Abstract
In this work, a multi-functional nanoparticle (TiO2-KH570-DOPO) has been successfully synthesized through the attachment of 9,10-dihydro-9-oxa-10-phosphaphenanthrene-10-oxide (DOPO)-methacryloxy propyl trimethoxyl silane on the surface of titanium dioxide (TiO2). Supercritical carbon dioxide was used as the solvent in order to increase the grafting level. The chemical structure of TiO2-KH570-DOPO was fully characterized using Fourier transform infrared spectra, thermogravimetric analysis and transmission electron microscopy. The modified TiO2 was incorporated into flexible polyurethane foam (FPUF). The fire performance of FPUF blends was evaluated using microscale combustion calorimetry. Peak heat release rate and total heat release values were reduced from 657.0 W/g and 28.9 kJ/g for neat FPUF sample to 519.2 W/g and 26.8 kJ/g of FPUF specimen containing 10 wt % of TiO2-KH570-DOPO. Analysis of thermal stability and the observation of char formation suggests that TiO2-KH570-DOPO is active in the condensed phase.
1. Introduction
Due to high resilience and low density, flexible polyurethane foams (FPUFs) are widely used in everyday items, such as vehicles and furniture [,,,,,]. However, the inherent structure of FPUF (large surface area and good air permeability) makes it highly flammable [], which presents a threat to both the performance and durability of products containing this material. Therefore, developing effective flame retardant FPUPs is urgently needed.
The incorporation of flame retardants has been widely applied to enhance the fire resistance of FPUFs. Halogen-containing, phosphorus-based, intumescent flame retardants (IFR), metal hydroxides and nanoparticles [,,] have all been used to improve the fire safety of polyurethane materials. Halogen-containing flame retardants have gradually been replaced by halogen-free flame retardants due to increased environmental concerns and potential negative health effects of these materials. However, high loading of inorganic halogen-free flame retardants (such as metal hydroxides) obviously often degrades the mechanical performance of the polymer matrix. Recently, the surface treatments of FPUF through layer-by-layer, plasma and sol-gel techniques have received increasing attention due to high efficiency and rapid preparation []. Branched polyethylenimine (BPEI), chitosan and poly(acrylic acid) (PAA) have all been used to improve the flame retardant performance of PU foams []. However, the durability of surface coatings remains a huge challenge. Washing, chemical etching and physical abrasion all degrade the surface coating [].
Incorporation of titanium dioxide (TiO2) exerts positive effects on the charring process for polymer matrices undergoing combustion [,,]. A problem is that TiO2 particles do not disperse well within most polymer matrices because of the polarity differences. As a result, surface modification with silicanes, such as γ-aminopropyl triethoxysilane (KH550) and methacryloxy propyl trimethoxyl silane (KH570), is needed for incorporation of TiO2. 9,10-dihydro-9-oxa-10-phosphaphenanthrene-10-oxide (DOPO) has been proven to be an effective flame retardant in both the gas and condensed phase [,,]. The presence of KH570 facilitates the dispersion of the flame retardant in the polymer matrix [,]. In previous work, KH570-DOPO was successfully prepared and applied to increase the fire resistance of polypropylene [,]. However, the grafting level was not satisfactory, which might be the reason for the low efficiency of KH570-DOPO in this system. In order to overcome this drawback, the use of supercritical carbon dioxide (SCCO2) as a solvent has been envisaged [,,]. SCCO2 is a commonly used supercritical fluid with moderate critical pressure and temperature (P = 7.4 MPa, Tc = 304.2 K, respectively), that is an excellent solvent for most alkoxysilanes []. Moreover, the SCCO2 properties of gas-like diffusivity and viscosity, and zero surface tension, facilitate the complete wetting of the internal surface of the mesoporous aggregates formed by nanoparticles.
In this work, KH570-DOPO was selected as a surface modifier for TiO2 in order to improve its compatibility with the matrix. Moreover, SCCO2 was used as the solvent for the effective production of TiO2-KH570-DOPO. The obtained nanoparticles were then incorporated into FPUF. The flame retardant performances and thermal stability of FPUF blends were characterized. The morphologies of the residual char were observed and a mode of action for the flame retardant was also proposed.
2. Experimental
2.1. Materials
TiO2 nanometric particles (21 nm) were supplied by Degussa (Commercial grade P25). 3-methacryloxypropyltrimethoxysilane (KH570) was obtained from Energy Chemical Co. Ltd., Shanghai, China. DOPO was supplied by H&G Chemical Co. Ltd., Jiangsu, China. Polybasic alcohol compositions (PO 715) were obtained from Shandong Ogasen New Material Co. Ltd., Shandong, China. Isocyanate (8725) was supplied by Wanhua Chemical Group Co. Ltd., Shandong, China.
2.2. Measurements
Fourier transform infrared (FTIR) spectra were recorded using a Bruker Tensor 27 FTIR spectrometer with 1 cm−1 resolution over 128 scans for KBr disk samples in the range of 4000 to 500 cm−1.
Thermogravimetric analysis (TGA) was carried out using a Q50 apparatus from TA Instruments at a heating rate of 10 °C/min under an air atmosphere with the temperature range from ambient temperature over 750 °C.
Transmission electron microscopy (TEM) observation was carried out with a Hitachi H-800 electron microscope. The analysis was performed at 200 kV acceleration voltage and bright field illumination under ambient temperature, and the samples were prepared by dispersing the particles into alcoholic solution with ultrasonic treatment.
Microscale combustion calorimetry (MCC) was carried out using an FAA Micro calorimeter (FAA Fire testing technology, East Grinstead, UK) operated at 1 °C/s to 750 °C in the pyrolysis zone according to ASTM D7309 method A. The combustion zone was set at 900 °C. Oxygen and nitrogen flow rates were set at 20 and 80 mL/min, respectively.
The digital photographs of calcined FPUF residues recorded using a TF-1450 thermal camera (Xiangyi instrument company, Xiangtan, China). The sample was heated to a certain temperature at the rate of 10 °C/min. Once the temperature had equilibrated at the desired point, a picture of this residue was recorded.
2.3. Preparation of KH570-DOPO
KH570-DOPO was prepared as previously reported []. Briefly, DOPO, KH570 (molar ration 1.1:1) and triethylamine were placed in a culture dish before putting them into a sealed supercritical carbon dioxide (SCCO2) reaction kettle. The reaction temperature was 60 °C, the pressure was 12 MPa and the reaction time was controlled for 2 h. After filtering, washing and drying, the products of KH570-DOPO were obtained.
2.4. Preparation of TiO2-KH570-DOPO
TiO2 (2.5 g) and KH570-DOPO (2.5 g) were dispersed into a culture dish. The same condition was used to synthesize the TiO2-KH570-DOPO nanoparticles. The reaction temperature, pressure and time were settled to 60 °C, 12MPa and 2 h, respectively. The precipitates were then filtered and washed several times with toluene (200 mL, six times) for ensuring that any absorbed KH570-DOPO was completely removed. The products were dried at 80 °C for 24 h, obtaining TiO2-KH570-DOPO. The preparation process was shown in Figure 1.

