Extraction Optimization and Effects of Extraction Methods on the Chemical Structures and Antioxidant Activities of Polysaccharides from Snow Chrysanthemum (Coreopsis Tinctoria)
Abstract
:1. Introduction
2. Material and Methods
2.1. Material and Chemicals
2.2. Extraction of Polysaccharides from Snow Chrysanthemum
2.2.1. Hot Water Extraction
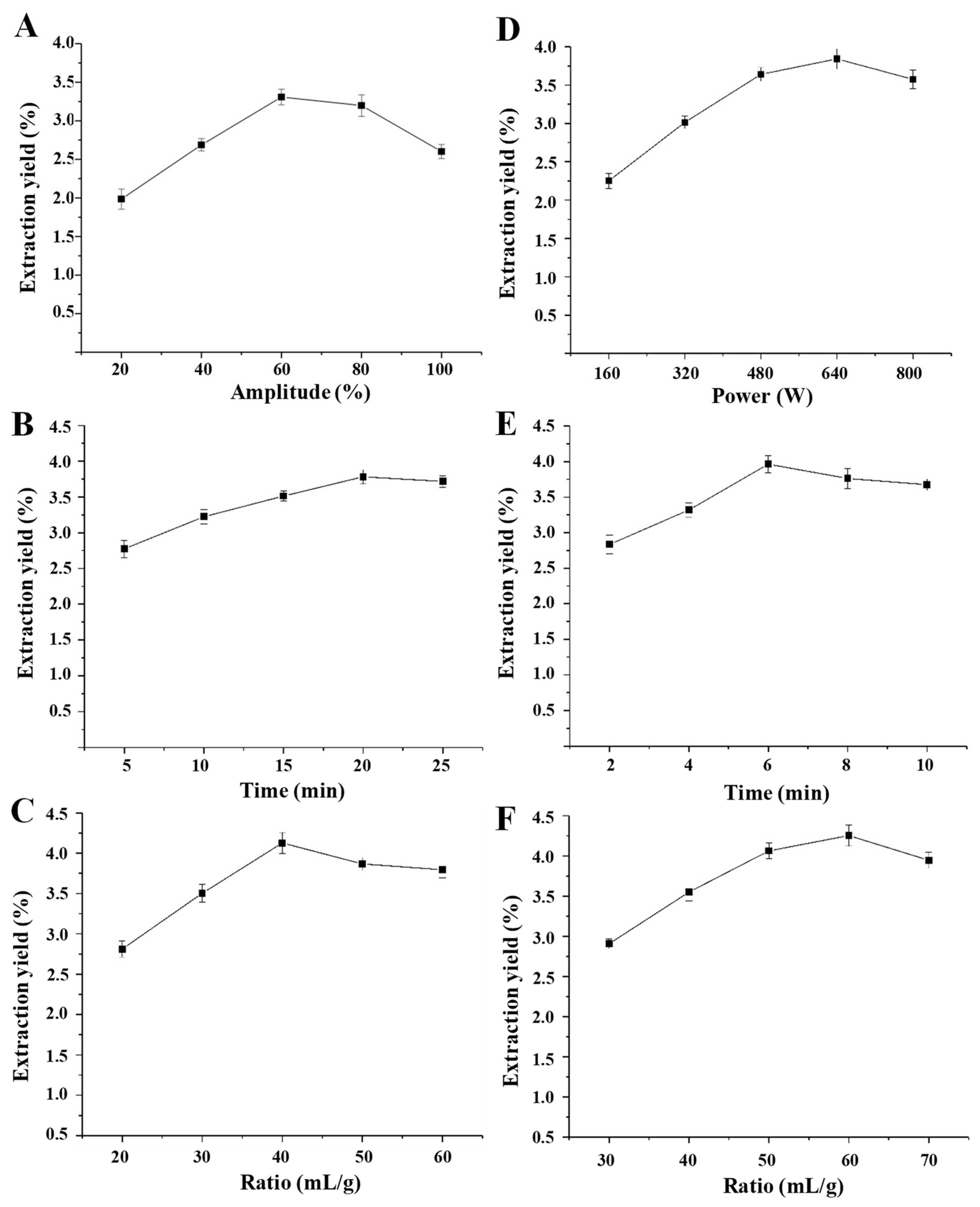
2.2.2. Ultrasonic-Assisted Extraction
2.2.3. Microwave-Assisted Extraction
2.3. Characterization of Polysaccharides from Snow Chrysanthemum
2.3.1. Chemical Composition Analysis
2.3.2. Determination of Molecular Weights
2.3.3. Determination of Constituent Monosaccharides
2.3.4. Fourier Transform Infrared (FT-IR) Spectroscopy Analysis
2.4. Evaluation of Antioxidant Activities of Polysaccharides from Snow Chrysanthemum
2.4.1. DPPH Radical Scavenging Activity
2.4.2. ABTS Radical Cation Scavenging Activity
2.4.3. Nitric Oxide Radical Scavenging Activity
2.4.4. Reducing Power
2.5. Statistical Analysis
3. Results and Discussions
3.1. Extraction Optimization of Polysaccharides from Snow Chrysanthemum
3.1.1. Ultrasonic-Assisted Extraction of SCPs
3.1.2. Microwave-Assisted Extraction of SCPs
3.2. Physicochemical Characteristics of SCPs
3.2.1. Chemical Composition of SCPs
3.2.2. Molecular Weights and Constituent Monosaccharides of SCPs
3.2.3. FT-IR Spectra and Degree of Esterification of SCPs
3.3. Antioxidant Activities of SCPs
4. Conclusions
Author Contributions
Funding
Conflicts of Interest
References
- Zheng, C.; Dong, Q.; Chen, H.; Cong, Q.; Ding, K. Structural characterization of a polysaccharide from Chrysanthemum morifolium flowers and its antioxidant activity. Carbohydr. Polym. 2015, 130, 113–121. [Google Scholar] [CrossRef] [PubMed]
- Schieber, M.; Chandel, N.S. ROS function in redox signaling and oxidative stress. Curr. Biol. 2014, 24, R453–R462. [Google Scholar] [CrossRef] [PubMed]
- Saez-Freire, M.D.M.; Blanco-Gomez, A.; Castillo-Lluva, S.; Gomez-Vecino, A.; Galvis-Jimenez, J.M.; Martin-Seisdedos, C.; Isidoro-Garcia, M.; Hontecillas-Prieto, L.; Garcia-Cenador, M.B.; Garcia-Criado, F.J.; et al. The biological age linked to oxidative stress modifies breast cancer aggressiveness. Free Radic. Biol. Med. 2018, 120, 133–146. [Google Scholar] [CrossRef] [PubMed]
- Ravarotto, V.; Simioni, F.; Pagnin, E.; Davis, P.A.; Calo, L.A. Oxidative stress—Chronic kidney disease—Cardiovascular disease: A vicious circle. Life Sci. 2018, 210, 125–131. [Google Scholar] [CrossRef] [PubMed]
- Raguraman, V.; Abraham, L.S.; Jyotsna, J.; Palaniappan, S.; Gopal, S.; Thirugnanasambandam, R.; Kirubagaran, R. Sulfated polysaccharide from Sargassum tenerrimum attenuates oxidative stress induced reactive oxygen species production in in vitro and in zebrafish model. Carbohydr. Polym. 2019, 203, 441–449. [Google Scholar] [CrossRef]
- Xie, J.H.; Jin, M.L.; Morris, G.A.; Zha, X.Q.; Chen, H.Q.; Yi, Y.; Li, J.E.; Wang, Z.J.; Gao, J.; Nie, S.P.; et al. Advances on bioactive polysaccharides from medicinal plants. Crit. Rev. Food Sci. 2016, 56, S60–S84. [Google Scholar] [CrossRef]
