Inclusion Complexes of Citronella Oil with β-Cyclodextrin for Controlled Release in Biofunctional Textiles
Abstract
1. Introduction
2. Materials and Methods
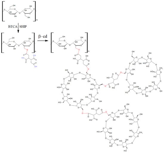
2.1. Preparation of Complexes in β-Cyclodextrin and Application
2.2. Characterization of βCD–Oil Complexes
2.3. Characterization of Textile Finishing
3. Results and Discussion
3.1. FTIR Study of βCD–Citronella Complexes
3.2. Complexation Yield
3.3. Morphology
3.4. Application on Textile Substrate
3.5. Release Kinetics of Citronella Essential Oil
4. Conclusions
Author Contributions
Funding
Conflicts of Interest
References
- Asbahani, A.E.; Miladi, K.; Badri, W.; Sala, M.; Addi, E.H.A.; Casabianca, H.; Mousadik, A.E.; Hartmann, D.; Jilale, A.; Renaud, F.N.R.; et al. Essential oils: From extraction to encapsulation. Int. J. Pharm. 2015, 483, 220–243. [Google Scholar] [CrossRef] [PubMed]
- Wang, C.X.; Chen, S.L. Fragrance-release property of β-cyclodextrin inclusion componds and their application in aramotherapy. J. Ind. Text. 2005, 34, 157–166. [Google Scholar] [CrossRef]
- Solomon, B.; Sahle, F.F.; Gebre-mariam, T.; Asres, K.; Neubert, R.H.H. European journal of pharmaceutics and biopharmaceutics microencapsulation of citronella oil for mosquito-repellent application: Formulation and in vitro permeation studies. Eur. J. Pharm. Biopharm. 2012, 80, 61–66. [Google Scholar] [CrossRef] [PubMed]
- Specos, M.M.M.; García, J.J.; Tornesello, J.; Marino, P.; Vecchia, D.M.; Tesoriero, D.M.V.; Hermida, L.G. Microencapsulated citronella oil for mosquito repellent finishing of cotton textiles. Trans. R. Soc. Trop. Med. Hyg. 2010, 104, 653–658. [Google Scholar] [CrossRef] [PubMed]
- Wu, H.; Fu, C.C.; Yu, D.D.; Feng, J.T.; Zhang, X.; Ma, Z.Q. Repellent activity screening of 11 kinds of essential oils against aedes albopictus skuse: Microcapsule preparation of herba schizonepetae oil and repellent bioassay on hand skin. Trans. R. Soc. Trop. Med. Hyg. 2013, 107, 471–479. [Google Scholar] [CrossRef] [PubMed]
- Hsieh, W.C.; Chang, C.P.; Gao, Y.L. Controlled release properties of chitosan encapsulated volatile citronella oil microcapsules by thermal treatments. Colloids Surf. B Biointerf. 2006, 53, 209–214. [Google Scholar] [CrossRef] [PubMed]
- Bezerra, F.M.; Carmona, O.G.; Carmona, C.G.; Lis, M.J.; de Moraes, F.F. Controlled release of microencapsulated citronella essential oil on cotton and polyester matrices. Cellulose 2016, 23, 1459–1470. [Google Scholar] [CrossRef]
- Mihailiasa, M.; Caldera, F.; Li, J.; Peila, R.; Ferri, A.; Trotta, F. Preparation of functionalized cotton fabrics by means of melatonin loaded-cyclodextrin nanosponges. Carbohydr. Polym. 2016, 142, 24–30. [Google Scholar] [CrossRef] [PubMed]
- Rubio, L.; Alonso, C.; Coderch, L.; Parra, J.L.; Martí, M.; Cebrián, J.; Navarro, J.A.; Lis, M.; Valldeperas, J. Skin delivery of caffeine contained in biofunctional textiles. Text. Res. J. 2010, 80, 1214–1221. [Google Scholar] [CrossRef]
- Mastromatteo, M.; Barbuzzi, G.; Conte, A.; Del Nobile, M.A. Controlled release of thymol from zein based film. Innov. Food Sci. Emerg. Technol. 2009, 10, 222–227. [Google Scholar] [CrossRef]
- Reddersen, K.; Finger, S.; Zieger, M.; Wiegand, C.; Buschmann, H.J.; Elsner, P.; Hipler, U.C. Cytocompatibility testing of cyclodextrin-functionalized antimicrobial textiles—A comprehensive approach. J. Mater. Sci. Mater. Med. 2016, 27, 190. [Google Scholar] [CrossRef] [PubMed]
