Super Effective Removal of Toxic Metals Water Pollutants Using Multi Functionalized Polyacrylonitrile and Arabic Gum Grafts
Abstract
1. Introduction
2. Experimental
2.1. Materials
2.2. Techniques
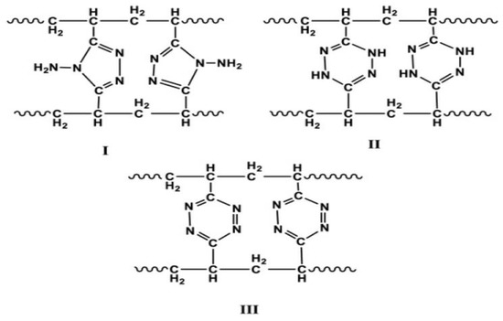
2.2.1. Preparation of Polyacrylonitrile-Grafted Arabic Gum
2.2.2. Modification of the Graft Product with Hydrazine Hydrochloride
2.2.3. Introduction of Carboxyl and Amide Groups to the Graft Product
2.3. Characterization of Samples
2.4. Metal Ion Uptake Experiments Using a Batch Method
2.5. Desorption Experiments
3. Results and Discussion
3.1. Preparation and Characterization of Modified PAN–g–AG
3.2. Effect of Adsorption Conditions on Metal Ion Adsorption
3.3. Equilibrium Adsorption Studies
3.4. Adsorption Kinetics
3.5. Desorption Characteristics
4. Conclusions
Author Contributions
Funding
Acknowledgments
Conflicts of Interest
References
- Kori, J.A.; Mahar, R.B.; Vistro, M.R.; Tariq, H.; Khan, I.A.; Goel, R. Metagenomic analysis of drinking water samples collected from treatment plants of Hyderabad City and Mehran University Employees Cooperative Housing Society. Environ. Sci. Pollut. Res. 2019, 26, 29052–29064. [Google Scholar] [CrossRef] [PubMed]
- Ali, H.; Khan, E.; Ilahi, I. Environmental chemistry and ecotoxicology of hazardous heavy metals: Environmental persistence, toxicity, and bioaccumulation. J. Chem. 2019, 2019. [Google Scholar] [CrossRef]
- Prabhavathi, G.; Karunanithy, M.; Ayeshamariam, A.; Sekar, N.; Rafi, K.M.; Nivetha, P.P.; Kaviyarasu, K.; Jayachandran, M. Removal of heavy metals from waste water treatment using composite nanomaterials–A Review. J. Nanosci. Nanoeng. Appl. 2019, 9, 27–44. [Google Scholar]
- Carolin, C.F.; Kumar, P.S.; Saravanan, A.; Joshiba, G.J.; Naushad, M. Efficient techniques for the removal of toxic heavy metals from aquatic environment: A review. J. Environ. Chem. Eng. 2017, 5, 2782–2799. [Google Scholar] [CrossRef]
- Ahluwalia, S.S.; Goyal, D. Microbial and plant derived biomass for removal of heavy metals from wastewater. Bioresour. Technol. 2007, 98, 2243–2257. [Google Scholar] [CrossRef]
- Uddin, M.K. A review on the adsorption of heavy metals by clay minerals, with special focus on the past decade. Chem. Eng. J. 2017, 308, 438–462. [Google Scholar] [CrossRef]
- Crini, G. Recent developments in polysaccharide-based materials used as adsorbents in wastewater treatment. Prog. Polym. Sci. 2005, 30, 38–70. [Google Scholar] [CrossRef]
- Guiza, S. Biosorption of heavy metal from aqueous solution using cellulosic waste orange peel. Ecol. Eng. 2017, 99, 134–140. [Google Scholar] [CrossRef]
- Wu, S.-P.; Dai, X.-Z.; Kan, J.-R.; Shilong, F.-D.; Zhu, M.-Y. Fabrication of carboxymethyl chitosan–hemicellulose resin for adsorptive removal of heavy metals from wastewater. Chin. Chem. Lett. 2017, 28, 625–632. [Google Scholar] [CrossRef]
- Palanisamy, K.; Jeyaseelan, A.; Murugesan, K.; Palanisamy, S.B. Biopolymer Technologies for Environmental Applications. In Nanoscience and Biotechnology for Environmental Applications; Springer: Berlin/Heidelberg, Germany, 2019; pp. 55–83. [Google Scholar]
