Numerical Investigation of Masonry Strengthened with Composites
Abstract
1. Introduction
2. Theoretical Approach
2.1. Mechanical Models of Materials
2.2. Bi-Linearization of the Bending Moment-Curvature Diagram
3. Numerical Investigation
3.1. Mechanical Characteristics of Materials
- -
- Composite made of inorganic matrix and basalt fiber (synthetic fiber);
- -
- Composite made of inorganic matrix and hemp fiber (natural fiber).
3.2. P-M Domains: Assessment of Masonry Cross-Sections Strengthened with Composite
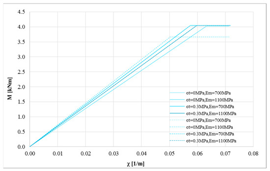
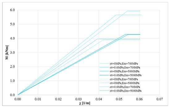
3.3. Bending Moment-Curvature Diagrams
3.4. Ductility Estimation
4. Conclusions
Author Contributions
Conflicts of Interest
Appendix A
Failure Surface of the Strengthened Masonry Section: Solver Algorithm
- -
- Size of the cross-section: b and s, respectively, width and height;
- -
- Compressive strength of masonry σ0;
- -
- Tensile strength of masonry through the parameter α. It is the ratio between the tensile strength σt and the compressive strength σ0.
- -
- Young’s modulus of masonry Em;
- -
- Multi linear stress-strain curve of strengthening system;
- -
- Cracking stress of matrix σm,cr* homogenized to the fiber element;
- -
- Ultimate stress of the composite σc,u. It coincides with the tensile strength of the fiber element;
- -
- Initial Young’s modulus E1* and E2* of the composite homogenized to the fiber element (for bi-linear and tri-linear models);
- -
- The Young’s modulus of the composite Ef (for linear, bi-linear, and tri-linear models);
- -
- Number of strips, nf, to discretize the cross-section (the strengthening system is generally modelled as a single strip element);
- -
- Convergence tolerance for the equilibrium equation, generally equal to 1‰ of the axial load P;
- -
- Number of steps nsP to split the axial load range;
- -
- Number of steps nsχ in order to assess the bending moment-curvature diagram;
- -
- Number of iterations for the solver algorithm. This value is variable and depends on the convergence criteria.
- (a)
- under a tri-linear model assumption:
- (b)
- under bi-linear assumption:
- (c)
- under linear assumption:
- -
- crashing of masonry;
- -
- failure of the strengthening system under tensile stress;
- -
- debonding failure mode between the strengthening system and the substrate.


Abbreviations
| Af | area of the single strip |
| b | width of the cross-section |
| E1* | initial Young’s modulus of composite, homogenized to fiber |
| E2* | second Young’s modulus of the bi-linear model of composite, homogenized to fiber |
| Ef | Young’s modulus of the fiber |
| Em | Young’s modulus of the masonry |
| Emx | Young’s modulus of the matrix |
| M | bending moment acting on the cross-section |
| Mrd | bending strength of the cross-section |
| Mrd,i | bending strength of the cross-section for an assumed axial load value |
| Mrd,i,j,k | bending strength of the strip j for both assumed axial load and curvature value |
| Mi,k | bending moment of the cross-section for both assumed axial load and curvature value |
| nf | number of strips to discretize the cross-section |
| nsP | number of steps to split the axial load range |
| nsχ | number of steps to split the bending moment- curvature diagram |
| P | axial load acting on the cross-section |
| P0 | axial strength of the cross-section |
| Pi | discrete value of the axial load |
| PG,i,j,k | axial load for each strip j for both assumed axial load and curvature value |
