A Cu(II) Indicator Platform Based on Cu(II) Induced Swelling that Changes the Extent of Fluorescein Self-Quenching
Abstract
:1. Introduction
2. Experimental Materials
3. Procedures
3.1. The Synthesis of Anilinodiacetic Acid Ligand (Phenyl-IDA) in Ester Form (Tert-Butoxycarbonyl Methyl-(3-Vinyl-Phenyl)-Amino) Acetic Acid Tert-Butyl Ester
3.2. Emulsion Polymerization of Self-Quenching pNIPAM Nanoparticles
3.3. Removal of the Ester to Produce the Ligand
3.4. Self-Quenching Cross-Linked Nanoparticles Embedded in the PA Gel
3.5. Fluorescence Measurement of Nanoparticles Alone
3.6. Fluorescence Measurement of Nanoparticles Embedded in the PA Gel
4. Results and Discussion
4.1. Morphology of the Nanoparticles
4.2. Fluoresence Study of the Self-Quenching pNIPAM Nanoparticles Alone
4.2.1. Thermal Response
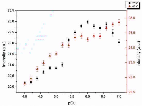
4.2.2. Response to Cu(II)
4.3. Fluorescence Study of the Self-Quenching pNIPAM Nanoparticles Embedded in the PA Gel
4.4. Zn(II) Responses of Self-Quenching pNIPAM Nanoparticles Alone and Particles Embedded in the PA Gel
5. Conclusions
Author Contributions
Funding
Acknowledgments
Conflicts of Interest
References
- Gallego, S.M.; Benavídes, M.P.; Tomaro, M.L. Effect of heavy metal ion excess on sunflower leaves: Evidence for involvement of oxidative stress. Plant Sci. 1996, 121, 151–159. [Google Scholar] [CrossRef]
- Mahmood, T.; Islam, K.R. Response of Rice Seedlings to Copper Toxicity and Acidity. J. Plant Nutr. 2006, 29, 943–957. [Google Scholar] [CrossRef]
- Assche, F.; Clijsters, H. Effects of metals on enzyme activity in plants. Plant Cell Environ. 1990, 13, 195–206. [Google Scholar] [CrossRef]
- Zimmer, A.M.; Barcarolli, I.F.; Wood, C.M.; Bianchini, A. Waterborne copper exposure inhibits ammonia excretion and branchial carbonic anhydrase activity in euryhaline guppies acclimated to both fresh water and sea water. Aquat. Toxicol. 2012, 122–123, 172–180. [Google Scholar] [CrossRef] [PubMed]
- Peña, M.M.O.; Lee, J.; Thiele, D.J. A Delicate Balance: Homeostatic Control of Copper Uptake and Distribution. J. Nutr. 1999, 129, 1251–1260. [Google Scholar] [CrossRef]
- Gaetke, L.M.; Chow, C.K. Copper toxicity, oxidative stress, and antioxidant nutrients. Toxicology 2003, 189, 147–163. [Google Scholar] [CrossRef]
- Strausak, D.; Mercer, J.F.B.; Dieter, H.H.; Stremmel, W.; Multhaup, G. Copper in disorders with neurological symptoms: Alzheimer’s, Menkes, and Wilson diseases. Brain Res. Bull. 2001, 55, 175–185. [Google Scholar] [CrossRef]
- Paquin, P.R.; Gorsuch, J.W.; Apte, S.; Batley, G.E.; Bowles, K.C.; Campbell, P.G.C.; Delos, C.G.; Di Toro, D.M.; Dwyer, R.L.; Galvez, F.; et al. The biotic ligand model: A historical overview. Comp. Biochem. Physiol. C Toxicol. Pharmacol. 2002, 133, 3–35. [Google Scholar] [CrossRef]
- Di Toro, D.M.; Allen, H.E.; Bergman, H.L.; Meyer, J.S.; Paquin, P.R.; Santore, R.C. Biotic ligand model of the acute toxicity of metals. 1. Technical Basis. Environ. Toxicol. Chem. 2001, 20, 2383–2396. [Google Scholar] [CrossRef]
- Ghosh, P.; Bharadwaj, P.K.; Mandal, S.; Ghosh, S. Ni(II), Cu(II), and Zn(II) cryptate-enhanced fluorescence of a trianthrylcryptand: A potential molecular photonic or operator. J. Am. Chem. Soc. 1996, 118, 1553–1554. [Google Scholar] [CrossRef]
