Effect of SiO2 Content on the Extended Creep Behavior of SiO2-Based Wood-Inorganic Composites Derived via the Sol–Gel Process Using the Stepped Isostress Method
Abstract
:1. Introduction
2. Materials and Methods
2.1. Materials
2.2. Preparation of SiO2 Based Wood-Inorganic Composites (WICSiO2)
2.3. Determination of Composite Properties
2.4. Short-Term Accelerated and Experimental Creep Tests
2.5. Analysis of Variance
3. Results and Discussion
3.1. Mechanical Properties
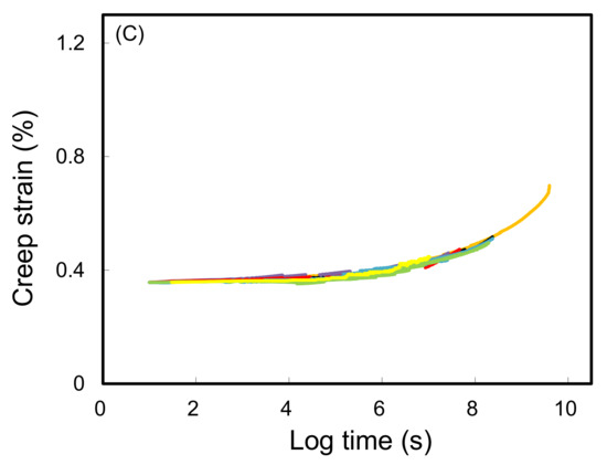
3.2. Creep Master Curves Using the SSM
3.3. SSM-Predicted Creep Curves
4. Conclusions
Acknowledgments
Author Contributions
Conflicts of Interest
References
- Hoadley, R.B. Understanding Wood: A Craftsman’s Guide to Wood Technology; The Taunton Press: Newtown, CT, USA, 2000. [Google Scholar]
- Dong, X.; Zhuo, X.; Liu, C.; Wei, J.; Zhang, G.; Pan, R.; Li, Y. Improvement of decay resistance of wood by in-situ hybridization of reactive monomers and nano-SiO2 within wood. Appl. Environ. Biotechnol. 2016, 1, 56–62. [Google Scholar] [CrossRef]
- Saka, S.; Ueno, T. Several SiO2 wood-inorganic composites and their fire-resisting properties. Wood Sci. Technol. 1997, 31, 457–466. [Google Scholar] [CrossRef]
- Li, Y.F.; Dong, X.Y.; Liu, Y.X.; Li, J.; Wang, F.H. Improvement of decay resistance of wood via combination treatment on wood cell wall: Swell-bonding with maleic anhydride and graft copolymerization with glycidyl methacrylate and methyl methacrylate. Int. Biodeter. Biodegr. 2011, 65, 1087–1094. [Google Scholar] [CrossRef]
- Hill, C.A.S. Wood Modification: Chemical, Thermal and Other Processes; John Wiley & Sons Ltd.: Chichester, UK, 2006. [Google Scholar]
- Wang, X.; Liu, J.; Chai, Y. Thermal, mechanical, and moisture absorption properties of wood-TiO2 composites prepared by a sol-gel process. Bioresources 2012, 7, 893–901. [Google Scholar] [CrossRef]
- Pries, M.; Mai, C. Fire resistance of wood treated with a cationic silica sol. Eur. J. Wood Prod. 2013, 71, 237–244. [Google Scholar] [CrossRef]
- Himmel, S.; Mai, C. Water vapour sorption of wood modified by acetylation and formalisation—Analysed by a sorption kinetics model and thermodynamic considerations. Holzforschung 2016, 70, 203–213. [Google Scholar] [CrossRef]
- Moghaddam, M.; Wålinder, M.E.P.; Claesson, P.M.; Swerin, A. Wettability and swelling of acetylated and furfurylated wood analyzed by multicycle Wilhelmy plate method. Holzforschung 2016, 70, 69–77. [Google Scholar] [CrossRef]
- Beck, G.; Strohbusch, S.; Larnøy, E.; Militz, H.; Hill, C. Accessibility of hydroxyl groups in anhydride modified wood as measured by deuterium exchange and saponification. Holzforschung 2017, 72, 17–23. [Google Scholar] [CrossRef]
- Sakka, S.; Miyafuji, H. Handbook of Sol-gel Science and Technology: Processing, Characterization, and Applications. Volume III: Applications of Sol-gel Technology; Kluwer Academic Publishers: Boston, MA, USA, 2005. [Google Scholar]