- Yu, Y.; Shen, M.Y.; Song, Q.Q.; Xie, J.H. Biological activities and pharmaceutical applications of polysaccharide from natural resources: A review. Carbohydr. Polym. 2018, 183, 91–101. [Google Scholar] [CrossRef]
- Li, H.; Ding, F.; Xiao, L.; Shi, R.; Wang, H.; Han, W.; Huang, Z. Food-derived antioxidant polysaccharides and their pharmacological potential in neurodegenerative diseases. Nutrients 2017, 9, 778. [Google Scholar] [CrossRef]
- Wang, Z.J.; Xie, J.H.; Nie, S.P.; Xie, M.Y. Review on cell models to evaluate the potential antioxidant activity of polysaccharides. Food Funct. 2017, 8, 915–926. [Google Scholar] [CrossRef]
- Xu, S.Y.; Huang, X.; Cheong, K.L. Recent advances in marine algae polysaccharides: Isolation, structure, and activities. Mar. Drugs 2017, 15, 388. [Google Scholar] [CrossRef]
- Jing, S.; Chai, W.; Guo, G.; Zhang, X.; Dai, J.; Yan, L.J. Comparison of antioxidant and antiproliferative activity between Kunlun Chrysanthemum flowers polysaccharides (KCCP) and fraction PII separated by column chromatography. J. Chromatogr. B 2016, 1019, 169–177. [Google Scholar] [CrossRef] [PubMed]
- Zhi, Q.; Li, Y.; Li, F.H.; Tian, Y.; Li, F.X.; Tang, Y.; Yang, Y.X.; Yin, R.; Ming, J. Polyphenols extracted from Coreopsis tinctoria buds exhibited a protective effect against acute liver damage. J. Funct. Foods 2018, 44, 201–208. [Google Scholar] [CrossRef]
- Dias, T.; Bronze, M.R.; Houghton, P.J.; Mota-Filipe, H.; Paulo, A. The flavonoid-rich fraction of Coreopsis tinctoria promotes glucose tolerance regain through pancreatic function recovery in streptozotocin-induced glucose-intolerant rats. J. Ethnopharmacol. 2010, 132, 483–490. [Google Scholar] [CrossRef] [PubMed]
- Wang, T.; Xi, M.; Guo, Q.; Wang, L.; Shen, Z. Chemical components and antioxidant activity of volatile oil of a Compositae tea (Coreopsis tinctoria Nutt.) from Mt. Kunlun. Ind. Crop. Prod. 2015, 67, 318–323. [Google Scholar] [CrossRef]
- Guo, L.M.; Zhang, W.S.; Li, S.M.; Ho, C.T. Chemical and nutraceutical properties of Coreopsis tinctoria. J. Funct. Foods 2015, 13, 11–20. [Google Scholar] [CrossRef]
- Tsai, J.C.; Chiu, C.S.; Chen, Y.C.; Lee, M.S.; Hao, X.Y.; Hsieh, M.T.; Kao, C.P.; Peng, W.H. Hepatoprotective effect of Coreopsis tinctoria flowers against carbon tetrachloride-induced liver damage in mice. BMC Complement. Altern. Med. 2017, 17, 139. [Google Scholar] [CrossRef]
- Tian, Y.; Li, Y.; Li, F.; Zhi, Q.; Li, F.; Tang, Y.; Yang, Y.; Yin, R.; Ming, J. Protective effects of Coreopsis tinctoria flowers phenolic extract against D-galactosamine/lipopolysaccharide-induced acute liver injury by up-regulation of Nrf2, PPARα, and PPARγ. Food Chem. Toxicol. 2018, 121, 404–412. [Google Scholar] [CrossRef]
- Dias, T.; Liu, B.; Jones, P.; Houghton, P.J.; Mota-Filipe, H.; Paulo, A. Cytoprotective effect of Coreopsis tinctoria extracts and flavonoids on tBHP and cytokine-induced cell injury in pancreatic MIN6 cells. J. Ethnopharmacol. 2012, 139, 485–492. [Google Scholar] [CrossRef]
