacrylamide hydrogels chemically crosslinked with allyl agarose for two-dimensional gel electrophoresis. J. Mech. Behav. Biomed. Mater. 2014, 30, 339–346. [Google Scholar] [CrossRef]







| Hydrogels | Alginate wt % | Essential Oil wt % | CaCl2 mM | Calcium Level |
|---|---|---|---|---|
| 1 | 1 | 0 | 6 | Low |
| 2 | 1 | 0.1 | 6 | |
| 3 | 1 | 0.5 | 6 | |
| 4 | 1 | 0 | 8 | Medium |
| 5 | 1 | 0.1 | 8 | |
| 6 | 1 | 0.5 | 8 | |
| 7 | 1 | 0 | 10 | High |
| 8 | 1 | 0.1 | 10 | |
| 9 | 1 | 0.5 | 10 | |
| 10 | 0.5 | 0 | 4 | Medium * |
| 11 | 0.5 | 0.1 | 4 | |
| 12 | 0.5 | 0.5 | 4 |
| Hydrogel | G1 (Pa) | G2 (Pa) | η2 (Pa·s) | λ2 (s) | η3 (Pa·s) | R2 | JR (%) |
|---|---|---|---|---|---|---|---|
| 1 | 25.62 ± 3.13 | 7.64 ± 0.28 | 83.49 ± 7.39 | 10.92 ± 0.88 | 2050 ± 91 | 0.98 | 45.2 |
| 2 | 52.62 ± 11.29 | 9.77 ± 0.39 | 57.25 ± 5.39 | 5.86 ± 0.50 | 2889 ± 130 | 0.98 | 45.7 |
| 3 | 42.67 ± 8.36 | 9.55 ± 0.43 | 57.30 ± 6.02 | 6.00 ± 0.57 | 2535 ± 121 | 0.98 | 44.9 |
| 4 | 97.93 ± 15.70 | 22.29 ± 0.87 | 207.30 ± 19.58 | 9.30 ± 0.80 | 2861 ± 96 | 0.99 | 54.3 |
| 5 | 132.52 ± 18.33 | 35.36 ± 1.31 | 99.36 ± 10.23 | 2.08 ± 0.20 | 5013 ± 150 | 0.98 | 24.7 |
| 6 | 110.39± 13.91 | 38.13 ± 1.65 | 194.46 ± 18.07 | 5.10 ± 0.41 | 5205 ± 109 | 0.98 | 31.5 |
| 7 | 105.03 ± 5.89 | 40.29 ± 0.93 | 576.77 ± 32.88 | 14.39 ± 0.75 | 6032 ± 154 | 0.99 | 49.3 |
| 8 | 142.84 ± 17.49 | 36.53 ± 1.14 | 578.27 ± 27.01 | 15.83 ± 0.55 | 4911 ± 100 | 0.99 | 48.3 |
| 9 | 107.56 ± 6.46 | 45.02 ± 1.23 | 612.27 ± 41.35 | 13.60 ± 0.84 | 5151 ± 130 | 0.98 | 58.3 |
| 10 | 5.41 ± 0.32 | 2.73 ± 0.08 | 35.92 ± 2.74 | 13.02 ± 0.81 | 614 ± 19 | 0.98 | 48.2 |
| 11 | 9.54 ± 1.21 | 3.00 ± 0.12 | 32.70 ± 1.35 | 10.90 ± 0.11 | 477 ± 16 | 0.98 | 32.6 |
| 12 | 4.48 ± 0.16 | 4.08 ± 0.13 | 34.90 ± 2.21 | 8.56 ± 0.47 | 1012 ± 66 | 0.98 | 33.5 |
© 2019 by the authors. Licensee MDPI, Basel, Switzerland. This article is an open access article distributed under the terms and conditions of the Creative Commons Attribution (CC BY) license (http://creativecommons.org/licenses/by/4.0/).
Share and Cite
Cuomo, F.; Cofelice, M.; Lopez, F. Rheological Characterization of Hydrogels from Alginate-Based Nanodispersion. Polymers 2019, 11, 259. https://doi.org/10.3390/polym11020259
Cuomo F, Cofelice M, Lopez F. Rheological Characterization of Hydrogels from Alginate-Based Nanodispersion. Polymers. 2019; 11(2):259. https://doi.org/10.3390/polym11020259
Chicago/Turabian StyleCuomo, Francesca, Martina Cofelice, and Francesco Lopez. 2019. "Rheological Characterization of Hydrogels from Alginate-Based Nanodispersion" Polymers 11, no. 2: 259. https://doi.org/10.3390/polym11020259
APA StyleCuomo, F., Cofelice, M., & Lopez, F. (2019). Rheological Characterization of Hydrogels from Alginate-Based Nanodispersion. Polymers, 11(2), 259. https://doi.org/10.3390/polym11020259