| p | axial load normalized to the axial strength P0 |
| s | height of the cross-section |
| sf | thickness of the single strip |
| xG,j | distance of the barycenter of each strip j from the top of the cross-section |
| ε0 | first plastic strain of masonry |
| ε2 | final strain of the constant stress-strain curve of the tri-linear model of composite |
| εc,cr | cracking strain of composite |
| εc,u | ultimate strain of composite |
| εf,u | ultimate strain of fiber |
| εG,j | strain level for each strip j |
| εG,i,j | strain level for each strip j for an assumed axial load value |
| εG,i,j,k | strain level for each strip j for both assumed axial load and curvature value |
| εm,cr | cracking strain of mortar |
| εmu | maximum compressive strain of masonry |
| μ | curvature ductility of the cross-section |
| σ0 | compressive strength of masonry |
| σc,u | tensile strength of composite |
| σc | tensile stress of composite |
| σf,u | tensile strength of fiber |
| σm,cr | cracking strength of mortar |
| σm,cr* | cracking strength of mortar, homogenized to fiber |
| σt | tensile strength of masonry |
| σG,j | stress level for each strip j |
| σG,i,j | stress level for each strip j for an assumed axial load value |
| σG,i,j,k | stress level for each strip j for both assumed axial load and curvature value |
| α | tensile strength of masonry, normalized to the compressive strength σ0 |
| χ | curvature value of the strengthened cross-section |
| χi,k | curvature value for an assumed axial load |
| χu | ultimate curvature of the bi-linearized curve |
| χy | yielding curvature of the bi-linearized curve |
References
- Parisi, F.; Augenti, N. Earthquake damages to cultural heritage constructions and simplified assessment of artworks. Eng. Fail. Anal. 2013, 34, 735–760. [Google Scholar] [CrossRef]
- Asprone, D.; Durante, M.; Prota, A.; Manfredi, G. Potential of structural pozzolanic matrix-hemp fiber grid composites. Constr. Build. Mater. 2015, 25, 2867–2874. [Google Scholar] [CrossRef]
- Menna, C.; Asprone, D.; Durante, M.; Zinno, A.; Balsamo, A.; Prota, A. Structural behavior of masonry panels strengthened with an innovative hemp fibre composite grid. Constr. Build. Mater. 2015, 100, 111–121. [Google Scholar] [CrossRef]
- Guerreiro, J.; Proença, J.M.; Ferreira, J.G.; Gago, A.S. Bonding and anchoring of a CFRP reinforced render for the external strengthening of old masonry buildings. Constr. Build. Mater. 2017, 155, 56–64. [Google Scholar] [CrossRef]
- Marcari, G.; Oliveira, D.V.; Fabbrocino, G.; Lourenco, P.B. Shear capacity assessment of tuff panels strengthened with FRP diagonal layout. Compos. Part B 2011, 42, 1956–1965. [Google Scholar] [CrossRef][Green Version]
- Babatunde, S.A. Review of strengthening techniques for masonry using fiber reinforced polymers. Compos. Struct. 2017, 161, 246–255. [Google Scholar] [CrossRef]
- Ceroni, F.; Leone, M.; Rizzo, V.; Bellini, A.; Mazzotti, C. Influence of mortar joints on the behavior of FRP materials bonded to different masonry substrates. Eng. Struct. 2017, 153, 550–568. [Google Scholar] [CrossRef]
- Hamed, E.; Rabinovitch, O. Masonry walls strengthened with composite materials—Dynamic out-of-plane behavior. Eur. J. Mech. 2008, 27, 1037–1059. [Google Scholar] [CrossRef]
- Dizhur, D.; Griffith, M.; Ingham, J. Out-of-plane strengthening of unreinforced masonry walls using near surface mounted fibre reinforced polymer strips. Eng. Struct. 2014, 59, 330–343. [Google Scholar] [CrossRef]
