Next Article in Journal
Luffa Pretreated by Plasma Oxidation and Acidity to Be Used as Cellulose Films
Previous Article in Journal
Impact of Lignin Content on the Properties of Hemicellulose Hydrogels
 
 
Font Type:
Arial Georgia Verdana
Font Size:
Aa Aa Aa
Line Spacing:
Column Width:
Background:
Article

Thermoset Polymer Matrix Structure and Properties: Coarse-Grained Simulations

by
Vladimir Yu. Rudyak
*,
Elizaveta A. Efimova
,
Daria V. Guseva
and
Alexander V. Chertovich
Faculty of Physics, Lomonosov Moscow State University, Leninskie gory, 1-2, Moscow 119991, Russia
*
Author to whom correspondence should be addressed.
Polymers 2019, 11(1), 36; https://doi.org/10.3390/polym11010036
Submission received: 29 November 2018 / Revised: 21 December 2018 / Accepted: 22 December 2018 / Published: 27 December 2018

Abstract

The formation of a thermoset polymer network is a complex process with great variability. In this study, we used dissipative particle dynamics and graph theory tools to investigate the curing process and network topology of a phthalonitrile thermoset to reveal the influence of initiator and plasticizer concentration on its properties. We also propose a novel way to characterize the network topology on the basis of two independent characteristics: simple cycle length (which is mainly affected by the initiator amount) and the number of simple cycles passing through a single covalent bond (which is determined primarily by plasticizer concentration). These values can be treated in the more familiar terms of network “mesh size” and “sponginess”, correspondingly. The combination of these two topological parameters allows one to characterize any given network in an implicit but precise way and predict the resulting network properties, including the mechanical modulus. We believe that the same approach could be useful for other polymer networks as well, including rubbers and gels.