Figure 1.
Process of TiO2-KH570-DOPO.
2.5. Preparation of FPUF/TiO2 Blends
Neat FPUF and the flame retardant FPUF blends were prepared by a conventional one-pot and free-rise method. Polybasic alcohol compositions and isocyanate were mixed and stirred using an electric stirrer at room temperature. Then the mixtures were poured into an aluminum cube with a dimension of 100 mm*100 mm*100 mm. After that, the FPUF blends were placed in an oven at 70 °C for 24 h in order to complete the polymerization reaction. As for the FPUF/TiO2-KH570-DOPO blends, a similar procedure was used and the loading of nanoparticles was settled at 1, 5 and 10 wt % respectively. These samples were noted as S0, S1, S5 and S10, correspondingly. The foam density was normalized to about 0.20 g/cm3 by varying the dosage of foam agent. The composites were prepared with a constant NCO index (110).
3. Results and Discussions
3.1. Characterization of TiO2-KH570-DOPO
3.1.1. FTIR Analysis
The FTIR spectra of KH570-DOPO, TiO2 and TiO2-KH570-DOPO are shown in Figure 2. As reported, the appearance of C=O (1708 cm−1) from KH570 and the disappearance of P–H (2427 cm−1) indicate the reaction between DOPO and KH570 [,]. TiO2 exhibits a Ti–O peak at 405 cm−1. However, this peak shows a lower intensity in the spectrum of TiO2-KH570-DOPO. Moreover, the peaks from KH570-DOPO can also be found in TiO2-KH570-DOPO (such as C=O and C–H). It was indicated that KH570-DOPO was immobilized onto the surface of TiO2.