- Wang, A.; Wang, W. Gum-g-copolymers: Synthesis, properties, and applications. In Polysaccharide Based Graft Copolymers; Springer: Berlin/Heidelberg, Germany, 2013; pp. 149–203. [Google Scholar]
- Tiwari, R.; Krishnamoorthi, S.; Kumar, K. Synthesis of Cross-Linker Devoid Novel Hydrogels: Swelling Behaviour and Controlled Urea Release Studies. J. Environ. Chem. Eng. 2019, 7, 103162. [Google Scholar]
- Lu, Q.; Gao, P.; Zhi, H.; Zhao, H.; Yang, Y.; Sun, B. Preparation of Cu (II) ions adsorbent from acrylic acid-grafted corn starch in aqueous solutions. Starch Stärke 2013, 65, 417–424. [Google Scholar] [CrossRef]
- Soto, D.; Urdaneta, J.; Pernia, K.; León, O.; Muñoz-Bonilla, A.; Fernández-García, M. Itaconic acid grafted starch hydrogels as metal remover: Capacity, selectivity and adsorption kinetics. J. Polym. Environ. 2016, 24, 343–355. [Google Scholar] [CrossRef]
- Chowdhury, M.N.K.; Ismail, A.F.; Beg, M.D.H.; Hegde, G.; Gohari, R.J. Polyvinyl alcohol/polysaccharide hydrogel graft materials for arsenic and heavy metal removal. New J. Chem. 2015, 39, 5823–5832. [Google Scholar] [CrossRef]
- Xu, B.; Zheng, H.; Wang, Y.; An, Y.; Luo, K.; Zhao, C.; Xiang, W. Poly (2-acrylamido-2-methylpropane sulfonic acid) grafted magnetic chitosan microspheres: Preparation, characterization and dye adsorption. Int. J. Biol. Macromol. 2018, 112, 648–655. [Google Scholar] [CrossRef]
- Liu, L.; Gao, Z.Y.; Su, X.P.; Chen, X.; Jiang, L.; Yao, J.M. Adsorption removal of dyes from single and binary solutions using a cellulose-based bioadsorbent. ACS Sustain. Chem. Eng. 2015, 3, 432–442. [Google Scholar] [CrossRef]
- Chauhan, K.; Chauhan, G.S.; Ahn, J.-H. Synthesis and characterization of novel guar gum hydrogels and their use as Cu2+ sorbents. Bioresour. Technol. 2009, 100, 3599–3603. [Google Scholar] [CrossRef]
- Singh, V.; Kumari, P.; Pandey, S.; Narayan, T. Removal of chromium (VI) using poly (methylacrylate) functionalized guar gum. Bioresour. Technol. 2009, 100, 1977–1982. [Google Scholar] [CrossRef]
- Singh, V.; Pandey, S.; Singh, S.; Sanghi, R. Removal of cadmium from aqueous solutions by adsorption using poly (acrylamide) modified guar gum–silica nanocomposites. Sep. Purif. Technol. 2009, 67, 251–261. [Google Scholar] [CrossRef]
- Banerjee, S.S.; Chen, D.-H. Fast removal of copper ions by gum arabic modified magnetic nano-adsorbent. J. Hazard. Mater. 2007, 147, 792–799. [Google Scholar] [CrossRef]
- Kamelian, F.S.; Saljoughi, E.; Shojaee Nasirabadi, P.; Mousavi, S.M. Modifications and research potentials of acrylonitrile/butadiene/styrene (ABS) membranes: A review. Polym. Compos. 2018, 39, 2835–2846. [Google Scholar] [CrossRef]
- Katritzky, A.R.; Khashab, N.M.; Kirichenko, N.; Singh, A. Microwave-assisted preparations of amidrazones and amidoximes. J. Org. Chem. 2006, 71, 9051–9056. [Google Scholar] [CrossRef]