Graphical Abstract

1. Introduction

Polymer composite materials, or fiber-reinforced plastics, are rapidly being introduced into many areas of our lives and dramatically changing all constructional material industries [1]. The demands placed on filler materials are more-or-less understandable (they should be lightweight and strong, such as carbon fiber). At the same time, the properties of polymer matrices are much more sophisticated, and their influence is often underestimated. Nevertheless, matrix mechanical properties and their coupling with filler stiffness (which is usually hard to change) primarily determine the overall composite properties for the consumer, including static and dynamic moduli, elastic and brittle behavior, etc. Moreover, on the practical side, it is much easier to tune matrices than it is the filler, because the filler is mostly “as is” material produced by very few manufacturers on the basis of closed technologies [2]. The other two important contributors to composite material properties are the filler arrangement inside the matrix and filler–matrix interface properties, which are also very sophisticated and widely studied nowadays, but these are out of the scope of our research.
The polymer matrix itself is a percolated three-dimensional network of monomer units connected by covalent bonds, as shown in Figure 1. These bonds are formed during a chemical polymerization reaction, usually called the curing process. In addition to monomer units, some other species can be added, like hardeners and plasticizers, to control the reaction speed and crosslink density. Depending on the monomer’s chemical structure, the nature of the polymerization reaction can be either a step-growth process (as in the crosslinking of phenolic or epoxy resins) or radical polymerization (as in the crosslinking of polyester resin or acrylic glass). The latter case requires an initiator to start the reaction and usually takes more time. In addition, radical polymerization leads to a more complex topology of the network and contains defects, like dangling ends. In this study, we consider only the case of radical polymerization, although our results are probably also applicable to step-growth polymerization, reduced by the effects of initiator concentration.
In general, there is a vast number of different chemical components which can be polymerized or copolymerized to form a resin. While the chemical nature of the monomers is very important for the details of the curing process and also controls the glass transition temperature and heat resistance, the mechanical properties depend strongly on the topology of the final polymer network. The network topology, in turn, depends on many factors (such as species composition, reaction pathways, and conversion degree) and, in most cases, is not known both a priori and a posteriori.
The influence of the polymer network topology is a well-known problem for polymer elastomers, including rubbers and especially gels [3,4]. Usually, the real network topology in elastomers is unknown, except for in cases in which the “network disassembly spectrometry” technique can be applied [5]. In these cases, a straightforward comparison between the chemical topology and the theoretical model can be done [6,7]. However, this approach does not work for resins; thus, only a few attempts to study resin network topology are found in the recent literature [8,9]. The variation in polymer network crosslinker functionality and its influence on topology and mechanical properties was studied for the two-dimensional case in [10]. The study of gel point formation for a universal polymer network model was presented recently [11]. This model is able to account for loop formation, which is most important for curing in a swollen gel state. The closest to our work is found in [12], wherein the authors used simulations to s study the radical polymerization of hexanediol diacrylate with varied initiator content. Here, we studied the network topology at a more detailed level and combined both the effects of low-molecular-weight plasticizer and initiator concentration.
A common and very approximate viewpoint is that, on average, a shorter distance between crosslinks (usually called “mesh size”) yields a stiffer and brittler matrix, while larger distances result in softer and more elastic materials. In this sense, it correlates with the classical polymer rubber properties, and the correspondence between soft resin (in the region above the glass transition temperature) and highly crosslinked rubber is obvious.
The phthalonitrile resin is one recent example of various modern resins [13,14], and it is thermally much more stable than the classic epoxy resin. It polymerizes via a complex radical process and has a complex network topology. These resins are more expensive compared with the epoxy ones but can be used to create composites with a high temperature load for such uses as turbine blades or hyper-velocity aerodynamic shrouds. With the radical polymerization process, the initiator species should be introduced to start the curing, and the initiator concentration is varied to control the curing time and to increase the final conversion. At the same time, a plasticizer can be used as an inert additive to affect the elastic modulus and fragility.
In parallel to the development of novel chemical species, computer simulation in silico experiments are attracting attention for studying and predicting various material properties, both at the atomic level and the coarse-grained level [15]. In our recent works, we developed a multiscale simulation methodology that makes it possible to predict various physical properties of highly crosslinked polymer materials [16,17,18], but there is still a lack of understanding such a network topology and the possible connections of the network topology with macroscopic properties.
Taking in mind the polymer matrix properties, let us emphasize once more that the polymer network topology is formed during the curing process, which is usually fully controlled by the final product makers. Thus, the main purpose of our research is to build a computer model and describe the influence of the curing process input parameters on the final polymer matrix topology and mechanical properties. As the input parameters, we used the initiator and plasticizer concentration, which determine the matrix network topology, followed by the corresponding mechanical properties. Because of the substantial polymer resin diversity, we considered the specific example of the phthalonitrile resin, as it is one of the most interesting and promising cases. However, the same conclusions are most likely valid for any thermoset resin.
Please note also that, in our model, there are no real defects, such as dangling ends or large dangling loops. This is because of the monomer and initiator units’ special design (see Figure 2b), which prohibits the formation of such defects. This means that we study defect-free networks and can measure the influence of network topology solely, disregarding any dangling or other elastically inactive elements.

2. Methodology

We produced computer simulations of matrix curing, equilibrated the resulting networks, and studied their topology and mechanical properties using dissipative particle dynamics (DPD) simulations. DPD is a mesoscopic simulation method that was originally proposed by Hoogerbrugge and Koelman [19,20] and later developed for the simulation of polymers and molecular systems by Espanol, Groot, and Warren. In this method, a bead-and-spring model is used to represent molecules, and beads move according to Newton’s equations of motion and interact with conservative (repulsion), dissipative (friction), and random (heat generator) forces. The use of soft repulsive potential increases the numerical stability of the integration of the equations of motion, which makes it possible to achieve a higher integration time step (compared with molecular dynamics or Brownian dynamics) and, consequently, to simulate complex polymer networks on larger time and spatial scales. Recently, the “mesoscale chemistry” concept was successfully adopted using this method for simulations of polymerization reactions [8,16,21].

