New Type of Sodium Alginate-g-acrylamide Polyelectrolyte Obtained by Electron Beam Irradiation: Characterization and Study of Flocculation Efficacy and Heavy Metal Removal Capacity
Abstract
:1. Introduction
2. Experimental Section
2.1. Materials
2.2. Experimental Installation and Sample Preparation
2.3. Sample Characterization
2.3.1. Physicochemical Characteristics
2.3.2. Purification of Grafted Polymers and Grafting Reaction Evaluation
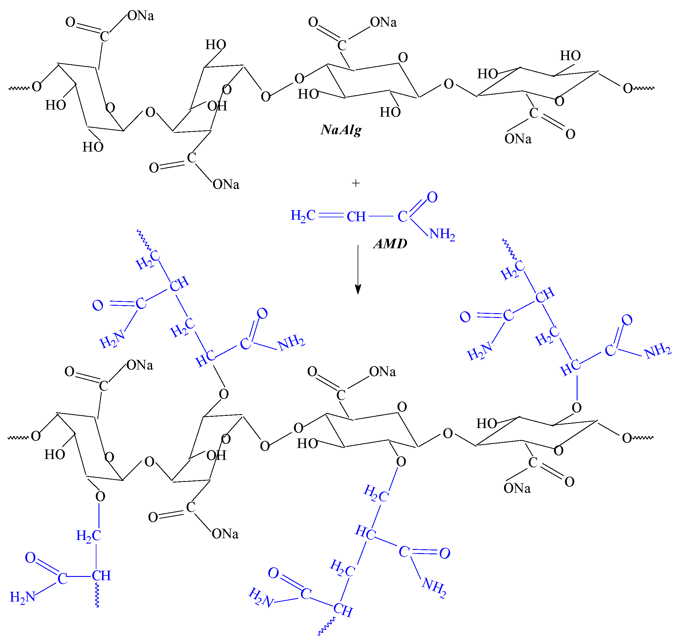
2.3.3. FTIR Analysis and Reaction Mechanisms
2.3.4. Flocculation Studies
2.3.5. Metal Ion Removal Studies
3. Results and Discussions
3.1. Physical and Chemical Characteristics of Sodium Alginate-g-acrylamide Polymers
3.2. Fourier Transform Infrared Spectroscopy (FTIR)
3.3. Flocculation Study Results
- Using polymers of AMD/ALg I type in concentration of 1 ppm, transmittances over 96% were obtained (Figure 9b–g), except in the case of AMD/ALg I/0.5;
- Considering as being of interest the concentration range between 0.5 and 4 ppm, it can be observed that even if the polymers of AMD/ALg II types physicochemical properties are inferior to those of AMD/ALg I types, especially in terms of intrinsic viscosity/molecular weight, the best flocculation results were obtained in the case of their use (AMD/ALg II/2 having intrinsic viscosity of 1.283 dl/g versus AMD/ALg I/1 having intrinsic viscosity of 2.081 dl/g);
- Except in the cases of AMD/ALg I/0.5, AMD/ALg I/0.75, and AMD/ALg I/1, the polymers of AMD/ALg II types were more efficient than those of AMD/ALg I types. Thus, I can be said that for more concentrated kaolin suspensions, high sodium alginate concentrations are needed, and for AMD/ALg II polymer types, higher irradiation doses are necessary;
- In order to obtain similar results, polymers of AMD/ALg I type have to be used in lower concentrations than polymers of AMD/ALg II type.
3.4. Metal Ion Removal Study Results
4. Conclusions
Author Contributions
Funding
Conflicts of Interest
References
- Craciun, G.; Manaila, E.; Martin, D.; Ighigeanu, D. Polyelectrolytes obtained by ionizing and non-ionizing radiation. In Practical Aspects and Applications of Electron Beam Irradiation, 1st ed.; Nemtanu, M.R., Brasoveanu, M., Eds.; Transworld Research Network: Kerala, India, 2011; pp. 167–179. ISBN 978-81-7895-541-4. [Google Scholar]
- CEW. Available online: http://infohouse.p2ric.org/ref/10/09949.htm (accessed on 30 October 2018).