- De Santa Maria, L.C.; Amorim, M.C.; Aguiar, M.R.; Guimarães, P.I.C.; Costa, M.A.; de Aguiar, A.P.; Rezende, P.R.; de Carvalho, M.S.; Barbosa, F.G.; Andrade, J.M. Chemical modification of cross-linked resin based on acrylonitrile for anchoring metal ions. React. Funct. Polym. 2001, 49, 133–143. [Google Scholar] [CrossRef]
- Abdel-Razik, E.; Ayaad, D.; Elbedwehy, A. Graft Copolymerization of Acrylonitrile onto Acacia Gum by Manganese (IV)-Nitric Acid as a Redox Initiator in Aqueous Media under Visible Light. Int. J. Mod Org. Chem. 2013, 2, 191–206. [Google Scholar]
- Zhang, B.; Fischer, K.; Bieniek, D.; Kettrup, A. Synthesis of amidoxime-containing modified starch and application for the removal of heavy metals. React. Polym. 1993, 20, 207–216. [Google Scholar] [CrossRef]
- Nickzare, M.; Zohuriaan-Mehr, M.J.; Yousefi, A.A.; Ershad-Langroudi, A. Novel Acrylic-modified Acacia Gum Thickener: Preparation, Characterization and Rheological Properties. Starch Stärke 2009, 61, 188–198. [Google Scholar] [CrossRef]
- Zhang, L.; Gao, J.; Tian, R.; Yu, J.; Wang, W. Graft mechanism of acrylonitrile onto starch by potassium permanganate. J. Appl. Polym. Sci. 2003, 88, 146–152. [Google Scholar] [CrossRef]
- Zhang, B.; Fischer, K.; Bieniek, D.; Kettrup, A. Synthesis of carboxyl group containing hydrazine-modified polyacrylonitrile fibres and application for the removal of heavy metals. React. Polym. 1994, 24, 49–58. [Google Scholar] [CrossRef]
- Chang, X.; Su, Z.; Luo, X.; Zhan, G. Synthesis of poly (acrylamidrazone-hydrazide) chelating fiber and application of enrichment—Separation for traces of indium, tin, chromium, vanadium and titanium from solution samples. Talanta 1993, 40, 527–532. [Google Scholar] [CrossRef]
- Boguslavsky, L.; Baruch, S.; Margel, S. Synthesis and characterization of polyacrylonitrile nanoparticles by dispersion/emulsion polymerization process. J. Colloid Interf. Sci. 2005, 289, 71–85. [Google Scholar] [CrossRef]
- Jia, Z.; Yang, Y.G. Study on structure and properties of polyacrylonitrile fiber modified by hydrazine hydrate. Adv. Mater. Res. 2012, 548, 24–28. [Google Scholar] [CrossRef]
- Monier, M.; Ayad, D.; Wei, Y.; Sarhan, A. Preparation and characterization of magnetic chelating resin based on chitosan for adsorption of Cu (II), Co (II), and Ni (II) ions. React. Funct. Polym. 2010, 70, 257–266. [Google Scholar] [CrossRef]
- Yu, X.-Y.; Luo, T.; Zhang, Y.-X.; Jia, Y.; Zhu, B.-J.; Fu, X.-C.; Liu, J.-H.; Huang, X.-J. Adsorption of lead (II) on O2-plasma-oxidized multiwalled carbon nanotubes: Thermodynamics, kinetics, and desorption. ACS Appl. Mater. Interf. 2011, 3, 2585–2593. [Google Scholar] [CrossRef] [PubMed]
- Monier, M. Adsorption of Hg2+, Cu2+ and Zn2+ ions from aqueous solution using formaldehyde cross-linked modified chitosan–thioglyceraldehyde Schiff’s base. Int. J. Biol. Macromol. 2012, 50, 773–781. [Google Scholar] [CrossRef] [PubMed]
- Zhu, L.; Zhang, L.; Tang, Y. Synthesis of montmorillonite/poly (acrylic acid-co-2-acrylamido-2-methyl-1-propane sulfonic acid) superabsorbent composite and the study of its adsorption. Bull. Korean Chem. Soc. 2012, 33, 1669–1674. [Google Scholar] [CrossRef]