- Cai, W.; Yu, L.; Zhang, Y.; Feng, L.; Kong, S.; Tan, H.; Xu, H.; Huang, C. Extracts of Coreopsis tinctoria Nutt. flower exhibit antidiabetic effects via the inhibition of α-glucosidase activity. J. Diabetes Res. 2016, 2016, 234–276. [Google Scholar] [CrossRef]
- Chen, L.X.; Hu, D.J.; Lam, S.C.; Ge, L.; Wu, D.; Zhao, J.; Long, Z.R.; Yang, W.J.; Fan, B.; Li, S.P. Comparison of antioxidant activities of different parts from snow chrysanthemum (Coreopsis tinctoria Nutt.) and identification of their natural antioxidants using high performance liquid chromatography coupled with diode array detection and mass spectrometry and 2,2′-azinobis(3-ethylbenzthiazoline-sulfonic acid)diammonium salt-based assay. J. Chromatogr. A 2016, 1428, 134–142. [Google Scholar]
- Lam, S.C.; Lam, S.F.; Zhao, J.; Li, S.P. Rapid identification and comparison of compounds with antioxidant activity in Coreopsis tinctoria herbal tea by high-performance thin-layer chromatography coupled with DPPH bioautography and densitometry. J. Food Sci. 2016, 81, C2218–C2223. [Google Scholar] [CrossRef] [PubMed]
- Du, D.; Yao, L.; Zhang, R.; Shi, N.; Shen, Y.; Yang, X.; Zhang, X.; Jin, T.; Liu, T.; Hu, L.; et al. Protective effects of flavonoids from Coreopsis tinctoria Nutt. on experimental acute pancreatitis via Nrf-2/ARE-mediated antioxidant pathways. J. Ethnopharmacol. 2018, 224, 261–272. [Google Scholar] [CrossRef] [PubMed]
- Yao, X.; Gu, C.; Tian, L.; Wang, X.; Tang, H. Comparative study on the antioxidant activities of extracts of Coreopsis tinctoria flowering tops from Kunlun Mountains, Xinjiang, north-western China. Nat. Prod. Res. 2016, 30, 429–432. [Google Scholar] [CrossRef] [PubMed]
- Ma, Z.; Zheng, S.; Han, H.; Meng, J.; Yang, X.; Zeng, S.; Zhou, H.; Jiang, H. The bioactive components of Coreopsis tinctoria (Asteraceae) capitula: Antioxidant activity in vitro and profile in rat plasma. J. Funct. Foods 2016, 20, 575–586. [Google Scholar] [CrossRef]
- Dong, H.; Lin, S.; Zhang, Q.; Chen, H.; Lan, W.; Li, H.; He, J.; Qin, W. Effect of extraction methods on the properties and antioxidant activities of Chuanminshen violaceum polysaccharides. Int. J. Biol. Macromol. 2016, 93 Pt A, 179–185. [Google Scholar] [CrossRef]
- He, L.A.; Yan, X.T.; Liang, J.; Li, S.J.; He, H.R.; Xiong, Q.P.; Lai, X.P.; Hou, S.Z.; Huang, S. Comparison of different extraction methods for polysaccharides from Dendrobium officinale stem. Carbohydr. Polym. 2018, 198, 101–108. [Google Scholar] [CrossRef] [PubMed]
- Jia, S.; Li, F.; Liu, Y.; Ren, H.; Gong, G.; Wang, Y.; Wu, S. Effects of extraction methods on the antioxidant activities of polysaccharides from Agaricus blazei Murrill. Int. J. Biol. Macromol. 2013, 62, 66–69. [Google Scholar] [CrossRef]
- Chen, S.; Shang, H.; Yang, J.; Li, R.; Wu, H. Effects of different extraction techniques on physicochemical properties and activities of polysaccharides from comfrey (Symphytum officinale L.) root. Ind. Crop. Prod. 2018, 121, 18–25. [Google Scholar] [CrossRef]
- Wang, J.L.; Zhang, J.; Zhao, B.T.; Wang, X.F.; Wu, Y.Q.; Yao, J. A comparison study on microwave-assisted extraction of Potentilla anserina L. polysaccharides with conventional method: Molecule weight and antioxidant activities evaluation. Carbohydr. Polym. 2010, 80, 84–93. [Google Scholar] [CrossRef]