2.1. Coarse-Grained Model

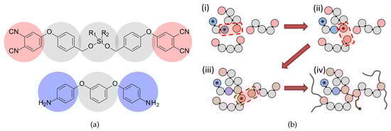
In this study, we considered polymer networks based on the phthalonitrile monomer p-SiMe 2 PN and, as the initiator, the diamine curing agent 1,3-bis(4-aminophenoxy)benzene; thus, this work is a continuation of our recent investigations of such systems [16,17,18]. The coarse-grained representation of initial chemical structures is shown in Figure 2. We assumed that all beads had almost the same volume and the same corresponding DPD pair repulsion parameter a = 90 (details of the choice can be found in [17]) at temperature T = 1 and number density ρ = 3 . Harmonic bond (equilibrium bond length l b = 0.5 , bond strength K b = 90 ) and angle potentials (equilibrium angle γ a = 180 , angle strength K a = 1.8 ) were applied, which required using a time step of δ t = 5 × 10 3 for the stable performance of the integration scheme. The initial simulation box had a size of 30 × 30 × 30 DPD units, which is approximately 23 × 23 × 23 nm 3 at room temperature, according to known density data [22]. We prepared eight systems with different ratios of the initial compounds. Four systems contained only monomer and initiator, with mass proportions of 99:1 (16,038 monomers), 96:4, 92:8, and 84:16 (13,608 monomers). Another four systems contained monomer, initiator, and low-molecular plasticizer. In these systems, the monomer-to-initiator mass ratio was fixed at 96:4, and the plasticizer mass varied from 8% to 64% (5598 monomers) of the total mass of the system. Terminal beads of monomer and initiator molecules (shown in red and blue in Figure 2) had free valences equal to 2 or 1, respectively, and could be either inactive (initially for monomers) or active (initially for initiator molecules).

2.2. Curing Process Simulation

In this work, the propagation process in radical polymerization reactions was simulated as follows. Active beads were able to form bonds with inactive terminal beads and passed an active state to the bead with which they formed a bond. This model involves the concept of “mesoscale chemistry” and was described in detail in our recent papers [16,17]. We implemented two types of reactions at the mesoscale level:
  • Initiation reaction, during which terminal beads of initiator and monomer molecules form a bond, and the initiator terminal bead passes the active state to the corresponding monomer bead (asterisk in Figure 2b(i–ii).
  • Polymerization reaction, during which an active bead of the monomer forms a bond with a neighboring terminal bead and passes the active state to that bead, as in Figure 2b(ii–iii). This process repeats until the conversion rate reaches 100%, as depicted in Figure 2b(iii–iv).
Both reactions were carried out in the NVT ensemble. At regular time intervals (10 DPD time units, or 2000 DPD steps), each pair of active terminal bead and neighboring terminal bead having free valences was tested for the following condition: if the distance between these beads was less than the reaction radius R c = 1 , then a new bond was formed between these beads with the probability p = 0.01 . The time interval and reaction probability were chosen to be sufficiently small to maintain quasi-equilibrium conditions [21].
During the curing process simulations, two parameters were evaluated: the conversion degree c and the fraction of particles belonging to the largest cluster in the system m c . The conversion degree was calculated as the ratio between the number of bonds created and the maximum possible number of new bonds. The fraction of the largest cluster was determined as the ratio between the largest cluster size and the total number of monomer and initiator beads in the system (i.e., the whole system excluding plasticizer).

2.3. Calculating Matrix Properties

We studied the mechanical properties of coarse-grained matrices. For each of eight prepared systems, a matrix with a conversion degree of c = 95 % was analyzed. We applied a uniaxial deformation along the x-axis to the simulation box and measured stress–strain response curves. During deformation, the volume of the box was kept constant. Deformation was applied at a slow enough rate to keep the system equilibrated during simulations ( λ = L / L 0 = 1.66 was reached in 10 5 DPD time units). The components of the stress tensor p were averaged using the virial theorem [23]. The true stress was calculated as σ = p x x 0.5 p y y + p z z .
Then, we used two models to estimate the elastic modulus E: the Flory model and the Three Chain Model. The Flory model [24] considers systems of densely packed free joint networks with segment length l and contour length L to be affinely deformed. Let the deformations of primary axes x, y, and z be λ x , λ y , and λ z , correspondingly. Considering affine deformations of each subchain, one can express the change in the free energy of a single subchain as the following:
δ f = 3 k B T 2 L l ( R 2 R 0 2 ) = 3 k B T 2 L l ( R x 0 2 ( λ x 2 1 ) + R y 0 2 ( λ y 2 1 ) + R z 0 2 ( λ z 2 1 ) ) .
It was shown [25] that, for the case of uniaxial deformations with a constant sample volume ( λ x = λ , λ y = λ z = λ 0.5 ), the stress can be then written as follows:
σ = 1 V d F d λ = k B T ν ( λ 1 λ 2 ) ,
where ν is a number of subchains per unit volume. This equation leads to a sufficiently nonlinear stress–strain dependency, which coincides with known experimental and simulation data for small deformations.
However, larger elongations require a more complex approach due to the entanglements between the subchains and finite extensibility of subchains. The Three Chain Model (TCM) [26] takes into consideration the non-Gaussian behavior of subchains under deformations. It considers a system as an ideal network formed by cells with three separate subchains in each cell (by the number of dimensions). Considering affine deformations of all subchains, one can express the stress σ via an inverted Langevin function L 1 :
σ = ν k B T 3 n 1 / 2 L 1 ( λ · n 1 / 2 ) λ 3 / 2 L 1 ( [ λ · n ] 1 / 2 ) ,
where n is a subchain length, and ν is the same value as in the Flory model.
The simulated stress–strain curves were fitted by both models; then, the elastic modulus E was considered numerically equal to ν , as supposed in these models.