- Tshabalala, M.A.; Libert, R.; Schaller, C.M. Photostability and moisture uptake properties of wood veneers coated with a combination of thin sol-gel films and light stabilizers. Holzforschung 2011, 65, 215–220. [Google Scholar] [CrossRef]
- Shabir Mahr, M.; Hübert, T.; Schartel, B.; Bahr, H.; Sabel, M.; Militz, H. Fire retardancy effects in single and double layered sol-gel derived TiO2 and SiO2-wood composites. J. Sol-gel. Sci. Technol. 2012, 64, 452–464. [Google Scholar] [CrossRef]
- Shabir Mahr, M.; Hübert, T.; Stephan, I.; Bücker, M.; Militz, H. Reducing copper leaching from treated wood by sol-gel derived TiO2 and SiO2 depositions. Holzforschung 2013, 67, 429–435. [Google Scholar] [CrossRef]
- Gholamiyan, H.; Tarmian, A.; Ranjbar, Z.; Abdulkhani, A.; Azadfallah, M.; Mai, C. Silane nanofilm formation by sol-gel processes for promoting adhesion of waterborne and solventborne coatings to wood surface. Holzforschung 2016, 70, 429–437. [Google Scholar] [CrossRef]
- Saka, S.; Sasaki, M.; Tanahashi, M. Wood-inorganic composites prepared by sol-gel processing I. Wood-inorganic composites with porous structure. Mokuzai Gakkaishi 1992, 30, 1043–1049. [Google Scholar]
- Shabir Mahr, M. Wood Modification with Titania and Silica Based Precursors: A Novel Approach to prepare Multifunctional Sol-gel Derived TiO2/SiO2 Wood-inorganic Composites; Cuvillier Verlag: Göttingen, Germany, 2013. [Google Scholar]
- Kartal, S.N.; Yoshimura, T.; Imamura, Y. Decay and termite resistance of boron-treated and chemically modified wood by in situ co-polymerization of allyl glycidyl ether (AGE) with methyl methacrylate (MMA). Int. Biodeterior. Biodegrad. 2004, 53, 111–117. [Google Scholar] [CrossRef]
- Qin, C.; Zang, W. Antibacterial properties of titanium alkoxide/poplar wood composite prepared by sol-gel process. Mater. Lett. 2012, 89, 101–103. [Google Scholar] [CrossRef]
- Hung, K.C.; Wu, J.H. Characteristics and thermal decomposition kinetics of wood-SiO2 composites derived by the sol-gel process. Holzforschung 2017, 71, 233–240. [Google Scholar] [CrossRef]
- Hung, K.C.; Wu, J.H. Comparison of physical and thermal properties of various wood-inorganic composites (WICs) derived by the sol-gel process. Holzforschung 2018. [Google Scholar] [CrossRef]
- Tajvidi, M.; Simon, L.C. High-temperature creep behavior of wheat straw isotactic/impact-modified polypropylene composites. J. Thermoplast. Compos. 2015, 28, 1406–1422. [Google Scholar] [CrossRef]
- Tanks, J.D.; Rader, K.E.; Sharp, S.R. Accelerated creep and creep-rupture testing of transverse unidirectional carbon/epoxy lamina based on the stepped isostress method. Compos. Struct. 2017, 159, 455–462. [Google Scholar] [CrossRef]
- Dasappa, P.; Lee-Sullivan, P.; Xiao, X. Temperature effects on creep behavior of continuous fiber GMT composites. Compos. Part A 2009, 40, 1071–1081. [Google Scholar] [CrossRef]