- Yan, Y.; Li, X.; Wan, M.; Chen, J.; Li, S.; Cao, M.; Zhang, D. Effect of extraction methods on property and bioactivity of water-soluble polysaccharides from Amomum villosum. Carbohydr. Polym. 2015, 117, 632–635. [Google Scholar] [CrossRef]
- Song, H.; He, M.L.; Gu, C.K.; Wei, D.; Liang, Y.Q.; Yan, J.M.; Wang, C.H. Extraction optimization, purification, antioxidant activity, and preliminary structural characterization of crude polysaccharide from an Arctic Chlorella sp. Polymers 2018, 10, 292. [Google Scholar] [CrossRef]
- Raza, A.; Li, F.; Xu, X.; Tang, J. Optimization of ultrasonic-assisted extraction of antioxidant polysaccharides from the stem of Trapa quadrispinosa using response surface methodology. Int. J. Biol. Macromol. 2017, 94 Pt A, 335. [Google Scholar] [CrossRef]
- Dubois, M.; Gilles, K.A.; Hamilton, J.K.; Rebers, P.A.; Smith, F. Colorimetric method for determination of sugars and related substances. Anal. Chem. 1956, 28, 350–356. [Google Scholar] [CrossRef]
- Filisetticozzi, T.M.; Carpita, N.C. Measurement of uronic acids without interference from neutral sugars. Anal. Biochem. 1991, 197, 157–162. [Google Scholar] [CrossRef]
- Bradford, M. A rapid and sensitive method for quantitation of microgram quantities of protein utilizing the principle of proteindye binding. Anal. Biochem. 1976, 72 (Suppl. 1–2), 248–254. [Google Scholar] [CrossRef]
- Cheong, K.L.; Wu, D.T.; Zhao, J.; Li, S.P. A rapid and accurate method for the quantitative estimation of natural polysaccharides and their fractions using high performance size exclusion chromatography coupled with multi-angle laser light scattering and refractive index detector. J. Chromatogr. A 2015, 1400, 98–106. [Google Scholar] [CrossRef] [PubMed]
- Sun, X.; Wang, H.; Han, X.; Chen, S.; Zhu, S.; Dai, J. Fingerprint analysis of polysaccharides from different Ganoderma by HPLC combined with chemometrics methods. Carbohydr. Polym. 2014, 114, 432–439. [Google Scholar] [CrossRef]
- Kyomugasho, C.; Christiaens, S.; Shpigelman, A.; Loey, A.M.V.; Hendrickx, M.E. FT-IR spectroscopy, a reliable method for routine analysis of the degree of methylesterification of pectin in different fruit- and vegetable-based matrices. Food Chem. 2015, 176, 82–90. [Google Scholar] [CrossRef]
- Abdenor, F.; Padmesh, A.; Markr, W.; Martinak, W. Determining the degree of methylesterification of pectin by ATR/FT-IR: Methodology optimisation and comparison with theoretical calculations. Carbohydr. Polym. 2009, 78, 847–853. [Google Scholar]
- Lin, S.; Guo, H.; Gong, J.D.B.; Lu, M.; Lu, M.Y.; Wang, L.; Zhang, Q.; Wu, D.T.; Qin, W. Phenolic profiles, β-glucan contents, and antioxidant capacities of colored Qingke (Tibetan hulless barley) cultivars. J. Cereal Sci. 2018, 81, 69–75. [Google Scholar] [CrossRef]
- Yang, M.; Shen, Q.; Li, L.Q.; Huang, Y.Q.; Cheung, H.Y. Phytochemical profiles, antioxidant activities of functional herb Abrus cantoniensis and Abrus mollis. Food Chem. 2015, 177, 304–312. [Google Scholar] [CrossRef] [PubMed]