3. Results and Discussions

3.1. Curing Speed and Gelation Point

First, let us consider the positive effect of the initiator additive to the overall processing time. Indeed, the processing time itself is a very important feature in any industry-related system, because the time needed to leave a fabric unit in a mold form is critical to the entire manufacturing workflow. Figure 3 gives an overall view of the influence of the initiator concentration on the curing time. We also present the simulation time to reach a 95% conversion degree versus the initiator amount in the inset.
Let us discuss, in more detail, the process of gelation and which properties of the network form near the sol–gel transition (i.e., percolation threshold). Figure 4 gives snapshots of the network structure below and above the gelation point, while Figure 5 gives the largest cluster size versus conversion plot. We observe a very heterogeneous network with several growing clumps crosslinked with each other upon gelation. Such heterogeneity is, of course, the consequence of each monomer unit’s valence being equal to four, which leads to the formation of a very dense crosslinking network. An interesting conclusion can be made from Figure 5: the system with a higher amount of initiator has a more delayed and sharp gelation transition (note: here, we talk in terms of conversion along the abscissa axis, not real time). This results in an increased conversion degree and the largest cluster size at gel point, as can be seen from Figure 6.
Thus, we have one more important effect of the initiator, in addition to the enhancement of overall reaction speed: the more initiator we have, the greater the fraction of monomer units included in the gel fraction just after the gel point. That is, at 1% of initiator, there is only 25% of all units included in the first percolation cluster, but if we use 16% of initiator, the percolation cluster contains more than 60% of all monomers. So, we propose that a sample with an increased percolation cluster size can be removed from the molding just after the gelation point, while a sample with a smaller percolation cluster should be exposed to additional post-gelation curing to avoid deformation and leakage after molded form removal.
We also tested the percolation cluster properties in the systems with a varied amount of plasticizer, but there was no significant influence of the plasticizer on the percolation threshold or maximum cluster size, so we do not present these results here.

3.2. Mechanical Properties

We performed network uniaxial constant volume deformations to study the system’s mechanical properties, as shown in Figure 7 (here, i and p refer to the amount of initiator and plasticizer, correspondingly). In the upper part of Figure 7, the 2D slice snapshots are presented in equilibrium and deformed state ( λ = 1.6 ), while, below, the stress–strain curves are shown. One can see slight alignment along the elongation axis in the deformed state. In addition, there is sufficiently great monomer stretching at λ > 1.3 1.4 (see averaged monomer end-to-end distance in insets in Figure 7). This is likely responsible for the rapid nonlinear increase in stress during high elongation, which is not predicted by the Flory model. We also note that the non-uniform direction of these fully stretched segments, especially for the system with the plasticizer, shows that the deformation of the internal network structure is non-affine.
We are well aware of the entropic nature of the elastic deformations of amorphous (non-glassy) networks, while most thermoset systems in the working temperature interval are in the glassy state. Nevertheless, such analysis could be useful to compare with standard polymer elastomer models and to give some estimate of general network properties. The comparison with the polymer elasticity model was made via the simpler Flory affine network model [27] for a region of small deformations 1.0 < λ < 1.2 (i) and later with the more sophisticated Three Chain Model over all λ values and taking into account the crosslink volume density ( ν ) from the Flory model. The detailed fitting formulas are given in the Methodology section.
To summarize, the standard Flory model works nicely for small deformations, and the ν value gives the exact measure of the elastic modulus (in k T units). For the greater deformations, the TCM fit overestimates the nonlinear increase in stress caused by the subchains’ final expansibility, but the fitting parameter n, which is proportional to the average mesh size, is always close to the same value, which is around 0.56. This overestimation most likely comes from the irregularity of our modeled network: there are no equally distributed cubic meshes inside the network topology, which is assumed for the TCM.