- Bolto, B.; Gregory, J. Organic polyelectrolytes in water treatment. Water Res. 2007, 41, 2301–2324. [Google Scholar] [CrossRef] [PubMed]
- Kawamura, S. Considerations on improving flocculation. J. Am. Water Works Assoc. 1976, 68, 328–336. [Google Scholar] [CrossRef]
- Rout, D.; Verma, R.; Agarwal, S.K. Polyelectrolyte treatment—An approach for water quality improvement. Water Sci. Technol. 1999, 40, 137–141. [Google Scholar] [CrossRef]
- Nozaic, D.J.; Freese, S.D.; Thompson, P. Long term experience in the use of polymeric coagulants at Umgeni Water. Water Sci. Technol. Water Supply 2001, 1, 43–50. [Google Scholar] [CrossRef]
- Leu, R.J.; Ghosh, M.M. Poly-electrolyte characteristics and flocculation. J. Am. Water Works Assoc. 1988, 80, 159–167. Available online: https://www.jstor.org/stable/41292143 (accessed on 30 October 2018). [CrossRef]
- Boggs, S.; Livermore, D.G.; Seitz, M.G. Humic macromolecules in natural-waters. J. Macromol. Sci. Rev. Macromol. Chem. Phys. 1985, C25, 599–657. [Google Scholar] [CrossRef]
- Brostow, W.; Lobland, H.E.H.; Pal, S.; Singh, R.P. Polymeric flocculants for wastewater and industrial effluent treatment. J. Mater. Educ. 2009, 31, 157–166. Available online: https://pdfs.semanticscholar.org/e5de/a2d4df7216dcd6e148de22b8a630aa1e4af8.pdf (accessed on 30 October 2018).
- Sahu, O.P.; Chaudhari, P.K. Review on Chemical treatment of Industrial Waste Water. J. Appl. Sci. Environ. Manag. 2013, 17, 241–257. Available online: http://www.bioline.org.br/pdf?ja13028 (accessed on 30 October 2018). [CrossRef]
- Singh, R.P.; Tripathy, T.; Karmakar, G.P.; Rath, S.K.; Karmakar, N.C.; Pandey, S.R.; Kannan, K.; Jain, S.K.; Lan, N.T. Novel biodegradable flocculants based on polysaccharides. Curr. Sci. India 2000, 78, 798–803. Available online: http://www.iisc.ernet.in/currsci/apr102000/researchaccount.pdf (accessed on 30 October 2018).
- Swanson, C.L.; Shogren, R.L.; Fanta, G.F.; Imam, S.H. Starch-plastic materials—Preparation, physical properties, and biodegradability (a review of recent USDA research). J. Environ. Polym. Degrad. 1993, 1, 155–166. Available online: https://link.springer.com/article/10.1007/BF01418208 (accessed on 30 October 2018). [CrossRef]
- Singh, R.P. Advanced Turbulent Drag Reducing and Flocculating Materials Based on Polysaccharides. In Polymers and Other Advanced Materials: Emerging Technologies and Business Opportunities, 1st ed.; Prasad, P.N., Mark, E., Fai, T.J., Eds.; Plenum Press: New York, NY, USA, 1995; pp. 227–249. ISBN 978-1-4899-0504-8. [Google Scholar]
- Kumar, D.; Pandey, J.; Raj, V.; Kumar, P. A Review on the Modification of Polysaccharide through Graft Copolymerization for Various Potential Applications. Open Med. Chem. J. 2017, 11, 109–126. [Google Scholar] [CrossRef] [PubMed]
- Singh, R.P.; Karmakar, G.P.; Rath, S.K.; Karmakar, N.C.; Pandey, S.R.; Tripathy, T.; Panda, J.; Kannan, K.; Jain, S.K.; Lan, N.T. Biodegradable brag reducing agents and flocculants based on polysaccharides: Materials and applications. Polym. Eng. Sci. 2000, 40, 46–60. [Google Scholar] [CrossRef]
- Sorour, M.; El-Sayed, M.; El Moneem, N.A.; Talaat, H.; Shaalan, H.; El Marsafy, S. Free radical grafting kinetics of acrylamide onto a blend of starch/chitosan/alginate. Carbohyd. Polym. 2013, 98, 460–464. [Google Scholar] [CrossRef] [PubMed]
- El-Sayed, M.; Sorour, M.; Abd El Moneem, N.; Talaat, H.; Shalaan, H.; El-Marsafy, S. Synthesis and properties of natural polymers—Grafted-acrylamide. World Appl. Sci. J. 2011, 13, 360–368. Available online: https://www.researchgate.net/publication/279704044_Synthesis_and_properties_of_natural_polymers-grafted-aerylamide (accessed on 30 October 2018).