Figure 2.
Fourier transform infrared (FTIR) spectra of TiO2, KH570-DOPO and TiO2-KH570-DOPO.
3.1.2. TGA Analysis
The TGA curves of TiO2 and TiO2-KH570-DOPO under an air atmosphere are shown in Figure 3. For neat TiO2, rare weight loss can be observed. However, the thermal stability of TiO2-KH570-DOPO is significantly reduced. It shows a 53.0% residue at 750 °C because of the introduction of KH570-DOPO. Moreover, the grafting rate of KH570-DOPO on the surface of TiO2 can also be calculated from Figure 3. Neat TiO2 particles are stable throughout the test, while not for the modified TiO2. Therefore, the grafting level is 47.0% (100% − 53.0% = 47%), which is higher than the literature reports.

Figure 3.
Thermogravimetric analysis (TGA) curves of TiO2 and TiO2-KH570-DOPO under air atmosphere.
3.1.3. Surface Morphology
The TEM images of TiO2 and TiO2-KH570-DOPO are shown in Figure 4. As shown in Figure 4a1,a2, neat TiO2 particles tend to form self-aggregations because of the abundant hydroxy groups on the surface. After the introduction of KH570-DOPO (Figure 4b1,b2), this problem is greatly restricted. As a result, smaller aggregations can be observed. Overall, it can be concluded that TiO2-KH570-DOPO has been successfully prepared based on the results from FTIR, TGA and TEM.

Figure 4.
Transmission electron microscopy (TEM) image of (a1,a2) TiO2 and (b1,b2) TiO2-KH570-DOPO.
3.2. Characterization of FPUF
3.2.1. Flame Retardancy
Microscale combustion calorimetry (MCC) is performed in order to investigate the combustion behavior of FPUF blends. The heat release rate (HRR), the temperature at which the peak heat release rate (pHRR) occurs (TP), as well as the total heat released (THR), can be obtained from this test. The HRR curves of the FPUF materials are shown in Figure 5, and other results are summarized in Table 1.

Figure 5.
Heat release rate (HRR) curves of neat flexible polyurethane foam (FPUF) and flame retardant FPUF blends.

Table 1.
The key data obtain from microscale combustion calorimetry (MCC) tests for neat flexible polyurethane foam (FPUF) and flame retardant FPUF blends.
It can be seen from Figure 5 and Table 1 that the pHRR and THR values of flame retardant FPUF blends are gradually decreased with the increasing loading of TiO2-KH570-DOPO, and both two parameters reach their maximum values (512.9 W/g for pHRR and 26.8 kJ/g for THR) at 10% incorporation of the nanoparticles. The TP values of the blends exhibits a similar tendency. A 9.4 °C delay can be found for the S10 sample. It has been reported that TiO2 takes effect in condensed phase by constructing dense and continuous char residues [], while DOPO reacts in the gas phase as the radical scavenger []. As a result, the fire resistance of FPUR blends can be significantly enhanced.
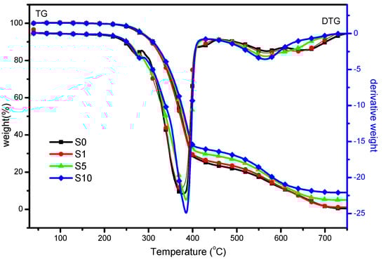
3.2.2. Thermal Stability
The TGA curves of FPUF and FPUF blends under air atmosphere are shown in Figure 6 and the key data collected from TGA curves are given in Table 2. It is suggested that neat FPUF sample exhibits a two-step degradation pathway with T−5% and T−50% values of 278 and 374 °C. The first step corresponds to the decomposition of the polymer main chain; the second step stands for the pyrosis of transient char. By the incorporation of nanoparticles, the FPUF blends also show a two-step degradation routine. However, the T−5% and T−50% values of FPUF blends are slightly increased compared with those of neat FPUF sample. The char residues of FPUF and FPUF blends after the tests are also given in Table 2. Neat FPUF sample exhibits 0.4% char residue, while the flame retardant FPUF samples show the much higher char residues. With the presence of 10% TiO2-KH570-DOPO, a maximum of 9.0% residues can be observed. The more the char has formed, the better is the flame retardancy. These physical barriers effectively separate the heat and oxygen from the matrix, resulting in improvement of both the fire resistance and thermal stability of FPUF blends [].