3.3. Topology of the Cured Networks

To understand the differences in network topology for systems with various initiator and plasticizer concentrations and to correlate these differences with mechanical properties we studied simple cycles distribution (see Figure 8). In all cases, the cycles are distributed around a Gaussian bell shape, so we can address the average cycle length value and its distribution width (i.e., dispersity). We can clearly observe an increase in mean cycle length and dispersity upon the increase of initiator concentration. This trend is more or less obvious and can be explained by the inclusion of the valuable fraction of a two-valence initiator into the melt of four-valence monomers.
The more intriguing result comes from the plasticizer influence: there is a noticeable decrease in the mean cycle length upon increasing the plasticizer amount. To some extent, this is caused by the redistribution between the standard network mesh size and self-loops from two neighboring monomer units because of the plasticizer-driven dilution effect of active ends, similar to that observed in [11]. However, the other contribution is not obvious and should be discussed in more accurate terms.
To do this, we calculated one more network property: the average number of cycles passing through the bond, which we correlated with the elastic modulus, together with the average cycle length, as seen in Figure 9. The elastic modulus decreases during the increase in initiator concentration (black curve) in straightforward accordance with the simple cycle behavior. However, the situation with the plasticizer concentration is the opposite and, at first glance, counterintuitive: the decrease in cycle length yields a decrease in the elastic modulus. The preliminary conclusion here is the following: both additives (initiator and plasticizer) affect the network properties and considerably decrease the elastic modulus, but the mechanisms are transversal. In the next session, we try to rationalize the aforementioned difference in the mechanism of network softening by the initiator and plasticizer.
Additionally, we calculated the conformational properties of the cycles, namely, spatial distance R i j versus distance along the chain n = i j , for any pair i and j inside a simple cycle. However, these plots were almost the same for all cases, indicating Gaussian conformation with R = n 1 / 2 ; we do not present the corresponding plots here.

4. Conclusions and Outlook

In this paper, we study the thermoset polymer matrix and the influence of plasticizer and initiator on the gelation process and final matrix properties. The gelation process depends primarily on the initiator amount, and gelation time is inversely proportional to the initiator concentration. In addition, we found that the average gel fraction at the gel point is much higher for the case of a higher initiator amount, which could be of practical interest for potential industry workflows. However, the flip side of the coin is that the initiator increases the mesh size and network softness. The plasticizer does not speed up the curing time, but it also increases network softness.
In addition, in this paper, we propose to calculate one new network topology characteristic, namely, the number of simple cycles passing through a single bond. To the best of our knowledge, this the first time this characteristic of network topology is considered in addition to cycle distribution, which is often studied in state-of-the-art papers on polymer networks [9,12].
We correlated mechanical and topological network properties and propose a valuable way to characterize network softness based on two topological properties: average simple cycle length and average number of simple cycles passing through a single covalent bond. These values can be treated in the more familiar (although inaccurate) terms of network “mesh size” and “sponginess”, correspondingly. We found that, in the studied case of phthalonitrile resin, the initiator mainly changes the “mesh size”, while the plasticizer only affects “sponginess”, and they do so orthogonally to each other, as we present in Figure 10. The combination of these two topological parameters allows one to characterize any given network in an implicit but precise way and predict the resulting network properties, including the mechanical modulus. We believe that the same approach could also be useful for other polymer networks, including rubbers and gels.

Author Contributions

Conceptualization, V.Y.R. and A.V.C.; Data curation, V.Y.R. and A.V.C.; Formal analysis, E.A.E. and A.V.C.; Investigation, E.A.E.; Methodology, V.Y.R. and A.V.C.; Project administration, D.V.G.; Software, V.Y.R.; Supervision, A.V.C.; Validation, D.V.G.; Writing—original draft, V.Y.R. and A.V.C.; Writing—review & editing, V.Y.R. and D.V.G.

Funding

The reported study was funded by RFBR according to research project No. 16-33-60215 “mol_a_dk”.

Acknowledgments

The research was carried out using the equipment of the shared research facilities of HPC computing resources at Lomonosov Moscow State University, supported by project RFMEFI62117X0011.

Conflicts of Interest

The authors declare no conflict of interest.