- Sadeghi, M.; Heidari, B.; Montazeri, K. pH-Responsiveness properties of a biodigradable hydrogels based on carrageenan-g-poly(NaAA-co-NIPAM). Int. J. Chem. Mol. Nucl. Mater. Metall. Eng. 2011, 5, 301–304. Available online: https://pdfs.semanticscholar.org/1ad2/f872c7e63721a70a78307194ac6c4345afcf.pdf (accessed on 30 October 2018).
- Shifeng, Y.; Ying, M.; Lucile, M.; Da-Wen, S. Physicochemical properties of starch and flour from different rice cultivars. Food Bioprocess Technol. 2012, 5, 626–637. [Google Scholar] [CrossRef]
- Mane, P.C.; Bhosle, A.B.; Jangam, C.M.; Mukate, S.V. Heavy Metal Removal from Aqueous Solution by Opuntia: A Natural Polyelectrolyte. J. Nat. Prod. Plant Resour. 2011, 1, 75–80. Available online: https://www.scholarsresearchlibrary.com/articles/heavy-metal-removal-from-aqueous-solution-by-opuntia-a-naturalpolyelectrolyte.pdf (accessed on 30 October 2018).
- Mane, P.C.; Bhosle, A.B.; Deshmukh, P.D.; Jangam, C.M. Chromium adsorption onto activated carbon derived from Tendu (Diospyros melanoxylon) leaf refuse: Influence of metal/carbon ratio, time and pH. Adv. Appl. Sci. Res. 2010, 1, 212–221. Available online: http://www.imedpub.com/articles/chromium-adsorption-onto-activated-carbon-derived-from-tendu-diospyros-melanoxylon-leaf-refuse-influence-of-metalcarbon-ratio-time.pdf (accessed on 30 October 2018).