- Zheng, Y.; Li, Y.; Wang, W.D. Optimization of ultrasonic-assisted extraction and in vitro antioxidant activities of polysaccharides from Trametes orientalis. Carbohydr. Polym. 2014, 111, 315–323. [Google Scholar] [CrossRef] [PubMed]
- Zeng, H.; Zhang, Y.; Lin, S.; Jian, Y.; Miao, S.; Zheng, B. Ultrasonic–microwave synergistic extraction (UMSE) and molecular weight distribution of polysaccharides from Fortunella margarita (Lour.) Swingle. Sep. Purif. Technol. 2015, 144, 97–106. [Google Scholar] [CrossRef]
- Jiang, C.; Li, X.; Jiao, Y.; Jiang, D.; Zhang, L.; Fan, B.; Zhang, Q. Optimization for ultrasound-assisted extraction of polysaccharides with antioxidant activity in vitro from the aerial root of Ficus microcarpa. Carbohydr. Polym. 2014, 110, 10–17. [Google Scholar] [CrossRef] [PubMed]
- Ren, B.; Chen, C.; Li, C.; Fu, X.; You, L.; Liu, R.H. Optimization of microwave-assisted extraction of Sargassum thunbergii polysaccharides and its antioxidant and hypoglycemic activities. Carbohydr. Polym. 2017, 173, 192–201. [Google Scholar] [CrossRef]
- Wu, J.; Yu, D.; Sun, H.; Zhang, Y.; Zhang, W.; Meng, F.; Du, X. Optimizing the extraction of anti-tumor alkaloids from the stem of Berberis amurensis by response surface methodology. Ind. Crop. Prod. 2015, 69, 68–75. [Google Scholar] [CrossRef]
- Dong, H.; Zhang, Q.; Li, Y.; Li, L.; Lan, W.; He, J.; Li, H.; Xiong, Y.; Qin, W. Extraction, characterization and antioxidant activities of polysaccharides of Chuanminshen violaceum. Int. J. Biol. Macromol. 2016, 86, 224–232. [Google Scholar] [CrossRef]
- Guo, X.; Shang, X.; Zhou, X.; Zhao, B.; Zhang, J. Ultrasound-assisted extraction of polysaccharides from Rhododendron aganniphum: Antioxidant activity and rheological properties. Ultrason. Sonochem. 2017, 38, 246–255. [Google Scholar] [CrossRef]
- Zhang, W.S.; Sun, Q.L.; Zheng, W.; Zhang, Y.; Du, J.; Dong, C.X.; Tao, N. Structural characterization of a polysaccharide from Coreopsis tinctoria Nutt. and its function to modify myeloid derived suppressor cells. Int. J. Biol. Macromol. 2019, 126, 926–933. [Google Scholar] [CrossRef]
- Wu, D.T.; Lam, S.C.; Cheong, K.L.; Feng, W.; Lin, P.C.; Long, Z.R.; Lv, X.J.; Jing, Z.; Ma, S.C.; Li, S.P. Simultaneous determination of molecular weights and contents of water-soluble polysaccharides and their fractions from Lycium barbarum collected in China. J. Pharm. Biomed. Anal. 2016, 129, 210–218. [Google Scholar] [CrossRef]
- Wu, D.T.; Guo, H.; Lin, S.; Lam, S.C.; Zhao, L.; Lin, D.R.; Qin, W. Review of the structural characterization, quality evaluation, and industrial application of Lycium barbarum polysaccharides. Trends Food. Sci. Tech. 2018, 79, 171–183. [Google Scholar] [CrossRef]
- Liang, F.J.; Hu, C.F.; He, Z.C.; Pan, Y.J. An arabinogalactan from flowers of Chrysanthemum morifolium: Structural and bioactivity studies. Carbohydr. Res. 2014, 387, 37–41. [Google Scholar] [CrossRef] [PubMed]
- Kpodo, F.M.; Agbenorhevi, J.K.; Alba, K.; Bingham, R.J.; Oduro, I.N.; Morris, G.A.; Kontogiorgos, V. Pectin isolation and characterization from six okra genotypes. Food Hydrocolloid. 2017, 72, 323–330. [Google Scholar] [CrossRef]