- Mautner, A.; Kwaw, Y.; Weiland, K.; Mvubu, M.; Botha, A.; John, M.J.; Mtibe, A.; Siqueira, G.; Bismarck, A. Natural fibre-nanocellulose composite filters for the removal of heavy metal ions from water. Ind. Crops Prod. 2019, 133, 325–332. [Google Scholar] [CrossRef]
- Ma, J.; Liu, Y.; Ali, O.; Wei, Y.; Zhang, S.; Zhang, Y.; Cai, T.; Liu, C.; Luo, S. Fast adsorption of heavy metal ions by waste cotton fabrics based double network hydrogel and influencing factors insight. J. Hazard. Mater. 2018, 344, 1034–1042. [Google Scholar] [CrossRef]
- Li, W.; Liu, Q.; Liu, J.; Zhang, H.; Li, R.; Li, Z.; Jing, X.; Wang, J. Removal U (VI) from artificial seawater using facilely and covalently grafted polyacrylonitrile fibers with lysine. Appl. Surf. Sci. 2017, 403, 378–388. [Google Scholar] [CrossRef]
- Kolya, H.; Jana, D.; Sasmal, D.; Jana, S.; Tripathy, T. Sulfated katira gum-graft-poly (N-vinyl imidazole): A useful scavenger of mercury (II) ions. J. Appl. Polym. Sci. 2017, 134. [Google Scholar] [CrossRef]
- Zare, E.N.; Makvandi, P.; Tay, F.R. Recent progress in the industrial and biomedical applications of tragacanth gum. Carbohydr. Polym. 2019, 212, 450–467. [Google Scholar] [CrossRef]
- Hao, L.; Wang, P.; Valiyaveettil, S. Successive extraction of As (V), Cu (II) and P (V) ions from water using spent coffee powder as renewable bioadsorbents. Sci. Rep. 2017, 7, 42881. [Google Scholar] [CrossRef]
- Dandil, S.; Sahbaz, D.A.; Acikgoz, C. Adsorption of Cu (II) ions onto crosslinked Chitosan/Waste Active Sludge Char (WASC) beads: Kinetic, equilibrium, and thermodynamic study. Int. J. Biol. Macromol. 2019, 136, 668–675. [Google Scholar] [CrossRef] [PubMed]
- Zhang, Y.; Li, Z. Heavy metals removal using hydrogel-supported nanosized hydrous ferric oxide: Synthesis, characterization, and mechanism. Sci. Total. Environ. 2017, 580, 776–786. [Google Scholar] [CrossRef] [PubMed]
- Mijinyawa, A.H.; Durga, G.; Mishra, A. A sustainable process for adsorptive removal of methylene blue onto a food grade mucilage: Kinetics, thermodynamics, and equilibrium evaluation. Int. J. Phytoremediat. 2019, 21, 1122–1129. [Google Scholar] [CrossRef] [PubMed]
- Qi, L.; Xu, Z. Lead sorption from aqueous solutions on chitosan nanoparticles. Colloids Surf. Physicochem. Eng. Asp. 2004, 251, 183–190. [Google Scholar] [CrossRef]
- Yan, G.; Viraraghavan, T. Heavy-metal removal from aqueous solution by fungus Mucor rouxii. Water Res. 2003, 37, 4486–4496. [Google Scholar] [CrossRef]
- Boyd, G.; Myers, L., Jr.; Adamson, A. The exchange adsorption of ions from aqueous solutions by organic zeolites. III. Performance of deep adsorbent beds under non-equilibrium conditions1. J. Am. Chem. Soc. 1947, 69, 2849–2859. [Google Scholar] [CrossRef]
- Reichenberg, D.; McCauley, D. Properties of ion-exchange resins in relation to their structure. Part VII. Cation-exchange equilibria on sulphonated polystyrene resins of varying degrees of cross-linking. J. Chem. Soc. (Resumed) 1955, VII, 2741–2749. [Google Scholar] [CrossRef]