- Al-Saydeha, S.A.; El-Naas, M.H.; Zaidi, S.J. Copper removal from industrial wastewater: A comprehensive review. J. Ind. Eng. Chem. 2017, 56, 35–44. [Google Scholar] [CrossRef]
- Petrovič, A.; Simonič, M. Removal of heavy metal ions from drinking water by alginate-immobilised Chlorella sorokiniana. Int. J. Environ. Sci. Technol. 2016, 13, 1761–1780. [Google Scholar] [CrossRef]
- Mokhter, M.A.; Magnenet, C.; Lakard, S.; Euvrard, M.; Aden, M.; Clément, S.; Mehdi, A.; Lakard, B. Use of Modified Colloids and Membranes to Remove Metal Ions from Contaminated Solutions. Colloids Interfaces 2018, 2, 19. [Google Scholar] [CrossRef]
- Sand, A.; Vyas, A.; Gupta, A.K. Graft copolymer based on (sodium alginate-g-acrylamide): Characterization and study of Water swelling capacity, metal ion sorption, flocculation and resistance to biodegradability. Int. J. Biol. Macromol. 2016, 90, 37–43. [Google Scholar] [CrossRef] [PubMed]
- Mcneely, W.H.; Pettitt, D.J. Algin. In Industrial Gums: Polysaccharides and Their Derivatives, 2nd ed.; Whistler, R., Ed.; Academic Press: New York, NY, USA, 1973; pp. 49–81. ISBN 978-0-12-746252-3. [Google Scholar]
- Manaila, E.; Craciun, G.; Ighigeanu, D.; Campeanu, C.; Barna, C.; Fugaru, V. Hydrogels synthesized by electron beam irradiation for heavy metal adsorption. Materials 2017, 10, 540. [Google Scholar] [CrossRef] [PubMed]
- Fiti, M. Dozimetria Chimica a Radiatiilor Ionizante (Ionizing Radiation Chemical Dosimetry), 1st ed.; Editura Academiei Republicii Socialiste Romania: Bucuresti, Romania, 1973; pp. 24–70. [Google Scholar]
- Cleland, M.R. Ion Beam Applications. In Proceedings of the Industrial Applications of Electron Accelerators CERN Accelerator School, Zeegse, The Netherlands, 24 May–2 June 2005. [Google Scholar]
- Craciun, G.; Manaila, E.; Niculescu, M.; Ighigeanu, D. Obtaining a new type of polyelectrolyte based on acrylamide and hydrolyzed collagen by electron beam irradiation. Polym. Bull. 2017, 74, 1299–1326. [Google Scholar] [CrossRef]
- Caulfield, M.J.; Hao, X.; Qiao, G.G.; Solomon, D.H. Degradation on polyacrylamides. Part II. Polyacrylamide gels. Polymer 2003, 44, 3817–3826. [Google Scholar] [CrossRef]
- Selvapathy, P.; Reddy, M.J. Effect of polyelectrolytes on turbidity removal. Water Supply 1992, 10, 175–178. Available online: https://www.researchgate.net/publication/279552053 (accessed on 30 October 2018).
- Dimonie, M.; Boghina, C.; Cincu, C.; Marinescu, M.; Marinescu, N. Poliacrilamida, 1st ed.; Editura Tehnica: Bucharest, Romania, 1986; pp. 194–208. [Google Scholar]
- Caulfield, M.J.; Hao, X.; Qiao, G.G.; Solomon, D.H. Degradation on polyacrylamides. Part I. Linear polyacrylamide. Polymer 2003, 44, 1331–1337. [Google Scholar] [CrossRef]
- Sarkar, A.K.; Mandre, N.R.; Panda, A.B.; Pal, S. Amylopectin grafted with poly (acrylic acid): Development and application of a high performance flocculant. Carbohyd. Polym. 2013, 95, 753–759. [Google Scholar] [CrossRef] [PubMed]
- Ghosh, S.; Sen, G.; Jha, U.; Pal, S. Novel biodegradable polymeric flocculant based on polyacrylamide-grafted tamarind kernel polysaccharide. Bioresource. Technol. 2010, 101, 9638–9644. [Google Scholar] [CrossRef] [PubMed]