- Hung, K.C.; Wu, T.L.; Chen, Y.L.; Wu, J.H. Assessing the effect of wood acetylation on mechanical properties and extended creep behavior of wood/recycled-polypropylene composites. Constr. Build. Master. 2015, 108, 139–145. [Google Scholar] [CrossRef]
- Yang, T.C.; Wu, T.L.; Hung, K.C.; Chen, Y.L.; Wu, J.H. Mechanical properties and extended creep behavior of bamboo fiber reinforced recycled poly(lactic acid) composites using the time-temperature superposition principle. Constr. Build. Master. 2015, 93, 558–563. [Google Scholar] [CrossRef]
- Jones, C.J.F.P.; Clarke, D. The residual strength of geosynthetic reinforcement subjected to accelerated creep testing and simulated seismic events. Geotext. Geomembr. 2007, 25, 155–169. [Google Scholar] [CrossRef]
- Alwis, K.G.N.C.; Burgoyne, C.J. Accelerated creep testing for aramid fibres using the stepped isothermal method. J. Mater. Sci. 2008, 43, 4789–4800. [Google Scholar] [CrossRef]
- Yeo, S.S.; Hsuan, Y.G. Evaluation of creep behavior of high density polyethylene and polyethylene-terephthalate geogrids. Geotext. Geomembr. 2010, 28, 409–421. [Google Scholar] [CrossRef]
- Achereiner, F.; Engelsing, K.; Bastian, M.; Heidemeyer, P. Accelerated creep testing of polymers using the stepped isothermal method. Polym. Test. 2013, 32, 447–454. [Google Scholar] [CrossRef]
- Hadid, M.; Rechak, S.; Tati, A. Long-term bending creep behavior prediction of injection molded composite using stress-time correspondence principle. Mater. Sci. Eng. A Struct. 2004, 385, 54–58. [Google Scholar] [CrossRef]
- Giannopoulos, I.P.; Burgoyne, C.J. Prediction of the long-term behaviour of high modulus fibres using the stepped isostress method (SSM). J. Mater. Sci. 2011, 46, 7660–7671. [Google Scholar] [CrossRef]
- Giannopoulos, I.P.; Burgoyne, C.J. Accelerated and real-time creep and creep-rupture results for aramid fibers. J. Appl. Polym. Sci. 2012, 125, 3856–3870. [Google Scholar] [CrossRef]
- Hadid, M.; Guerira, B.; Bahri, M.; Zouani, A. Assessment of the stepped isostress method in the prediction of long term creep of thermoplastics. Polym. Test. 2014, 34, 113–119. [Google Scholar] [CrossRef]
- Miyafuji, H.; Kokaji, H.; Saka, S. Photostable wood-inorganic composites prepared by the sol-gel process with UV absorbent. J. Wood Sci. 2004, 50, 130–135. [Google Scholar] [CrossRef]
- ASTM. Standard Test Methods for Evaluating Properties of Wood-Based Fiber and Particle Panel Materials; ASTM D1037; ASTM: West Conshohocken, PA, USA, 2006. [Google Scholar]
- ASTM. Standard Test Methods for Flexural Properties of Unreinforced and Reinforced Plastics and Electrical Insulating Materials; ASTM D790; ASTM: West Conshohocken, PA, USA, 2009. [Google Scholar]
- Pasquini, D.; Teixeira, E.M.; Curvelo, A.A.S.; Belgacem, M.N.; Dufresne, A. Surface esterifi cation of cellulose fibres: Processing and characterisation of low-density polyethylene/cellulose fibres composites. Compos. Sci. Technol. 2008, 68, 193–201. [Google Scholar] [CrossRef]