Figure 6.
Thermogravimetric analysis (TGA) curves of neat flexible polyurethane foam (FPUF) and flame retardant FPUF blends under an air atmosphere.

Table 2.
The key data obtained from thermogravimetric analysis (TGA) tests for neat flexible polyurethane foam (FPUF) and flame retardant FPUF blends.
MCC and TGA results have indicated that TiO2-KH570-DOPO nanoparticles can improve the flame retardancy and thermal stability of FPUF. The kinetic analysis can provide additional information to the thermal oxidative degradation of the blends. In this study, the multiple heating rate kinetics method is used to estimate the apparent activation energy by applying the Flynn-Wall-Ozawa method [,,] specifically derived for heterogeneous chemical reactions under linear heating rates (2.5, 5, 7.5, and 10 °C/min). The derivation of the Flynn-Wall-Ozawa method from the first principle was presented in 1965 []. As shown in Figure 7, the apparent activation energies are plotted as a function of α.

Figure 7.
Activation energy of neat flexible polyurethane foam (FPUF) and flame retardant FPUF blends.
There is a small difference in the initial activation energies (when α is below 15%) for the two samples. At low temperature, FPUF undergoes the radical peroxidation chain and the addition of TiO2-KH570-DOPO nanoparticles cannot influence the process. Moreover, activation energy of FPUF/TiO2-KH570-DOPO increases rapidly as the degradation proceeds (when α is below 70%), which is very different from that of FPUF. The high activation energies of FPUF/TiO2-KH570-DOPO blend might be due to the effect of TiO2 and phosphorus on catalyzing the formation of carbonaceous char. Thus, the releasing rate of degradation volatiles is significantly reduced. The thermal stability and flame retardancy are thereby improved. The above results indicate that TiO2-KH570-DOPO might react in the gas phase as the radical scavenger. Details of the mechanism should be elicited in future work.
3.2.3. Condensed Phase Analysis
The digital photographs of FPUF and flame retardant FPUF blends under different temperatures are shown in Figure 8 and Figure 9. The corresponding area shrinkage is given in Figure 10. It is suggested that FPUF blends exhibit a much lower area decrease compared with those of neat FPUF samples, especially after 250 °C. The incorporation of TiO2-KH570-DOPO takes effect in both the gas and condensed phase, resulting in better stability of the S5 sample.

Figure 8.
Digital photographs of neat flexible polyurethane foam (FPUF) samples at different temperatures.

Figure 9.
Digital photographs of flame retardant flexible polyurethane foam (FPUF) blends (S5) at different temperatures.

Figure 10.
Corresponding area shrinkage for flexible polyurethane foam (FPUF) and FPUF blends.
The SEM images of char residues of FPUF and FPUF blends after MCC tests are shown in Figure 11. The morphology of neat FPUF sample exhibits discontinuous residual chars with lots of cracks and cavities. Heat and volatiles can easily penetrate these char layers, leading to poor fire resistance. For flame retardant FPUF blends, the construction of char layers has been significantly improved, especially for the S10 sample. It is reported that the combination of silicane and TiO2 is beneficial for producing physical barriers. The formation of compact and continuous char can prevent heat transfer and protect the underlying polymeric substrate, leading to the enhancement of flame retardancy [].