- Zheng, W.; Zhao, T.; Feng, W.W.; Wang, W.; Zou, Y.; Zheng, D.H.; Takase, M.; Li, Q.; Wu, H.Y.; Yang, L.Q.; et al. Purification, characterization and immunomodulating activity of a polysaccharide from flowers of Abelmoschus esculentus. Carbohydr. Polym. 2014, 106, 335–342. [Google Scholar] [CrossRef] [PubMed]
- Hosseini, S.S.; Khodaiyan, F.; Yarmand, M.S. Optimization of microwave assisted extraction of pectin from sour orange peel and its physicochemical properties. Carbohydr. Polym. 2016, 140, 59–65. [Google Scholar] [CrossRef] [PubMed]
- Wai, W.W.; Alkarkhi, A.F.M.; Easa, A.M. Effect of extraction conditions on yield and degree of esterification of durian rind pectin: An experimental design. Food Bioprod. Process. 2010, 88, 209–214. [Google Scholar] [CrossRef]
- Chen, G.; Wang, M.; Xie, M.; Wan, P.; Chen, D.; Hu, B.; Ye, H.; Zeng, X.; Liu, Z. Evaluation of chemical property, cytotoxicity and antioxidant activity in vitro and in vivo of polysaccharides from Fuzhuan brick teas. Int. J. Biol. Macromol. 2018, 116, 120–127. [Google Scholar] [CrossRef]
- Wang, Y.; Shao, S.; Xu, P.; Chen, H.; Lin, S.Y.; Deng, Y.T.; Lin, J.K. Fermentation process enhanced production and bioactivities of oolong tea polysaccharides. Food Res. Int. 2012, 46, 158–166. [Google Scholar] [CrossRef]
- Zhao, Q.; Dong, B.; Chen, J.; Zhao, B.; Wang, X.; Wang, L.; Zha, S.; Wang, Y.; Zhang, J.; Wang, Y. Effect of drying methods on physicochemical properties and antioxidant activities of wolfberry (Lycium barbarum) polysaccharide. Carbohydr. Polym. 2015, 127, 176–181. [Google Scholar] [CrossRef]
- Zhang, Z.; Lv, G.; He, W.; Shi, L.; Pan, H.; Fan, L. Effects of extraction methods on the antioxidant activities of polysaccharides obtained from Flammulina velutipes. Carbohydr. Polym. 2013, 98, 1524–1531. [Google Scholar] [CrossRef]
- Chai, Z.; Huang, W.Y.; Zhao, X.; Wu, H.; Zeng, X.X.; Li, C.Y. Preparation, characterization, antioxidant activity and protective effect against cellular oxidative stress of polysaccharide from Cynanchum auriculatum Royle ex Wight. Int. J. Biol. Macromol. 2018, 119, 1068–1076. [Google Scholar] [CrossRef] [PubMed]
- Wang, J.; Hu, S.; Nie, S.; Yu, Q.; Xie, M. Reviews on mechanisms of in vitro antioxidant activity of polysaccharides. Oxid. Med. Cell. Longev. 2016, 2016, 1–13. [Google Scholar]
- Kelishomi, Z.H.; Goliaei, B.; Mandavi, H.; Nikoofar, A.; Rahimi, M.; Moosavi-Movahedi, A.A.; Mamashli, F.; Bigdeli, B. Antioxidant activity of low molecular weight alginate produced by thermal treatment. Food Chem. 2016, 196, 897–902. [Google Scholar] [CrossRef] [PubMed]
- Mzoughi, Z.; Abdelhamid, A.; Rihouey, C.; Le Cerf, D.; Bouraoui, A.; Majdoub, H. Optimized extraction of pectin-like polysaccharide from Suaeda fruticosa leaves: Characterization, antioxidant, anti-inflammatory and analgesic activities. Carbohydr. Polym. 2018, 185, 127–137. [Google Scholar] [CrossRef] [PubMed]