- Hung, K.C.; Wu, J.H. Mechanical and interfacial properties of plastic composite panels made from esterified bamboo particles. J. Wood Sci. 2010, 56, 216–221. [Google Scholar] [CrossRef]
- Yeo, S.S.; Hsuan, Y.G. Service Life Prediction of Polymeric Materials: Global Perspectives; Springer: New York, NY, USA, 2009. [Google Scholar]
- Truhlar, D.G.; Garrett, B.C.; Klippenstein, S.J. Current status of transition-state theory. J. Phys. Chem. 1996, 100, 12771–12800. [Google Scholar] [CrossRef]
- Findley, W.N.; Lai, J.S.; Onaran, K. Creep and Relaxation of Nonlinear Viscoelastic Materials with an Introduction to Linear Viscoelasticity; Dover Publications: New York, NY, USA, 1976. [Google Scholar]







| Specimen | WPG (%) | Density (kg/m3) | Flexural properties | |
|---|---|---|---|---|
| MOE (GPa) | MOR (MPa) | |||
| Wood | ‒ | 426 ± 31 b | 10.5 ± 1.5 a | 87 ± 8 b |
| WICSiO2 | 10 | 513 ± 22 a | 10.7 ± 0.4 a | 100 ± 4 ab |
| 20 | 438 ± 16 b | 10.5 ± 1.1 a | 102 ± 11 a | |
| 30 | 459 ± 37 b | 10.5 ± 0.3 a | 101 ± 4 ab | |
| Specimen | WPG (%) | S0 (GPa−1) | a | b | R2 | S(t) (GPa−1) | Modulus reduction (%) | ||||||
|---|---|---|---|---|---|---|---|---|---|---|---|---|---|
| Time (Years) | Time (Years) | ||||||||||||
| 5 | 15 | 30 | 50 | 5 | 15 | 30 | 50 | ||||||
| Wood | ‒ | 0.134 | 0.0097 | 0.21 | 0.9963 | 0.22 | 0.24 | 0.26 | 0.27 | 39 | 45 | 48 | 51 |
| WICSiO2 | 10 | 0.130 | 0.0027 | 0.26 | 0.9947 | 0.17 | 0.19 | 0.20 | 0.21 | 25 | 31 | 35 | 38 |
| 20 | 0.133 | 0.0007 | 0.34 | 0.9995 | 0.16 | 0.17 | 0.18 | 0.19 | 17 | 23 | 27 | 31 | |
| 30 | 0.117 | 0.0040 | 0.23 | 0.9981 | 0.17 | 0.18 | 0.19 | 0.20 | 29 | 35 | 39 | 41 | |
© 2018 by the authors. Licensee MDPI, Basel, Switzerland. This article is an open access article distributed under the terms and conditions of the Creative Commons Attribution (CC BY) license (http://creativecommons.org/licenses/by/4.0/).
Share and Cite
Hung, K.-C.; Wu, J.-H. Effect of SiO2 Content on the Extended Creep Behavior of SiO2-Based Wood-Inorganic Composites Derived via the Sol–Gel Process Using the Stepped Isostress Method. Polymers 2018, 10, 409. https://doi.org/10.3390/polym10040409
Hung K-C, Wu J-H. Effect of SiO2 Content on the Extended Creep Behavior of SiO2-Based Wood-Inorganic Composites Derived via the Sol–Gel Process Using the Stepped Isostress Method. Polymers. 2018; 10(4):409. https://doi.org/10.3390/polym10040409
Chicago/Turabian StyleHung, Ke-Chang, and Jyh-Horng Wu. 2018. "Effect of SiO2 Content on the Extended Creep Behavior of SiO2-Based Wood-Inorganic Composites Derived via the Sol–Gel Process Using the Stepped Isostress Method" Polymers 10, no. 4: 409. https://doi.org/10.3390/polym10040409
APA StyleHung, K.-C., & Wu, J.-H. (2018). Effect of SiO2 Content on the Extended Creep Behavior of SiO2-Based Wood-Inorganic Composites Derived via the Sol–Gel Process Using the Stepped Isostress Method. Polymers, 10(4), 409. https://doi.org/10.3390/polym10040409