Figure 11.
Scanning electron microscopy (SEM) images of char residues of (a) neat flexible polyurethane foam (FPUF), (b) S1, (c) S5 and (d) S10 blends after microscale combustion calorimetry (MCC) tests.
4. Conclusions
Multi-functional nanoparticles, TiO2-KH570-DOPO, have been successfully prepared. The grafting level (47%) of KH570-DOPO has been significantly improved by the existence of supercritical carbon dioxide. The introduction of TiO2-KH570-DOPO enhances the flame retardancy of FPUF. For the FPUF blend sample containing 10% TiO2-KH570-DOPO, the peak heat release rate was reduced from 657.0 to 519.2 W/g (21% decrease), total heat release value also decreased from 28.9 to 26.8 kJ/g. Thermal analysis results suggested that TiO2-KH570-DOPO can affect the char forming process, leading to the formation of condensed residues.
Author Contributions
Conceptualization, Q.D.; Data curation, K.C.; Formal analysis, P.L.; Investigation, X.J.; Methodology, Y.T.; Supervision, S.S., F.W. and M.Y.
Funding
This research was funded by National Natural Science Foundation of China (Grant No. 21500403) and the Youth Innovation Promotion Association of CAS (Grant No. 2017041).
Acknowledgements
This work was financially supported by National Natural Science Foundation of China (Grant No. 21500403) and the Youth Innovation Promotion Association of CAS (Grant No. 2017041).
Conflicts of Interest
The authors declare no conflicts of interest.
References
- Cho, J.H.; Vasagar, V.; Shanmuganathan, K.; Jones, A.R.; Nazarenko, S.; Ellison, C.J. Bioinspired catecholic flame retardant nanocoating for flexible polyurethane foams. Chem. Mater. 2015, 27, 6784–6790. [Google Scholar] [CrossRef]
- Allan, D.; Daly, J.; Liggat, J.J. Thermal volatilisation analysis of TDI-based flexible polyurethane foam. Polym. Degrad. Stab. 2013, 98, 535–541. [Google Scholar] [CrossRef]
- Chattopadhyay, D.K.; Webster, D.C. Thermal stability and flame retardancy of polyurethanes. Prog. Polym. Sci. 2009, 34, 1068–1133. [Google Scholar] [CrossRef]
- Laufer, G.; Kirkland, C.; Morgan, A.B.; Grunlan, J.C. Exceptionally flame retardant sulfur-based multilayer nanocoating for polyurethane prepared from aqueous polyelectrolyte solutions. ACS Macro Lett. 2013, 2, 361–365. [Google Scholar] [CrossRef]
- Troitzsch, J. Plastics Flammability Handbook; Hanser Publications: Munich, Germany, 2004. [Google Scholar]
- Dounis, D.V.; Wilkes, G.L. Structure-property relationships of flexible polyurethane foams. Polymer 1997, 38, 2819–2828. [Google Scholar] [CrossRef]
- Jiao, C.; Wang, H.; Zhang, Z.; Chen, X. Preparation and properties of an efficient smoke suppressant and flame-retardant agent for thermoplastic polyurethane. Polym. Adv. Technol. 2017, 28, 1690–1698. [Google Scholar] [CrossRef]
- Savas, L.A.; Deniz, T.K.; Tayfun, U.; Dogan, M. Effect of microcapsulated red phosphorus on flame retardant, thermal and mechanical properties of thermoplastic polyurethane composites filled with huntite & hydromagnesite mineral. Polym. Degrad. Stab. 2017, 135, 121–129. [Google Scholar]
- Chen, X.; Wang, W.; Jiao, C.A. Recycled environmental friendly flame retardant by modifying para-aramid fiber with phosphorus acid for thermoplastic polyurethane elastomer. J. Hazard. Mater. 2017, 331, 257–264. [Google Scholar] [CrossRef]