- Khan, H.A.; Nanda, R.P.; Das, D. In-plane strength of masonry panel strengthened with geosynthetic. Constr. Build. Mater. 2017, 156, 351–361. [Google Scholar] [CrossRef]
- Giamundo, V.; Lignola, G.P.; Prota, A.; Manfredi, G. Nonlinear analyses of adobe masonry walls reinforced with fiberglass mesh. Polymers 2014, 6, 464–478. [Google Scholar] [CrossRef]
- Carozzi, F.G.; Bellini, A.; D’Antino, T.; de Felice, G.; Focacci, F.; Hojdys, Ł.; Laghi, L.; Lanoye, E.; Micelli, F.; Panizza, M.; et al. Experimental investigation of tensile and bond properties of Carbon-FRCM composites for strengthening masonry elements. Compos. Part B 2017, 128, 100–119. [Google Scholar] [CrossRef]
- Lignola, G.P.; Caggegi, C.; Ceroni, F.; de Santis, S.; Krajewski, P.; Lourenço, P.B.; Morganti, M.; Papanicolaou, C.; Pellegrino, C.; Prota, A.; et al. Performance assessment of basalt FRCM for retrofit applications on masonry. Compos. Part B 2017, 128, 1–18. [Google Scholar] [CrossRef]
- De Santis, S.; Ceroni, F.; de Felice, G.; Fagone, M.; Ghiassi, B.; Kwiecień, A.; Lignola, G.P.; Morganti, M.; Santandrea, M.; Valluzzi, M.R.; et al. Round Robin Test on tensile and bond behavior of Steel Reinforced Grout systems. Compos. Part B 2017, 127, 100–120. [Google Scholar] [CrossRef]
- Leone, M.; Aiello, M.A.; Balsamo, A.; Carozzi, F.G.; Ceroni, F.; Corradi, M.; Gams, M.; Garbin, E.; Gattesco, N.; Krajewski, P.; et al. Glass fabric reinforced cementitious matrix: Tensile properties and bond performance on masonry substrate. Compos. Part B 2017, 127, 196–214. [Google Scholar] [CrossRef]
- Bilotta, A.; Ceroni, F.; Nigro, E.; Pecce, M. Experimental tests on FRCM strengthening systems for tuff masonry elements. Constr. Build. Mater. 2017, 138, 114–133. [Google Scholar] [CrossRef]
- Bilotta, A.; Ceroni, F.; Lignola, G.P.; Prota, A. Use of DIC technique for investigating the behavior of FRCM materials for strengthening masonry elements. Compos. Part B 2017, 129, 251–270. [Google Scholar] [CrossRef]
- Zahra, T.; Dhanasekar, M. Characterisation of cementitious polymer mortar—Auxetic foam composites. Constr. Build. Mater. 2017, 147, 143–159. [Google Scholar] [CrossRef]
- D’Ambra, C.; Lignola, G.P.; Fabbrocino, F.; Prota, A.; Sacco, E. Repair of Clay Brick Walls for out of Plane Loads by Means of FRCM. Key Eng. Mater. 2017, 747, 358–365. [Google Scholar] [CrossRef]
- Alecci, V.; Focacci, F.; Rovero, L.; Stipo, G.; de Stefano, M. Intrados strengthening of brick masonry arches with different FRCM composites: Experimental and analytical investigations. Compos. Struct. 2017, 176, 898–909. [Google Scholar] [CrossRef]
- Fabbrocino, F.; Farina, I.; Berardi, V.P.; Ferreira, A.J.M.; Fraternali, F. On the thrust surface of unreinforced and FRP-/FRCM-reinforced masonry domes. Compos. Part B 2015, 83, 297–305. [Google Scholar] [CrossRef]
- Noor-E-Khuda, S.; Dhanasekar, M. Masonry Walls under Combined In-Plane and Out-of-Plane Loadings. J. Struct. Eng. (United States) 2018, 144, 1–10. [Google Scholar] [CrossRef]
- Noor-E-Khuda, S.; Dhanasekar, M.; Thambiratnam, D.P. Out-of-plane deformation and failure of masonry walls with various forms of reinforcement. Compos. Struct. 2016, 140, 262–277. [Google Scholar] [CrossRef]
- Carpentieri, G.; Fabbrocino, F.; de Piano, M.; Berardi, V.P.; Feo, L.; Fraternali, F. Minimal mass design of strengthening techniques for planar and curved masonry structures. In Proceedings of the VII European Congress on Computational Methods in Applied Sciences and Engineering (ECCOMAS Congress 2016), Crete Island, Greece, 5–10 June 2016; pp. 2210–2219. [Google Scholar]