- Yan, J.K.; Wu, L.X.; Qiao, Z.R.; Cai, W.D.; Ma, H.L. Effect of different drying methods on the product quality and bioactive polysaccharides of bitter gourd (Momordica charantia L.) slices. Food Chem. 2019, 271, 588–596. [Google Scholar] [CrossRef] [PubMed]





| Runs | Levels of Independent Factors (UAE) a | Extraction Yield % | Levels of Independent Factors (MAE) b | Extraction Yield % | ||||
|---|---|---|---|---|---|---|---|---|
| X11 (%) | X12 (min) | X13 (mL/g) | X21 (W) | X22 (min) | X23 (mL/g) | |||
| 1 | 0 (60.0) | 0 (20.0) | 0 (40.0) | 4.120 | 0 (480.0) | 1 (8.0) | −1 (50.0) | 3.824 |
| 2 | −1 (40.0) | −1 (15.0) | 0 (40.0) | 3.037 | 0 (480.0) | 0 (6.0) | 0 (60.0) | 4.258 |
| 3 | 1 (80.0) | −1 (15.0) | 0 (40.0) | 3.439 | 1 (560.0) | 1 (8.0) | 0 (60.0) | 3.835 |
| 4 | 0 (60.0) | −1 (15.0) | −1 (30.0) | 3.324 | −1 (400.0) | −1 (4.0) | 0 (60.0) | 3.054 |
| 5 | 0 (60.0) | 0 (20.0) | 0 (40.0) | 4.076 | 0 (480.0) | −1 (4.0) | 1 (70.0) | 3.436 |
| 6 | 0 (60.0) | −1 (15.0) | 1 (50.0) | 3.653 | 1 (560.0) | −1 (4.0) | 0 (60.0) | 3.449 |
| 7 | 1 (80.0) | 0 (20.0) | 1 (50.0) | 3.762 | 0 (480.0) | 0 (6.0) | 0 (60.0) | 4.244 |
| 8 | 0 (60.0) | 1 (25.0) | 1 (50.0) | 3.715 | 0 (480.0) | 0 (6.0) | 0 (60.0) | 4.227 |
| 9 | −1 (40.0) | 1 (25.0) | 0 (40.0) | 2.823 | −1 (400.0) | 1 (8.0) | 0 (60.0) | 3.499 |
| 10 | 0 (60.0) | 0 (20.0) | 0 (40.0) | 4.088 | 0 (480.0) | 1 (8.0) | 1 (70.0) | 3.713 |
| 11 | 0 (60.0) | 0 (20.0) | 0 (40.0) | 4.062 | 0 (480.0) | −1 (4.0) | −1 (50.0) | 3.139 |
| 12 | 1 (80.0) | 1 (25.0) | 0 (40.0) | 3.682 | −1 (400.0) | 0 (6.0) | 1 (70.0) | 3.522 |
| 13 | −1 (40.0) | 0 (20.0) | −1 (30.0) | 2.758 | 0 (480.0) | 0 (6.0) | 0 (60.0) | 4.260 |
| 14 | −1 (40.0) | 0 (20.0) | 1 (50.0) | 3.317 | −1 (400.0) | 0 (6.0) | −1 (50.0) | 3.512 |
| 15 | 0 (60.0) | 0 (20.0) | 0 (40.0) | 4.033 | 1 (560.0) | 0 (6.0) | 1 (70.0) | 3.921 |
| 16 | 0 (60.0) | 1 (25.0) | −1 (30.0) | 3.559 | 0 (480.0) | 0 (6.0) | 0 (60.0) | 4.252 |
| 17 | 1 (80.0) | 0 (20.0) | −1 (30.0) | 3.624 | 1 (560.0) | 0 (6.0) | −1 (50.0) | 3.822 |
| Source a | UAE | MAE | ||||||||
|---|---|---|---|---|---|---|---|---|---|---|
| Sum of squares | df b | Mean square | F-value | P-value c | Sum of squares | df b | Mean square | F-value | P-value c | |
| Model | 2.98 | 9 | 0.33 | 121.60 | <0.0001 ** | 2.50 | 9 | 0.28 | 541.05 | <0.0001 ** |
| X11 (X21) | 0.83 | 1 | 0.83 | 303.83 | <0.0001 ** | 0.26 | 1 | 0.26 | 504.30 | <0.0001 ** |
| X12 (X22) | 0.013 | 1 | 0.013 | 4.85 | 0.0636 | 0.40 | 1 | 0.40 | 781.80 | <0.0001 ** |
| X13 (X23) | 0.17 | 1 | 0.17 | 64.22 | <0.0001 ** | 0.011 | 1 | 0.011 | 21.30 | 0.0024 ** |
| X11X12 (X21X22) | 0.052 | 1 | 0.052 | 19.18 | 0.0032 ** | 8.623 × 10−4 | 1 | 8.623 × 10−4 | 1.68 | 0.2362 |
| X11X13 (X21X23) | 0.044 | 1 | 0.044 | 16.32 | 0.0049 ** | 2.016 × 10−3 | 1 | 2.016 × 10−3 | 3.92 | 0.0881 |
| X12X13 (X22X23) | 7.483 × 10−3 | 1 | 7.483 × 10−3 | 2.75 | 0.1412 | 0.041 | 1 | 0.041 | 80.64 | <0.0001 ** |
| X112 (X212) | 1.11 | 1 | 1.11 | 408.70 | < 0.0001 ** | 0.41 | 1 | 0.41 | 794.56 | <0.0001 ** |
| X122 (X222) | 0.42 | 1 | 0.42 | 154.82 | <0.0001 ** | 0.96 | 1 | 0.96 | 1869.14 | <0.0001 ** |