- Radu, C.; Parteni, O.; Ochiuz, L. Applications of cyclodextrins in medical textiles—Review. J. Control. Release 2016, 224, 146–157. [Google Scholar] [CrossRef] [PubMed]
- Zhao, C.; Wang, C.; Chen, K.; Yin, Y. Improvement of ink-jet printing performances using β-cyclodextrin forming inclusion complex on cotton fabric. Fibers Polym. 2017, 18, 619–624. [Google Scholar] [CrossRef]
- Voncina, B.; Marechal, A.M.L. Grafting of cotton with β-Cyclodextrin via poly (carboxylic acid). J. Appl. Polym. Sci. 2005, 96, 1323–1328. [Google Scholar] [CrossRef]
- Martin, A.; Tabary, N.; Leclercq, L.; Junthip, J.; Degoutin, S. Multilayered textile coating based on a β-cyclodextrin polyelectrolyte for the controlled release of drugs. Carbohydr. Polym. 2013, 93, 718–730. [Google Scholar] [CrossRef] [PubMed]
- Medronho, B.; Valente, A.J.M.; Costa, P.; Romano, A. Inclusion complexes of rosmarinic acid and cyclodextrins: Stoichiometry, association constants, and antioxidant potential. Colloid Polym. Sci. 2014, 292, 885–894. [Google Scholar] [CrossRef]
- Martel, B.; Morcellet, M.; Ruffin, D.; Ducoroy, L.; Weltrowski, M. Finishing of polyester fabrics with cyclodextrins and polycarboxylic acids as crosslinking agents. J. Incl. Phenom. 2002, 44, 443–446. [Google Scholar] [CrossRef]
- Martel, B.; Weltrowski, M.; Ruffin, D.; Morcellet, M. Polycarboxylic acids as crosslinking agents for grafting cyclodextrins onto cotton and wool fabrics: Study of the process parameters. J. Appl. Polym. Sci. 2002, 83, 1449–1456. [Google Scholar] [CrossRef]
- Blanchemain, N.; Karrout, Y.; Tabary, N.; Neut, C.; Bria, M.; Siepmann, J.; Hildebrand, H.F.; Martel, B. Methyl-β-cyclodextrin modified vascular prosthesis: Influence of the modification level on the drug delivery properties in different media. Acta Biomater. 2011, 7, 304–314. [Google Scholar] [CrossRef] [PubMed]
- McCormack, B.; Gregoriadis, G. Drugs-in-cyclodextrins-in-liposomes: an approach to controlling the fate of water insoluble drugs in vivo. Int. J. Pharm. 1998, 162, 59–69. [Google Scholar] [CrossRef]
- Irie, T.; Uekama, K. Pharmaceutical applications of cyclodextrins. III. Toxical issues and safety evaluation. J. Pharm. Sci. 1997, 86, 147–162. [Google Scholar] [CrossRef] [PubMed]
- Singh, N.; Yadav, M.; Khanna, S.; Sahu, O. Sustainable fragrance cum antimicrobial fi nishing on cotton: Indigenous essential oil. Sustain. Chem. Pharm. 2017, 5, 22–29. [Google Scholar] [CrossRef]
- Ciobanu, A.; Mallard, I.; Landy, D.; Brabie, G.; Nistor, D.; Fourmentin, S. Retention of aroma compounds from Mentha piperita essential oil by cyclodextrins and crosslinked cyclodextrin polymers. Food Chem. 2013, 138, 291–297. [Google Scholar] [CrossRef] [PubMed]
- Peila, R.; Migliavacca, G.; Aimone, F.; Ferri, A.; Sicardi, S. A comparison of analytical methods for the quantification of a reactive β-cyclodextrin fixed onto cotton yarns. Celllulose 2012, 19, 1097–1105. [Google Scholar] [CrossRef]
- Romi, R.; Lo Nostro, P.; Bocci, E.; Ridi, F.; Baglioni, P. Bioengineering of a cellulosic fabric for insecticide delivery via grafted cyclodextrin. Biotechnol. Prog. 2005, 21, 1724–1730. [Google Scholar] [CrossRef] [PubMed]
- Partanen, R.; Ahro, M.; Hakala, M.; Kallio, H.; Forssell, P. Microencapsulation of caraway extract in β-cyclodextrin and modified starches. Eur. Food Res. Technol. 2002, 214, 242–247. [Google Scholar] [CrossRef]
- Piletti, R.; Bugiereck, A.M.; Pereira, A.T.; Gussati, E.; Magro, J.D.; Mello, J.M.M.; Dalcanton, F.; Ternus, R.Z.; Soares, C.; Riella, H.G.; Fiori, M.A. Microencapsulation of eugenol molecules by β-cyclodextrine as a thermal protection method of antibacterial action. Mater. Sci. Eng. C 2017, 75, 259–271. [Google Scholar] [CrossRef] [PubMed]