Abbreviations

The following abbreviations are used in this manuscript:
DPDDissipative particle dynamics
TCMThree Chain Model

References

  1. Norwood, L.S. 1—Fibre reinforced polymers. In Handbook of Polymer Composites for Engineers; Hollaway, L., Ed.; Woodhead Publishing Series in Composites Science and Engineering; Woodhead Publishing: Cambridge, UK, 1994; pp. 3–69. [Google Scholar] [CrossRef]
  2. Ball, P. 2—Manufacturing Processes. In Handbook of Polymer Composites for Engineers; Hollaway, L., Ed.; Woodhead Publishing Series in Composites Science and Engineering; Woodhead Publishing: Cambridge, UK, 1994. [Google Scholar] [CrossRef]
  3. Gotlib, Y.Y.; Gurtovenko, A.A. Unsolved problems in the theory of dynamics in homogeneous and heterogeneous polymer networks. Macromol. Symp. 2001, 171, 69–78. [Google Scholar] [CrossRef]
  4. Wang, R.; Sing, M.K.; Avery, R.K.; Souza, B.S.; Kim, M.; Olsen, B.D. Classical Challenges in the Physical Chemistry of Polymer Networks and the Design of New Materials. Acc. Chem. Res. 2016, 49, 2786–2795. [Google Scholar] [CrossRef] [PubMed]
  5. Zhou, H.; Woo, J.; Cok, A.M.; Wang, M.; Olsen, B.D.; Johnson, J.A. Counting primary loops in polymer gels. Proc. Natl. Acad. Sci. USA 2012, 109, 19119–19124. [Google Scholar] [CrossRef] [PubMed]
  6. Zhong, M.; Wang, R.; Kawamoto, K.; Olsen, B.D.; Johnson, J.A. Quantifying the impact of molecular defects on polymer network elasticity. Science 2016, 353, 1264–1268. [Google Scholar] [CrossRef] [PubMed]
  7. Lin, T.S.; Wang, R.; Johnson, J.A.; Olsen, B.D. Topological Structure of Networks Formed from Symmetric Four-Arm Precursors. Macromolecules 2018, 51, 1224–1231. [Google Scholar] [CrossRef]
  8. Gavrilov, A.A.; Komarov, P.V.; Khalatur, P.G. Thermal properties and topology of epoxy networks: A multiscale simulation methodology. Macromolecules 2015, 48, 206–212. [Google Scholar] [CrossRef]
  9. Elder, R.M.; Sirk, T.W. Topological structure and mechanics of glassy polymer networks. Soft Matter 2017, 13, 8392–8401. [Google Scholar] [CrossRef]
  10. Kothari, K.; Hu, Y.; Gupta, S.; Elbanna, A. Mechanical Response of Two-Dimensional Polymer Networks: Role of Topology, Rate Dependence, and Damage Accumulation. J. Appl. Mech.-Trans. ASME 2018, 85. [Google Scholar] [CrossRef]
  11. Wang, R.; Lin, T.S.; Johnson, J.A.; Olsen, B.D. Kinetic Monte Carlo Simulation for Quantification of the Gel Point of Polymer Networks. ACS Macro Lett. 2017, 6, 1414–1419. [Google Scholar] [CrossRef]
  12. Torres-Knoop, A.; Kryven, I.; Schamboeck, V.; Iedema, P.D. Modeling the free-radical polymerization of hexanediol diacrylate (HDDA): a molecular dynamics and graph theory approach. Soft Matter 2018, 14, 3404–3414. [Google Scholar] [CrossRef]
  13. Sastri, S.B.; Armistead, J.P.; Keller, T.M. Phthalonitrile-carbon fiber composites. Polym. Compos. 1996, 17, 816–822. [Google Scholar] [CrossRef]
  14. Babkin, A.V.; Zodbinov, E.B.; Bulgakov, B.A.; Kepman, A.V.; Avdeev, V.V. Low-melting siloxane-bridged phthalonitriles for heat-resistant matrices. Eur. Polym. J. 2015, 66, 452–457. [Google Scholar] [CrossRef]
  15. Antonietti, M.; Ozin, G.A. Promises and Problems of Mesoscale Materials Chemistry or Why Meso? Chem. Eur. J. 2003, 10, 28–41. [Google Scholar] [CrossRef] [PubMed]
  16. Rudyak, V.Y.; Gavrilov, A.A.; Guseva, D.V.; Chertovich, A.V. Complex Curing Pathways and Their Influence on the Phthalonitrile Resin Hardening and Elasticity. Macromol. Theory Simul. 2017, 26, 1700015. [Google Scholar] [CrossRef]
  17. Guseva, D.V.; Rudyak, V.Y.; Komarov, P.V.; Sulimov, A.V.; Bulgakov, B.A.; Chertovich, A.V. Crosslinking Mechanisms, Structure and Glass Transition in Phthalonitrile Resins: Insight from Computer Multiscale Simulations and Experiments. J. Polym. Sci. Part B Polym. Phys. 2018, 58, 362–374. [Google Scholar] [CrossRef]
  18. Guseva, D.V.; Rudyak, V.Y.; Komarov, P.V.; Bulgakov, B.A.; Babkin, A.V.; Chertovich, A.V. Dynamic and Static Mechanical Properties of Crosslinked Polymer Matrices: Multiscale Simulations and Experiments. Polymers 2018, 10, 792. [Google Scholar] [CrossRef]
  19. Hoogerbrugge, P.J.; Koelman, M.V.A. Simulating microscopic hydrodynamic phenomena with dissipative particle dynamics. Europhys. Lett. 1992, 19, 155. [Google Scholar] [CrossRef]
  20. Koelman, M.V.A.; Hoogerbrugge, P.J. Dynamic simulations of hard-sphere suspensions under steady shear. Europhys. Lett. 1993, 21, 363. [Google Scholar] [CrossRef]
  21. Berezkin, A.V.; Kudryavtsev, Y.V. Simulation of End-Coupling Reactions at a Polymer-Polymer Interface: The Mechanism of Interfacial Roughness Development. Macromolecules 2011, 44, 112. [Google Scholar] [CrossRef]
  22. Guseva, D.V.; Chertovich, A.V.; Rudyak, V.Y. Systematic study of glass transition in low-molecular phthalonitriles: Insight from computer simulations. J. Chem. Phys. 2016, 145, 144503. [Google Scholar] [CrossRef]
  23. Gavrilov, A.A.; Chertovich, A.V.; Khalatur, P.G.; Khokhlov, A.R. Study of the Mechanisms of Filler Reinforcement in Elastomer Nanocomposites. Macromolecules 2014, 47, 5400. [Google Scholar] [CrossRef]