| X132 (X232) | 0.16 | 1 | 0.16 | 59.70 | 0.0001 ** | 0.25 | 1 | 0.25 | 482.11 | <0.0001 ** |
| Residual error | 0.019 | 7 | 2.722 × 10−3 | 3.596 × 10−3 | 7 | 5.138 × 10−4 | ||||
| Lack of fit | 0.015 | 3 | 4.968 × 10−3 | 4.79 | 0.0821 | 2.892 × 10−3 | 3 | 9.641 × 10−4 | 5.48 | 0.0670 |
| Pure error | 4.146 × 10−3 | 4 | 1.036 × 10−3 | 7.042 × 10−4 | 4 | 1.760 × 10−4 | ||||
| Correlation total | 3.00 | 16 | 2.51 | 16 | ||||||
| SCP-W | SCP-U | SCP-M | |
|---|---|---|---|
| Extraction yield (%) | 3.98 ± 0.22 a | 4.13 ± 0.24 a | 4.26 ± 0.21 a |
| Total polysaccharides (%) | 80.15 ± 0.54 a | 79.27 ± 0.42 a | 82.62 ± 1.09 a |
| Protein content (%) | 1.36 ± 0.11 c | 2.08 ± 0.19 b | 3.32 ± 0.26 a |
| Total uronic acids (%) | 40.88 ± 1.98 a | 34.45 ± 2.03 b | 30.45 ± 1.39 c |
| Degree of esterification (%) | 33.07 ± 2.17 a | 20.67 ± 1.92 b | 6.54 ± 1.55 c |
| Mw × 105 (Da, error) | 5.719 (± 0.86%) a | 4.768 (± 0.82%) b | 4.336 (± 0.84%) b |
| Mw/Mn (error) | 1.52 (± 1.22%) | 1.81 (± 1.43%) | 1.82 (± 1.68%) |
| Constituent monosaccharides and molar ratios | |||
| Glucose (Glc) | 1 | 1 | 1 |
| Galacturonic acid (GalA) | 6.37 | 2.75 | 2.04 |
| Galactose (Gal) | 5.22 | 2.55 | 2.41 |
| Arabinose (Ara) | 4.76 | 2.41 | 1.94 |
| Rhamnose (Rha) | 0.47 | 0.22 | 0.19 |
| Mannose (Man) | 0.19 | 0.30 | 0.22 |
| Glucuronic acid (GlcA) | 0.12 | 0.11 | 0.09 |
| Xylose (Xyl) | 0.05 | 0.04 | 0.05 |
© 2019 by the authors. Licensee MDPI, Basel, Switzerland. This article is an open access article distributed under the terms and conditions of the Creative Commons Attribution (CC BY) license (http://creativecommons.org/licenses/by/4.0/).
Share and Cite
Guo, H.; Yuan, Q.; Fu, Y.; Liu, W.; Su, Y.-H.; Liu, H.; Wu, C.-Y.; Zhao, L.; Zhang, Q.; Lin, D.-R.; et al. Extraction Optimization and Effects of Extraction Methods on the Chemical Structures and Antioxidant Activities of Polysaccharides from Snow Chrysanthemum (Coreopsis Tinctoria). Polymers 2019, 11, 215. https://doi.org/10.3390/polym11020215
Guo H, Yuan Q, Fu Y, Liu W, Su Y-H, Liu H, Wu C-Y, Zhao L, Zhang Q, Lin D-R, et al. Extraction Optimization and Effects of Extraction Methods on the Chemical Structures and Antioxidant Activities of Polysaccharides from Snow Chrysanthemum (Coreopsis Tinctoria). Polymers. 2019; 11(2):215. https://doi.org/10.3390/polym11020215
Chicago/Turabian StyleGuo, Huan, Qin Yuan, Yuan Fu, Wen Liu, Ya-Hong Su, Hui Liu, Chao-Yi Wu, Li Zhao, Qing Zhang, De-Rong Lin, and et al. 2019. "Extraction Optimization and Effects of Extraction Methods on the Chemical Structures and Antioxidant Activities of Polysaccharides from Snow Chrysanthemum (Coreopsis Tinctoria)" Polymers 11, no. 2: 215. https://doi.org/10.3390/polym11020215
APA StyleGuo, H., Yuan, Q., Fu, Y., Liu, W., Su, Y.-H., Liu, H., Wu, C.-Y., Zhao, L., Zhang, Q., Lin, D.-R., Chen, H., Qin, W., & Wu, D.-T. (2019). Extraction Optimization and Effects of Extraction Methods on the Chemical Structures and Antioxidant Activities of Polysaccharides from Snow Chrysanthemum (Coreopsis Tinctoria). Polymers, 11(2), 215. https://doi.org/10.3390/polym11020215