- Banthia, S.; Samanta, A. Photophysical and Transition-Metal Ion Signaling Behavior of a Three-Component System Comprising a Cryptand Moiety as the Receptor. J. Phys. Chem. B 2002, 106, 5572–5577. [Google Scholar] [CrossRef]
- Xiang, Y.; Tong, A.; Jin, P.; Ju, Y. New fluorescent rhodamine hydrazone chemosensor for Cu(II) with high selectivity and sensitivity. Org. Lett. 2006, 8, 2863–2866. [Google Scholar] [CrossRef] [PubMed]
- Zhang, J.F.; Zhou, Y.; Yoon, J.; Kim, Y.; Kim, S.J.; Kim, J.S. Naphthalimide Modified Rhodamine Derivative: Ratiometric and Selective Fluorescent Sensor for Cu2+ Based on Two Different Approaches. Org. Lett. 2010, 12, 3852–3855. [Google Scholar] [CrossRef] [PubMed]
- Zhou, Y.; Wang, F.; Kim, Y.; Kim, S.-J.; Yoon, J. Cu2+-Selective Ratiometric and “Off-On” Sensor Based on the Rhodamine Derivative Bearing Pyrene Group. Org. Lett. 2009, 11, 4442–4445. [Google Scholar] [CrossRef] [PubMed]
- Wu, S.-P.; Liu, S.-R. A new water-soluble fluorescent Cu(II) chemosensor based on tetrapeptide histidyl-glycyl-glycyl-glycine (HGGG). Sens. Actuators B 2009, 141, 187–191. [Google Scholar] [CrossRef]
- Sumner, J.P.; Westerberg, N.M.; Stoddard, A.K.; Fierke, C.A.; Kopelman, R. Cu+- and Cu2+-sensitive PEBBLE fluorescent nanosensors using DsRed as the recognition element. Sens. Actuators B Chem. 2006, 113, 760–767. [Google Scholar] [CrossRef]
- Jung, H.S.; Kwon, P.S.; Lee, J.W.; Kim, J.I.; Hong, C.S.; Kim, J.W.; Yan, S.; Lee, J.Y.; Lee, J.H.; Joo, T.; et al. Coumarin-Derived Cu2+-Selective Fluorescence Sensor: Synthesis, Mechanisms, and Applications in Living Cells. J. Am. Chem. Soc. 2009, 131, 2008–2012. [Google Scholar] [CrossRef]
- Du, J.; Yao, S.; Seitz, W.R.; Bencivenga, N.E.; Massing, J.O.; Planalp, R.P.; Jackson, R.K.; Kennedy, D.P.; Burdette, S.C. A ratiometric fluorescent metal ion indicator based on dansyl labeled poly (N-isopropylacrylamide) responds to a quenching metal ion. Analyst 2011, 136, 5006–5011. [Google Scholar] [CrossRef]
- Yao, S.; Jones, A.M.; Du, J.; Jackson, R.K.; Massing, J.O.; Kennedy, D.P.; Bencivenga, N.E.; Planalp, R.P.; Burdette, S.C.; Seitz, W.R. Intermolecular approach to metal ion indicators based on polymer phase transitions coupled to fluorescence resonance energy transfer. Analyst 2012, 137, 4734–4741. [Google Scholar] [CrossRef]
- Zadran, S.; Standley, S.; Wong, K.; Otiniano, E.; Amighi, A.; Baudry, M. Fluorescence resonance energy transfer (FRET)-based biosensors: Visualizing cellular dynamics and bioenergetics. Appl. Microbiol. Biotechnol. 2012, 96, 895–902. [Google Scholar] [CrossRef]
- Osambo, J.; Seitz, W.; Kennedy, D.; Planalp, R.; Jones, A.; Jackson, R.; Burdette, S. Fluorescent Ratiometric Indicators Based on Cu(II)-Induced Changes in Poly (NIPAM) Microparticle Volume. Sensors 2013, 13, 1341–1352. [Google Scholar] [CrossRef] [PubMed]
- Nichols, J.J.; King-Smith, P.E.; Hinel, E.A.; Thangavelu, M.; Nichols, K.K. The Use of Fluorescent Quenching in Studying the Contribution of Evaporation to Tear Thinning. Investig. Ophthalmol. Vis. Sci. 2012, 53, 5426–5432. [Google Scholar] [CrossRef] [PubMed]
- Lin, H.-K.; Gu, Z.-X.; Chen, Y.-T. Linear thermodynamic function relationships in coordination chemistry: Calorimetric study on nickel(II)—, cobalt(II)—, zinc(II)—N-(p-substituted phenyl)iminodiacetic acid binary systems and nickel(II)—, cobalt(II)—, zinc(II)—nitrilotriacetic acid—N-(p-substituted phenyl)iminodiacetic acid ternary systems. Thermochim. Acta 1994, 242, 51–64. [Google Scholar] [CrossRef]