- Galvão, J.G.; Silva, V.F.; Ferreira, S.G.; França, F.R.M.; Santos, D.A.; Freitas, L.S.; Alves, P.B.; Araújo, A.A.S.; Cavalcanti, S.C.H.; Nunes, R.S. β-Cyclodextrin inclusion complexes containing Citrus sinensis (L.) osbeck essential oil: An alternative to control Aedes aegypti larvae. Thermochim. Acta 2015, 608, 14–19. [Google Scholar] [CrossRef]
- Alexandre, F.; Scacchetti, P.; Pinto, E.; Soares, B. Functionalization and characterization of cotton with phase change materials and thyme oil encapsulated in beta-cyclodextrins. Prog. Org. Coati. 2017, 107, 64–74. [Google Scholar] [CrossRef]
- Bhaskara-Amrit, U.R.; Agrawal, P.B.; Warmoeskerken, M.M.C.G. Applications of beta-cyclodextrins in textiles. Autex Res. J. 2011, 11, 94–101. [Google Scholar]
- Carpignano, R.; Parlati, S.; Piccinini, P.; Savarino, P.; De Giorgi, M.R.; Fochi, R. Use of β-cyclodextrin in the dyeing of polyester with low environmental impact. Color. Technol. 2010, 126, 201–208. [Google Scholar] [CrossRef]
- Vončina, B.; Vivod, V.; Jaušovec, D. β-Cyclodextrin as retarding reagent in polyacrylonitrile dyeing. Dye. Pigment. 2007, 74, 642–646. [Google Scholar] [CrossRef]
- Aguiar, J.; Costa, R.; Rocha, F.; Estevinho, B.N.; Santos, L. Design of microparticles containing natural antioxidants: Preparation, characterization and controlled release studies. Powder Technol. 2017, 313, 287–292. [Google Scholar] [CrossRef]
- Costa, P.; Lobo, J.M.S. Modelling and comparison of dissolution profiles. Eur. J. Pharm. Sci. 2001, 13, 123–133. [Google Scholar] [CrossRef]
- Jain, R.R.; Mehta, M.R.; Bannalikar, A.R.; Menon, M.D. Alginate microparticles loaded with lipopolysaccharide subunit antigen for mucosal vaccination against Klebsiella pneumoniae. Biologicals 2015, 43, 195–201. [Google Scholar] [CrossRef] [PubMed]
- Medronho, B.; Andrade, R.; Vivod, V.; Ostlund, A.; Miguel, M.G.; Lindman, B.; Voncina, B.; Valente, A.J.M. Cyclodextrin-grafted cellulose: Physico-chemical characterization. Carbohydr. Polym. 2013, 93, 324–330. [Google Scholar] [CrossRef] [PubMed]
- Oliveira, T.; Botelho, G.; Alves, N.M.; Mano, J.F. Inclusion complexes of α-cyclodextrins with poly(d,l-lactic acid): Structural, characterization, and glass transition dynamics. Colloid Polym. Sci. 2014, 292, 863–871. [Google Scholar] [CrossRef]
- Ammar, C.; el Ghoul, Y.; el Achari, A. Finishing of polypropylene fibers with cyclodextrins and polyacrylic acid as a crosslinking agent. Text. Res. J. 2015, 85, 171–179. [Google Scholar] [CrossRef]
- Dehabadi, V.A.; Buschmann, H.J.; Gutmann, J.S. A novel approach for fixation of β-cyclodextrin on cotton fabrics. J. Incl. Phenom. Macrocycl. Chem. 2014, 79, 459–464. [Google Scholar] [CrossRef]
- Santos, P.S.; Souza, L.K.M.; Araujo, T.S.L.; Medeiros, J.V.R.; Nunes, S.C.C.; Carvalho, R.A.; Pais, A.C.C.; Veiga, F.J.B.; Nunes, L.C.C.; Figueiras, A. Methyl-β-cyclodextrin inclusion complex with β-caryophyllene: Preparation, characterization, and improvement of pharmacological activitie. ACS Omega 2017, 2, 9080–9094. [Google Scholar] [CrossRef] [PubMed]
- Szejtli, J. Introduction and general overview of cyclodextrin chemistry. Chem. Rev. 1998, 98, 1743–1754. [Google Scholar] [CrossRef] [PubMed]
- Aguiar, U.N.; De Limaa, S.G.; Rochaa, M.S.; De Freitasa, R.M.; Oliveiraa, T.M.; Silvab, R.M.; Moura, L.C.B.; De Almeidab, L.T.G. Preparação e caracterização do complexo de inclusão do óleo essencial de croton zehntneri com β-ciclodextrina. Quim. Nova 2014, 37, 50–55. [Google Scholar] [CrossRef]