| Nitrogen Content | PAN–g–AG (wt %) | Hydrazine-Modified PAN–g–AG (wt %) | Base Modification of Hydrazine-Modified PAN–g–AG (wt %) | |
|---|---|---|---|---|
| N% | 18.42 | 20.18 | 2 hrs | 4 hrs |
| 6.02 | 4.12 | |||
| Metals | Qexp. | Langmuir Constants | Freundlich Constants | |||||
|---|---|---|---|---|---|---|---|---|
| Qm (mg/g) | b (L/mg) | R2 | RL | Kf | 1/n | R2 | ||
| Pb2+ | 1017 | 1037.87 | 0.018 | 0.976 | 0.058 | 0.364 | 0.294 | 0.849 |
| Cd2+ | 413 | 438.60 | 0.076 | 0.997 | 0.014 | 0.271 | 0.295 | 0.778 |
| Cu2+ | 396 | 444.44 | 0.136 | 0.991 | 0.008 | 0.222 | 0.363 | 0.774 |
| Model | Parameters | Values | ||
|---|---|---|---|---|
| First-Order Kinetic Equation | qe,exp. (mg/g) | Pb2+ | Cd2+ | Cu2+ |
| 372.51 | 372.51 | 371 | ||
| q1 (mg/g) | 15.36 | 0.995 | 0.996 | |
| k1 (min−1) × 10−3 | 5.043 | 5.113 | 3.639 | |
| 0.843 | 0.8520 | 0.9135 | ||
| Second-Order Kinetic Equation | q2 (mg/g) | 373.13 | 373.13 | 371.74 |
| k2 [g/(mg·min)] × 10−3 | 3.069 | 2.773 | 4.439 | |
| 1 | 1 | 1 | ||
| Intraparticle Diffusion Equation | kint [mg/(g min1/2)] | 0.537 | 0.609 | 0.389 |
| C | 356.13 | 354.02 | 360.34 | |
| 0.726 | 0.688 | 0.663 | ||
| Boyd Equation | R2 | 0.843 | 0.852 | 0.825 |
| Intercept | 2.69 | 2.56 | 3.28 | |
| Concentration of HNO3 (M) | Desorption Ratio (%) | ||
|---|---|---|---|
| Pb2+ | Cd2+ | Cu2+ | |
| 0.05 | 61 | 70 | 80 |
| 0.1 | 84 | 90 | 92 |
| 0.2 | 96 | 99 | 99 |
| Cycle Number | Adsorption Capacity (%) | ||
|---|---|---|---|
| Pb2+ | Cd2+ | Cu2+ | |
| 1 | 100 | 100 | 100 |
| 2 | 99 | 99 | 99 |
| 3 | 99 | 99 | 99 |
© 2019 by the authors. Licensee MDPI, Basel, Switzerland. This article is an open access article distributed under the terms and conditions of the Creative Commons Attribution (CC BY) license (http://creativecommons.org/licenses/by/4.0/).
Share and Cite
Elbedwehy, A.M.; Abou-Elanwar, A.M.; Ezzat, A.O.; Atta, A.M. Super Effective Removal of Toxic Metals Water Pollutants Using Multi Functionalized Polyacrylonitrile and Arabic Gum Grafts. Polymers 2019, 11, 1938. https://doi.org/10.3390/polym11121938
Elbedwehy AM, Abou-Elanwar AM, Ezzat AO, Atta AM. Super Effective Removal of Toxic Metals Water Pollutants Using Multi Functionalized Polyacrylonitrile and Arabic Gum Grafts. Polymers. 2019; 11(12):1938. https://doi.org/10.3390/polym11121938
Chicago/Turabian StyleElbedwehy, Ahmed M., Ali M. Abou-Elanwar, Abdelrahman O. Ezzat, and Ayman M. Atta. 2019. "Super Effective Removal of Toxic Metals Water Pollutants Using Multi Functionalized Polyacrylonitrile and Arabic Gum Grafts" Polymers 11, no. 12: 1938. https://doi.org/10.3390/polym11121938
APA StyleElbedwehy, A. M., Abou-Elanwar, A. M., Ezzat, A. O., & Atta, A. M. (2019). Super Effective Removal of Toxic Metals Water Pollutants Using Multi Functionalized Polyacrylonitrile and Arabic Gum Grafts. Polymers, 11(12), 1938. https://doi.org/10.3390/polym11121938