  24. Flory, P.J. Principles of Polymer Chemistry; Cornell Univ. Press: Ithaca, NY, USA, 1953. [Google Scholar]
  25. Khokhlov, A.R.; Grosberg, A.Y.; Pande, V.S. Statistical Physics of Macromolecules, 1st ed.; AIP-Press: New York, NY, USA, 1994. [Google Scholar]
  26. James, H.M.; Guth, E. Theory of the elastic properties of rubber. J. Chem. Phys. 1943, 11, 455–481. [Google Scholar] [CrossRef]
  27. Flory, P.J. Molecular theory of rubber elasticity. Polymer 1979, 20, 1317–1320. [Google Scholar] [CrossRef]
Figure 1. Phthalonitrile network during the curing process.
Figure 1. Phthalonitrile network during the curing process.
Polymers 11 00036 g001
Figure 2. Representation of the coarse-grained model. (a) Coarse-grained mapping schemes of phthalonitrile monomer p-SiMe 2 PN and initiator (diamine curing agent 1,3-bis(4-aminophenoxy) benzene). (b) The scheme of the “mesoscale chemistry” reactions of initiation (i–ii) and polymerization (ii–iv). Terminal beads of each monomer (red) and initiator (blue) have valences of 2 and 1, respectively; asterisk indicates an active bead. Red arrows show reaction pathways.
Figure 2. Representation of the coarse-grained model. (a) Coarse-grained mapping schemes of phthalonitrile monomer p-SiMe 2 PN and initiator (diamine curing agent 1,3-bis(4-aminophenoxy) benzene). (b) The scheme of the “mesoscale chemistry” reactions of initiation (i–ii) and polymerization (ii–iv). Terminal beads of each monomer (red) and initiator (blue) have valences of 2 and 1, respectively; asterisk indicates an active bead. Red arrows show reaction pathways.
Polymers 11 00036 g002
Figure 3. Conversion degree and fraction of particles belonging to the largest cluster as functions of the simulation time. The inset shows the simulation time required to obtain 95% conversion degree depends on the amount of the initiator.
Figure 3. Conversion degree and fraction of particles belonging to the largest cluster as functions of the simulation time. The inset shows the simulation time required to obtain 95% conversion degree depends on the amount of the initiator.
Polymers 11 00036 g003
Figure 4. Snapshots of systems with 4% initiator (a) before (conversion degree c = 0.16 , largest cluster size m c = 0.02 ) and (b) after ( c = 0.18 , m c = 0.11 ) gelation point. The largest clusters are marked in blue for both systems.
Figure 4. Snapshots of systems with 4% initiator (a) before (conversion degree c = 0.16 , largest cluster size m c = 0.02 ) and (b) after ( c = 0.18 , m c = 0.11 ) gelation point. The largest clusters are marked in blue for both systems.
Polymers 11 00036 g004
Figure 5. The largest cluster size versus conversion degree for various amounts of initiator.
Figure 5. The largest cluster size versus conversion degree for various amounts of initiator.
Polymers 11 00036 g005
Figure 6. Averaged network properties at percolation point for various amounts of initiator.
Figure 6. Averaged network properties at percolation point for various amounts of initiator.
Polymers 11 00036 g006
Figure 7. Snapshots of systems with 0% plasticizer and 32% plasticizer at non-deformed ( λ = 1 ) and after deformation ( λ = 1.6 ) (ad). Insets show the average monomer end-to-end distance R e as a function of λ . Stress–strain curves for various initiator concentration of matrices with various amounts of (e) initiator and (f) plasticizer.
Figure 7. Snapshots of systems with 0% plasticizer and 32% plasticizer at non-deformed ( λ = 1 ) and after deformation ( λ = 1.6 ) (ad). Insets show the average monomer end-to-end distance R e as a function of λ . Stress–strain curves for various initiator concentration of matrices with various amounts of (e) initiator and (f) plasticizer.
Polymers 11 00036 g007
Figure 8. Distribution of simple cycle lengths in matrices with various amount of (a) initiator and (b) plasticizer. The number of simple cycles was normalized by dividing it by the number of particles in the polymer matrix.
Figure 8. Distribution of simple cycle lengths in matrices with various amount of (a) initiator and (b) plasticizer. The number of simple cycles was normalized by dividing it by the number of particles in the polymer matrix.
Polymers 11 00036 g008
Figure 9. Dependencies of elastic modulus of matrices with various amount of initiator and plasticizer on (a) the average simple cycle length and (b) the average number of cycles passing through a bond.
Figure 9. Dependencies of elastic modulus of matrices with various amount of initiator and plasticizer on (a) the average simple cycle length and (b) the average number of cycles passing through a bond.
Polymers 11 00036 g009
Figure 10. Elastic modulus as a function of average simple cycle length and average number of cycles passing through a bond for systems with varying amounts of initiator (black) and plasticizer (red).
Figure 10. Elastic modulus as a function of average simple cycle length and average number of cycles passing through a bond for systems with varying amounts of initiator (black) and plasticizer (red).
Polymers 11 00036 g010