- Carpentieri, G.; Modano, M.; Fabbrocino, F.; Feo, L.; Fraternali, F. On the minimal mass reinforcement of masonry structures with arbitrary shapes. Meccanica 2017, 152, 1561–1576. [Google Scholar] [CrossRef]
- Farina, I.; Fabbrocino, F.; Carpentieri, G.; Modano, M.; Amendola, A.; Goodall, R.; Feo, L.; Fraternali, F. On the reinforcement of cement mortars through 3D printed polymeric and metallic fibers. Compos. Part B 2016, 90, 76–85. [Google Scholar] [CrossRef]
- Codispoti, R.; Oliveira, D.V.; Fangueiro, R.; Lourenço, P.B.; Olivito, R. Experimental Behavior of Natural Fiber-Based Composites Used for Strengthening Masonry Structures. Mater. Sci. 2013, 2013, 539856. [Google Scholar] [CrossRef]
- Carozzi, F.G.; Poggi, C. Mechanical properties and debonding strength of Fabric Reinforced Cementitious Matrix (FRCM) systems for masonry strengthening. Compos. Part B 2015, 70, 215–230. [Google Scholar] [CrossRef]
- Lignola, G.P.; Ambra, C.D.; Prota, A.; Ceroni, F. Modelling of tuff masonry walls retrofitted with inorganic matrix—Grid composites. In Proceedings of the 16th International Brick and Block Masonry Conference (IBMAC), Padua, Italy, 26–30 June 2016; pp. 2127–2735. [Google Scholar] [CrossRef]
- Ramaglia, G.; Lignola, G.P.; Fabbrocino, F.; Prota, A. Impact of inorganic matrix strengthening systems on heritage masonry structures. In Proceedings of the XV international forum World Heritage and Disaster, Capri, Italy, 15–16 June 2017; Volume 4, pp. 1273–1280. [Google Scholar]
- Giamundo, V.; Sarhosis, V.; Lignola, G.P.; Sheng, Y.; Manfredi, G. Evaluation of different computational modelling strategies for the analysis of low strength masonry structures. Eng. Struct. 2014, 73, 160–169. [Google Scholar] [CrossRef]
- Eurocode 6. Design of Masonry Structures—Part 1-1: General Rules for Reinforced and Unreinforced Masonry Structures; Authority: The European Union Per Regulation 305/2011, Directive 98/34/EC, Directive 2004/18/EC; European Committee for Standardization (CEN): Brussels, Belgium, 2006.
- Zahra, T.; Dhanasekar, M. A generalised damage model for masonry under compression. Int. J. Damage Mech. 2016, 25, 629–660. [Google Scholar] [CrossRef]
- Zahra, T.; Dhanasekar, M. Prediction of masonry compressive behaviour using a damage mechanics inspired modelling method. Constr. Build. Mater. 2016, 109, 128–138. [Google Scholar] [CrossRef]
- Parisi, F.; Sabella, G.; Augenti, N. Constitutive model selection for unreinforced masonry cross sections based on best-fit analytical moment-curvature diagrams. Eng. Struct. 2016, 111, 451–466. [Google Scholar] [CrossRef]
- Giamundo, V.; Lignola, G.P.; Maddaloni, G.; da Porto, F.; Prota, A.; Manfredi, G. Shaking table tests on a full-scale unreinforced and IMG retrofitted clay brick masonry barrel vault. Bull. Earthq. Eng. 2016, 14, 1663–1693. [Google Scholar] [CrossRef]
- Ramaglia, G.; Lignola, G.P.; Prota, A. Collapse analysis of slender masonry barrel vaults. Eng. Struct. 2016, 117, 86–100. [Google Scholar] [CrossRef]
- IBC2009. Italian Building Code: Circolare 617/2009 Ministero delle Infrastrutture dei Trasporti. Istruzioni per 754 L’applicazione delle “Norme Tecniche per le Costruzioni”; Decreto Ministeriale 2008. Gazzetta Ufficiale Serie Generale n.47 del 26-02-2009—Suppl. Ordinario n. 27; Istituto Poligrafico e Zecca dello Stato: Roma, Italy, 2009.