- Zhang, S.; Wang, W.; Wang, H.; Qi, W.; Yue, L.; Ye, Q. Synthesis and characterization of starch grafted superabsorbent via 10 MeV electron beam irradiation. Carbohyd. Polym. 2014, 101, 798–803. [Google Scholar] [CrossRef]
- Shouman, M.A.; Fathy, N.A.; Khedr, S.A.; Attia, A.A. Comparative Biosorption Studies of Hexavalent Chromium Ion onto Raw and Modified Palm Branches. Adv. Phys. Chem. 2013, 159712. [Google Scholar] [CrossRef]
- Liu, C.; Liu, H.; Xiong, T.; Xu, A.; Pan, B.; Tang, K. Graphene Oxide Reinforced Alginate/PVA Double Network Hydrogels for Efficient Dye Removal. Polymers 2018, 10, 835. [Google Scholar] [CrossRef]
- Xia, L.; Huang, Z.; Zhong, L.; Xie, F.; Tang, C.Y.; Tsui, C.P. Bagasse Cellulose Grafted with an Amino-Terminated Hyperbranched Polymer for the Removal of Cr(VI) from Aqueous Solution. Polymers 2018, 10, 931. [Google Scholar] [CrossRef]
- Smets, G.; Dysseleer, E. Graft efficiency. Macromol. Chem. Phys. 1966, 91, 160–174. [Google Scholar] [CrossRef]
- Xie, C.; Feng, Y.; Cao, W.; Teng, H.; Li, J.; Lu, Z. Novel Biodegradable Flocculating Agents Prepared by Grafting Polyacrylamide to Konjac. J. Appl. Polym. Sci. 2009, 111, 2527–2536. [Google Scholar] [CrossRef]
- Khouryieh, H.A.; Herald, T.J.; Aramouni, F.; Alavi, S. Intrinsic viscosity and viscoelastic properties of xanthan/guar mixtures in dilute solutions: Effect of salt concentration on the polymer interactions. Food Res. Int. 2007, 40, 883–893. [Google Scholar] [CrossRef]
- Flory, P.J. The structure of vinyl polymers. In Principles of Polymer Chemistry, 1st ed.; Cornell University Press: Ithaca, NY, USA, 1953; pp. 308–314. ISBN 0801401348. [Google Scholar]
- Rao, M.A. Rheology of Fluid and Semisolid Foods. Principles and Applications, 2nd ed.; Springer: Berlin/Heidelberg, Germany, 2007; pp. 3–14. ISBN 978-0-387-70929-1. [Google Scholar]
- Sadeghi, M.; Godarzi, A.; Khani, F.; Mirdarikvande, S.; Sadeghi, H.; Shasavari, H. Synthesis of a Novel Biopolymer-based alginate Superabsorbent Hydrogel. Bull. Env. Pharmacol. Life Sci. 2014, 3, 169–174. Available online: http://www.bepls.com/bepsljan2014/29a.pdf (accessed on 30 October 2018).
- Couto da Feira, J.M.; Klein, J.M.; Camargo Forte, M.M. Ultrasound-assisted synthesis of polyacrylamide-grafted sodium alginate and its application in dye removal. Polímeros 2018, 28, 139–146. [Google Scholar] [CrossRef]
- Patel, G.M.; Patel, C.P.; Trivedi, H.C. Ceric-induced grafting of methyl acrylate onto sodium salt of partially carboxymethylated sodium alginate. Eur. Polym. J. 1999, 35, 201–208. [Google Scholar] [CrossRef]
- Sun, J.Y.; Zhao, X.; Illeperuma, W.R.K.; Chaudhuri, O.; Oh, K.H.; Mooney, D.J.; Vlassak, J.J.; Suo, Z. Highly stretchable and tough hydrogels. Nature 2012, 489, 133–136. [Google Scholar] [CrossRef]
- Manaila, E.; Craciun, G.; Stelescu, M.D.; Ighigeanu, D.; Ficai, M. Radiation vulcanization of natural rubber with polyfunctional monomer. Polym. Bull. 2014, 71, 57–82. [Google Scholar] [CrossRef]