- Kim, Y.S.; Davis, R.; Cain, A.A.; Grunlan, J.C. Development of layer-by-layer assembled carbon nanofiber-filled coatings to reduce polyurethane foam flammability. Polymer 2011, 52, 2847–2855. [Google Scholar] [CrossRef]
- Smith, R.J.; Holder, K.M.; Ruiz, S.; Hahn, W.; Song, Y.X.; Lvov, Y.M.; Grunlan, J.C. Environmentally Benign Halloysite Nanotube Multilayer Assembly Significantly Reduces Polyurethane Flammability. Adv. Funct. Mater. 2017, 28, 1703289–1703297. [Google Scholar] [CrossRef]
- Richardson, J.J.; Bjornmalm, M.; Caruso, F. Multilayer assembly Technology-driven layer-by-layer assembly of nanofilms. Science 2015, 348, aaa2491. [Google Scholar] [CrossRef] [PubMed]
- Jin, X.D.; Sun, J.; Zhang, J.S.; Gu, X.Y.; Bourbigot, S.; Li, H.F.; Tang, W.F.; Zhang, S. Preparation of a Novel Intumescent Flame Retardant Based on Supramolecular Interactions and Its Application in Polyamide 11. ACS Appl. Mater. Interface 2017, 9, 24964–24975. [Google Scholar] [CrossRef] [PubMed]
- Li, H.F.; Hu, Z.W.; Zhang, S.; Gu, X.Y.; Wang, H.J.; Jiang, P.; Zhao, Q. Effects of titanium dioxide on the flammability and char formation of water-based coatings containing intumescent flame retardants. Prog. Org. Coat. 2015, 78, 318–324. [Google Scholar] [CrossRef]
- Apaydin, K.; Laachachi, A.; Ball, V.; Jimenez, M.; Bourbigot, S.; Ruch, D. Layer-by-layer deposition of a TiO2-filled intumescent coating and its effect on the flame retardancy of polyamide and polyester fabrics. Colloids Surf. A Physicochem. Eng. Asp. 2015, 469, 1–10. [Google Scholar] [CrossRef]
- Jiang, P.; Gu, X.Y.; Zhang, S.; Sun, J.; Xu, R.W.; Bourbigot, S.; Duquesne, S.; Casetta, M. Flammability and thermal degradation of poly (lactic acid)/polycarbonate alloys containing a phosphazene derivative and trisilanollsobutyl POSS. Polymer 2015, 79, 221–231. [Google Scholar] [CrossRef]
- Zhang, Y.; Yu, B.; Wang, B.B.; Liew, K.M.; Song, L.; Wang, C.M.; Hu, Y. Highly Effective P-P synergy of a Novel DOPO-based Flame Retardant for Epoxy Resin. Ind. Eng. Chem. Res. 2017, 56, 1245–1255. [Google Scholar] [CrossRef]
- Fang, Y.Y.; Qian, L.J.; Huang, Z.G.; Tang, S.; Qiu, Y. Synergistic charring effect of triazinetrione-alkyl-phosphinate and phosphaphenanthrene derivatives in epoxy thermosets. RSC Adv. 2017, 7, 46505–46513. [Google Scholar] [CrossRef]
- Lin, H.J.; Yan, H.; Liu, B.; Wei, L.Q.; Xu, B.S. The influence of KH-550 on properties of ammonium polyphosphate and polypropylene flame retardant composites. Polym. Degrad. Stab. 2011, 96, 1382–1388. [Google Scholar] [CrossRef]
- Ren, Y.; Yuan, D.D.; Li, W.M.; Cai, X.F. Flame retardant efficiency of KH-550 modified urea-formaldehyde resin cooperating with ammonium polyphosphate on polypropylene. Polym. Degrad. Stab. 2018, 151, 160–171. [Google Scholar] [CrossRef]
- Dong, Q.X.; Ding, Y.F.; Wen, B.; Wang, F.; Dong, H.C.; Zhang, S.M.; Wang, T.X.; Yang, M.S. Improvement of thermal stability of polypropylene using DOPO-immobilized silica nanoparticles. Colloids Polym. Sci. 2012, 290, 1371–1380. [Google Scholar] [CrossRef]