- Technical Datasheet, Mapei Manufacturer. Mapegrid B_250. Alkali-Resistant Basalt Fiber for Structural Reinforcement of Concrete and Masonry Structures. Available online: http://www.mapei.com/it/en/products-and-solutions/products/detail/mapegrid-b250 (accessed on 14 march 2018).
- Technical Datasheet, Mapei Manufacturer. Planitop HDM Restauro. Bi-Component Premixed Mortar with High Ductility Based on Natural Hydraulic Lime for Strengthening Interventions Applied on Masonry Substrate. Available online: http://www.mapei.com/it/en/products-and-solutions/products/detail/planitop-hdm-restauro (accessed on 14 march 2018).
- Ramaglia, G.; Lignola, G.P.; Balsamo, A.; Prota, A.; Manfredi, G. Seismic Strengthening of Masonry Vaults with Abutments Using Textile-Reinforced Mortar. J. Compos. Constr. 2016, 21, 1–16. [Google Scholar] [CrossRef]
- Bernardi, P.; Ferretti, D.; Leurini, F.; Michelini, E. A non-linear constitutive relation for the analysis of FRCM elements. Procedia Struct. Integr. 2016, 2, 2674–2681. [Google Scholar] [CrossRef][Green Version]
- Focacci, F.; Carloni, C. Periodic variation of the transferable load at the FRP-masonry interface. Compos. Struct. 2015, 129, 90–100. [Google Scholar] [CrossRef]

















| Compressive strength σ0 (MPa) | Tensile strength |σt| (MPa) | Young’s modulus Em (MPa) |
|---|---|---|
| 1, 3, 8 | 0, 0.15, 0.3, 0.6 | 700, 1100, 3000, 5000 |
| Element | Tensile strength (MPa) | Young’s modulus (MPa) | Ultimate tensile strain (-) |
|---|---|---|---|
| Basalt | 1538 | 71,891 | 0.0214 |
| Mortar (matrix for basalt) | 8 | 8000 | - |
| Hemp | 47 | 7000 | 0.00671 |
| Mortar (matrix for hemp) | 0.35 | 8000 | - |
| Strengthening system | Young’s modulus E1* (MPa) | Young’s modulus E2* (MPa) | Young’s modulus Ef (MPa) | Tensile cracking strength |σm,cr| (MPa) | Tensile strength |σcu| (MPa) | Initial cracking strain |εm,cr| (-) | Final cracking strain |ε2| (-) | Ultimate strain |εf,u| (-) |
|---|---|---|---|---|---|---|---|---|
| I.S.F | 1,242,982 | 45,198 | 71,891 | 485 | 1538 | 0.00039 | - | 0.0214 |
| I.N.F | 346,531 | 4773 | 7000 | 15.16 | 47 | 0.000044 | 0.00217 | 0.00671 |
© 2018 by the authors. Licensee MDPI, Basel, Switzerland. This article is an open access article distributed under the terms and conditions of the Creative Commons Attribution (CC BY) license (http://creativecommons.org/licenses/by/4.0/).
Share and Cite
Ramaglia, G.; Lignola, G.P.; Fabbrocino, F.; Prota, A. Numerical Investigation of Masonry Strengthened with Composites. Polymers 2018, 10, 334. https://doi.org/10.3390/polym10030334
Ramaglia G, Lignola GP, Fabbrocino F, Prota A. Numerical Investigation of Masonry Strengthened with Composites. Polymers. 2018; 10(3):334. https://doi.org/10.3390/polym10030334
Chicago/Turabian StyleRamaglia, Giancarlo, Gian Piero Lignola, Francesco Fabbrocino, and Andrea Prota. 2018. "Numerical Investigation of Masonry Strengthened with Composites" Polymers 10, no. 3: 334. https://doi.org/10.3390/polym10030334
APA StyleRamaglia, G., Lignola, G. P., Fabbrocino, F., & Prota, A. (2018). Numerical Investigation of Masonry Strengthened with Composites. Polymers, 10(3), 334. https://doi.org/10.3390/polym10030334