- Stelescu, M.D.; Manaila, E.; Craciun, G. Vulcanization of ethylene-propyleneterpolymer-based rubber mixtures by radiation processing. J. Appl. Polym. Sci. 2013, 128, 2325–2336. [Google Scholar] [CrossRef]
- Stelescu, M.D.; Manaila, E.; Zuga, N. The use of polyfunctional monomers in the radical cure of chlorinated polyethylene. Polym. J. 2011, 43, 792–800. [Google Scholar] [CrossRef]
- Stelescu, M.D.; Manaila, E.; Craciun, G.; Zuga, N. Crosslinking and grafting ethylene vinyl acetate copolymer with accelerated electrons in the presence of polyfunctional monomers. Polym. Bull. 2012, 68, 263–285. [Google Scholar] [CrossRef]
- Craciun, G.; Ighigeanu, D.; Manaila, E.; Stelescu, M.D. Synthesis and Characterization of Poly(Acrylamide-Co-Acrylic Acid) Flocculant Obtained by Electron Beam Irradiation. Mater. Res. 2015, 18, 984–993. [Google Scholar] [CrossRef]
- Alberti, A.; Bertini, S.; Gastaldi, G.; Iannaccone, N.; Macciantelli, D.; Torri, G.; Vismara, E. Electron beam irradiated textile cellulose fibres: ESR studies and derivatisation with glycidyl methacrylate (GMA). Eur. Polym. J. 2005, 41, 1787–1797. [Google Scholar] [CrossRef]
- Isiklan, N.; Kursun, F. Synthesis and characterization of graft copolymer of sodium alginate and poly(itaconic acid) by the redox system. Polym. Bull. 2014, 70, 1065–1084. [Google Scholar] [CrossRef]
- Bisval, D.R.; Sing, R.P. Flocculation studies based on water soluble polymers of grafted carboxymethyl cellulose and polyacrylamide. J. Appl. Polym. Sci. 2006, 102, 1000–1007. [Google Scholar] [CrossRef]
- Sharma, B.R.; Dhuldhoya, N.C.; Merchant, U.C. Flocculants-an Ecofriendly Approach. J. Polym. Environ. 2006, 14, 195–202. [Google Scholar] [CrossRef]
- Laue, C.; Hunkeler, D. Chitosan-graft-acrylamide polyelectrolytes: Synthesis, flocculation and modeling. J. Appl. Polym. Sci. 2006, 102, 885–896. [Google Scholar] [CrossRef]
- Munoz Prieto, E.J.; Rivas, B.; Sanchez, J. Natural polymer grafted with synthetic monomer by microwave for water treatment- A review. Rev. Ciencia Desarrollo 2012, 4, 219–240. [Google Scholar] [CrossRef]
- Zhang, W.; Shang, Y.; Yuan, B.; Jiang, Y.; Lu, Y.; Qin, Z.; Chen, A.; Qian, X.; Yang, H.; Cheng, R. The flocculating properties of chitosan-graft-polyacrylamide flocculants (II)—Test in pilot scale. J. Appl. Polym. Sci. 2010, 117, 2016–2024. [Google Scholar] [CrossRef]
- Kumar, K.; Das, D. Growth characteristics of Chlorella sorokiniana in airlift and bubble column photobioreactors. Bioresour. Technol. 2012, 16, 307–313. [Google Scholar] [CrossRef] [PubMed]
- Onyancha, D.; Mavura, W.; Ngila, J.C.; Ongoma, P.; Chacha, J. Studies of chromium removal from tannery wastewaters by algae biosorbents, Spirogyra condensata and Rhizoclonium hieroglyphicum. J. Hazard. Mater. 2008, 158, 605–614. [Google Scholar] [CrossRef] [PubMed]
- Wu, N.; Wei, H.; Zhang, L. Efficient Removal of Heavy Metal Ions with Biopolymer Template Synthesized Mesoporous Titania Beads of Hundreds of Micrometers Size. Environ. Sci. Technol. 2012, 46, 419–425. [Google Scholar] [CrossRef] [PubMed]