- Schild, H.G. Poly (N-isopropylacrylamide): Experiment, theory and application. Prog. Polym. Sci. 1992, 17, 163–249. [Google Scholar] [CrossRef]
- Schild, H.G.; Tirrell, D.A. Microcalorimetric detection of lower critical solution temperatures in aqueous polymer solutions. J. Phys. Chem. 1990, 94, 4352–4356. [Google Scholar] [CrossRef]
- Yang, W.; Chen, X.; Su, H.; Fang, W.; Zhang, Y. The fluorescence regulation mechanism of the paramagnetic metal in a biological HNO sensor. Chem. Commun. 2015, 51, 9616–9619. [Google Scholar] [CrossRef] [PubMed]
- Rüchel, R.; Steere, R.L.; Erbe, E.F. Transmission-electron microscopic observations of freeze-etched polyacrylamide gels. J. Chromatogr. A 1978, 166, 563–575. [Google Scholar] [CrossRef]
- Bilal, M.; Rasheed, T.; Iqbal, H.M.N.; Hu, H.; Wang, W.; Zhang, X. Horseradish peroxidase immobilization by copolymerization into cross-linked polyacrylamide gel and its dye degradation and detoxification potential. Int. J. Biol. Macromol. 2018, 113, 983–990. [Google Scholar] [CrossRef]
- Safronov, A.P.; Shankar, A.; Mikhnevich, E.A.; Beketov, I.V. Influence of the particle size on the properties of polyacrylamide ferrogels with embedded micron-sized and nano-sized metallic iron particles. J. Magn. Magn. Mater. 2018, 459, 125–130. [Google Scholar] [CrossRef]
- Barril, P.; Nates, S. Introduction to Agarose and Polyacrylamide Gel Electrophoresis Matrices with Respect to Their Detection Sensitivities. In Gel Electrophoresis-Principles and Basics; Magdeldin, S., Ed.; InTechOpen: London, UK, 2012. [Google Scholar] [CrossRef]
- Lin, H.-K.; Liu, Z.-J.; Tang, X.-H.; Chen, R.-T. Further Study of Linear Free Energy Relationships in Complex Compounds. Acta Phys. Chim. Sin. 1993, 9, 565–568. [Google Scholar] [CrossRef]
- Mane, S.; Ponrathnam, S.; Chavan, N. Effect of Chemical Cross-linking on Properties of Polymer Microbeads: A Review. Can. Chem. Trans. 2016, 3, 473–485. [Google Scholar] [CrossRef]









© 2019 by the authors. Licensee MDPI, Basel, Switzerland. This article is an open access article distributed under the terms and conditions of the Creative Commons Attribution (CC BY) license (http://creativecommons.org/licenses/by/4.0/).
Share and Cite
Wang, F.; Planalp, R.P.; Seitz, W.R. A Cu(II) Indicator Platform Based on Cu(II) Induced Swelling that Changes the Extent of Fluorescein Self-Quenching. Polymers 2019, 11, 1935. https://doi.org/10.3390/polym11121935
Wang F, Planalp RP, Seitz WR. A Cu(II) Indicator Platform Based on Cu(II) Induced Swelling that Changes the Extent of Fluorescein Self-Quenching. Polymers. 2019; 11(12):1935. https://doi.org/10.3390/polym11121935
Chicago/Turabian StyleWang, Feifei, Roy P. Planalp, and W. Rudolf Seitz. 2019. "A Cu(II) Indicator Platform Based on Cu(II) Induced Swelling that Changes the Extent of Fluorescein Self-Quenching" Polymers 11, no. 12: 1935. https://doi.org/10.3390/polym11121935
APA StyleWang, F., Planalp, R. P., & Seitz, W. R. (2019). A Cu(II) Indicator Platform Based on Cu(II) Induced Swelling that Changes the Extent of Fluorescein Self-Quenching. Polymers, 11(12), 1935. https://doi.org/10.3390/polym11121935