Share and Cite

MDPI and ACS Style

Rudyak, V.Y.; Efimova, E.A.; Guseva, D.V.; Chertovich, A.V. Thermoset Polymer Matrix Structure and Properties: Coarse-Grained Simulations. Polymers 2019, 11, 36. https://doi.org/10.3390/polym11010036

AMA Style

Rudyak VY, Efimova EA, Guseva DV, Chertovich AV. Thermoset Polymer Matrix Structure and Properties: Coarse-Grained Simulations. Polymers. 2019; 11(1):36. https://doi.org/10.3390/polym11010036

Chicago/Turabian Style

Rudyak, Vladimir Yu., Elizaveta A. Efimova, Daria V. Guseva, and Alexander V. Chertovich. 2019. "Thermoset Polymer Matrix Structure and Properties: Coarse-Grained Simulations" Polymers 11, no. 1: 36. https://doi.org/10.3390/polym11010036

APA Style

Rudyak, V. Y., Efimova, E. A., Guseva, D. V., & Chertovich, A. V. (2019). Thermoset Polymer Matrix Structure and Properties: Coarse-Grained Simulations. Polymers, 11(1), 36. https://doi.org/10.3390/polym11010036

Note that from the first issue of 2016, this journal uses article numbers instead of page numbers. See further details here.

Article Metrics

Back to TopTop