| Materials | Chemical Characteristics | Chemical Structure/Molecular Formula |
|---|---|---|
| Acrylamide, AMD | molecular weight: 72.06 g/mol; density: 1.051 g/cm3; solubility in water: 2.04 kg·L−1 at 25 °C; | ![]() |
| Potassium persulfate, PP (used as reaction initiator) | molecular weight: 270.322 g/mol; density: 2.477 g/cm3; solubility in water: 1.75 g/100 mL at 0 °C; | K2S2O8 |
| Sodium alginate, ALg | molecular weight: 216.121 g/mol; density: 1.601 g/cm3 solubility in water: no more than 2% on the dried basis | (C6H7NaO6)n or C6H9NaO7 |
| Samples Codes | Amount of Chemicals | Irradiation Dose (kGy) | ||
|---|---|---|---|---|
| AMD (mol/L) | Alg (%) | PP (mol/L) | ||
| AMD/ALg I/0.5 | 2.63 | 1 | 9.25 × 10−4 | 0.5 |
| AMD/ALg I/0.75 | 0.75 | |||
| AMD/ALg I/1 | 1 | |||
| AMD/ALg I/1.25 | 1.25 | |||
| AMD/ALg I/1.5 | 1.5 | |||
| AMD/ALg I/1.75 | 1.75 | |||
| AMD/ALg I/2 | 2 | |||
| AMD/ALg II/0.5 | 2.63 | 2 | 9.25 × 10−4 | 0.5 |
| AMD/ALg II/0.75 | 0.75 | |||
| AMD/ALg II/1 | 1 | |||
| AMD/ALg II/1.25 | 1.25 | |||
| AMD/ALg II/1.5 | 1.5 | |||
| AMD/ALg II/1.75 | 1.75 | |||
| AMD/ALg II/2 | 2 | |||
| Dose (kGy) | Cc (%) | Mrez. (%) | ηintr. (dl/g) | |||
|---|---|---|---|---|---|---|
| I | II | I | II | I | II | |
| 0.5 | 83.21 | 83.04 | 0.0604 | 0.0675 | 1.516 | 0.822 |
| 0.75 | 90.76 | 90.41 | 0.0355 | 0.0369 | 1.880 | 1.172 |
| 1 | 92.54 | 92.99 | 0.0277 | 0.0269 | 2.081 | 1.790 |
| 1.25 | 93.64 | 93.94 | 0.0241 | 0.0227 | 1.625 | 1.632 |
| 1.5 | 95.39 | 94.69 | 0.0171 | 0.0199 | 1.491 | 1.532 |
| 1.75 | 96.97 | 96.51 | 0.0114 | 0.0135 | 1.469 | 1.301 |
| 2 | 96.58 | 96.72 | 0.0128 | 0.0128 | 1.403 | 1.283 |
© 2019 by the authors. Licensee MDPI, Basel, Switzerland. This article is an open access article distributed under the terms and conditions of the Creative Commons Attribution (CC BY) license (http://creativecommons.org/licenses/by/4.0/).
Share and Cite
Craciun, G.; Manaila, E.; Ighigeanu, D. New Type of Sodium Alginate-g-acrylamide Polyelectrolyte Obtained by Electron Beam Irradiation: Characterization and Study of Flocculation Efficacy and Heavy Metal Removal Capacity. Polymers 2019, 11, 234. https://doi.org/10.3390/polym11020234
Craciun G, Manaila E, Ighigeanu D. New Type of Sodium Alginate-g-acrylamide Polyelectrolyte Obtained by Electron Beam Irradiation: Characterization and Study of Flocculation Efficacy and Heavy Metal Removal Capacity. Polymers. 2019; 11(2):234. https://doi.org/10.3390/polym11020234
Chicago/Turabian StyleCraciun, Gabriela, Elena Manaila, and Daniel Ighigeanu. 2019. "New Type of Sodium Alginate-g-acrylamide Polyelectrolyte Obtained by Electron Beam Irradiation: Characterization and Study of Flocculation Efficacy and Heavy Metal Removal Capacity" Polymers 11, no. 2: 234. https://doi.org/10.3390/polym11020234
APA StyleCraciun, G., Manaila, E., & Ighigeanu, D. (2019). New Type of Sodium Alginate-g-acrylamide Polyelectrolyte Obtained by Electron Beam Irradiation: Characterization and Study of Flocculation Efficacy and Heavy Metal Removal Capacity. Polymers, 11(2), 234. https://doi.org/10.3390/polym11020234