- Dong, Q.X.; Liu, M.M.; Ding, Y.F.; Wang, F.; Gao, C.; Liu, P.; Wen, B.; Zhang, S.M.; Yang, M.S. Synergistic effect of DOPO immobilized silica nanoparticles in the intumescent flame retarded polypropylene composites. Polym. Adv. Technol. 2013, 24, 732–739. [Google Scholar] [CrossRef]
- Stojanović, D.B.; Brajović, L.; Orlović, A.; Dramlić, D.; Radmilović, V.; Uskoković, P.S.; Aleksića, R. Transparent PMMA/silica nanocomposites containing silica nanoparticles coating under supercritical conditions. Prog. Org. Coat. 2013, 76, 626–631. [Google Scholar] [CrossRef]
- Zhao, J.; Zhang, L.Q.; Chen, T.; Hu, H.; Zhang, L.; Xue, H.; Hu, H.Q. Supercritical Carbon-Dioxide-Assisted Deposition of Pt Nanoparticles on Graphene Sheets and Their Application as an Electrocatalyst for Direct Methanol Fuel Cells. J. Phys. Chem. C 2012, 116, 21374–21381. [Google Scholar] [CrossRef]
- Kuang, T.R.; Chen, F.; Chang, L.Q.; Zhao, Y.N.; Fu, D.J.; Gong, X.; Peng, X.F. Facile Preparation of Open-cellular Porous Poly (L-lactic acid) Scaffold by Supercritical Carbon Dioxide Foaming for Potential Tissue Engineering Applications. Chem. Eng. J. 2017, 307, 1017–1025. [Google Scholar] [CrossRef]
- Chen, S.H.; Wang, X.D.; Ma, X.Q.; Wang, K.S. Morphology and properties of polypropylene/nano-CaCO3, composites prepared by supercritical carbon dioxide-assisted extrusion. J. Mater. Sci. 2016, 51, 708–718. [Google Scholar] [CrossRef]
- Zhou, Y.S.; Yu, J.R.; Wang, X.X.; Wang, Y.; Zhu, J.; Hu, Z.M. Preparation of KH570-SiO2 and their modification on the MF/PVA composite membrane. Fibers Polym. 2015, 16, 1772–1780. [Google Scholar] [CrossRef]
- Wang, X.; Hu, Y.; Song, L.; Yang, H.Y.; Xing, W.Y.; Lu, H.D. Synthesis and characterization of a DOPO-substituted organophosphorus oligomer and its application in flame retardant epoxy resins. Prog. Org. Coat. 2011, 71, 72–82. [Google Scholar] [CrossRef]
- Jin, X.D.; Chen, C.; Sun, J.; Zhang, X.; Gu, X.Y.; Zhang, S. The synergism between melamine and expandable graphite on improving the flame retardancy of polyamide 11. High Perform. Polym. 2017, 29, 77–86. [Google Scholar] [CrossRef]
- Ozawa, T. A new method of analyzing thermogravimetric data. Bull. Chem. Soc. Jpn. 1965, 38, 1881–1886. [Google Scholar] [CrossRef]
- Flynn, J.H.; Wall, L.A. A quick direct method for determination of activation energy from thermogravimetric data. J. Polym. Sci. B Polym. Lett. 1966, 4, 323–328. [Google Scholar] [CrossRef]
- Flynn, J.H. The isoconversional method for determination of energy of activation at constant heating rates—Corrections for the Doyle approximation. J. Therm. Anal. 1983, 27, 95–102. [Google Scholar] [CrossRef]
- Jin, X.D.; Gu, X.Y.; Chen, C.; Tang, W.F.; Li, H.F.; Liu, X.D.; Bourbigot, S.; Zhang, Z.W.; Sun, J.; Zhang, S. The fire performance of polylactic acid containing a novel intumescent flame retardant and intercalated layered double hydroxides. J. Mater. Sci. 2017, 52, 12235–12250. [Google Scholar] [CrossRef]
© 2019 by the authors. Licensee MDPI, Basel, Switzerland. This article is an open access article distributed under the terms and conditions of the Creative Commons Attribution (CC BY) license (http://creativecommons.org/licenses/by/4.0/).