- Martí, M.; Rodríguez, R.; Carreras, N.; Lis, M.; Valldeperas, J.; Coderch, L.; Parra, J.L. Monitoring of the microcapsule/liposome application on textile fabrics. J. Text. Inst. 2012, 103, 19–27. [Google Scholar] [CrossRef]
- Elmogahzy, Y.; Farag, R. Tensile properties of cotton fibers: importance, research, and limitations. In The Textile Institute Book Series, 2nd ed.; Anthony R. Bynsell; Elsevier: Amsterdam, The Netherlands, 2018; pp. 223–273. [Google Scholar]
- Militký, J. 2018-Militký. Tensile failure of poyester fibers. In The Textile Institute Book Series, 2nd ed.; Anthony R. Bunsell; Elsevier: Amsterdam, The Netherlands, 2018; pp. 421–514. [Google Scholar]
- Baptista, A.C.; Borges, J.P.; Ferreira, I. Produção De Biobaterias a Partir De Membranas Obtidas Pela Técnica De Electrofiação. Ciência Tecnol. dos Mater. 2010, 22, 2–13. [Google Scholar]
- Schwanninger, M.; Rodrigues, J.C.; Pereira, H.; Hinterstoisser, B. Effects of short-time vibratory ball milling on the shape of FT-IR spectra of wood and cellulose. Vib. Spectrosc. 2004, 36, 23–40. [Google Scholar] [CrossRef]
- Popescu, V.; Ioan, E.; Grigoriu, A. Monochlorotriazinyl-β-cyclodextrin grafting onto polyester fabrics and films. Carbohydr. Polym. 2011, 86, 600–611. [Google Scholar] [CrossRef]
- Peppas, N.A.; Korsmeyer, R.W. Dynamically swelling hydrogels in controlled release application. Hydrogels Med. Pharm. 1986, 3, 109–136. [Google Scholar]
- Manadas, R.; Pina, M.E.; Veiga, F. A dissolução in vitro na previsão da absorção oral de fármacos em formas farmacêuticas de liberação modificada. Rev. Bras. Ciência do Solo 2002, 38, 375–399. [Google Scholar] [CrossRef]
- Carreras, N.; Acuña, V.; Martí, M.; Lis, M.J. Drug release system of ibuprofen in PCL-microspheres. Colloid Polym. Sci. 2013, 291, 157–165. [Google Scholar] [CrossRef]
- Dash, V.; Mishra, S.K.; Singh, M.; Goyal, A.K.; Rath, G. Release kinetic studies of aspirin microcapsules from ethyl cellulose, cellulose acetate phthalate and their mixtures by emulsion solvent evaporation method. Sci. Pharm. 2010, 78, 93–101. [Google Scholar] [CrossRef] [PubMed]
- Higuchi, T. Mechanism of sustained-action medication. Theoretical analysis of rate of release of solid drugs dispersed in solid matrices. J. Pharm. Sci. 1963, 52, 1145–1149. [Google Scholar] [CrossRef] [PubMed]
- Surathi, P.; Karbhari, V.M. Hygrothermal Effects on Durability and Moisture Kinetics of Fiber-Reinforced, 1st ed.; University of California: San Diego, CA, USA, 2006; p. 266. [Google Scholar]








| Value | Error | |
|---|---|---|
| Angular coefficient (a) | −0.0359 | 0.0267 |
| Linear coefficient (b) | 12.66 | 0.2920 |
| Adjusted R2 | 0.9998 | |
| Codes | Initial Concentration of Oil (mL mg−1) | Final Concentration Free of Citronella (mL mg−1) | Yield (%) |
|---|---|---|---|
| 1 | 0.0588 | 0.02151 | 63.43 |
| 2 | 0.0600 | 0.02149 | 64.18 |
| 3 | 0.0588 | 0.02172 | 63.75 |
| Mean Standard Deviation | 63.79 0.38 | ||
| Parameters | Cotton | Polyester |
|---|---|---|
| Mass (g) | 0.212 ± 0.005 | 0.210 ± 0.017 |
| Pickup (%) * | 122 ± 0.5 | 122 ± 0.90 |
| O.W.F. (%) ** | 11.32 ± 0.71 | 6.19 ± 0.91 |
| Surface | Cylinder | Sphere | Diffusion Mechanism |
|---|---|---|---|
| 0.50 | 0.45 | 0.43 | Fickian |
| 0.50 < n < 1.00 | 0.45 < n < 0.89 | 0.43 < n < 0.85 | Anomalous |
| 1.00 | 0.89 | 0.85 | Non-Fickian |
| Model | Parameter | Cotton | Polyester |
|---|---|---|---|
| Higuchi | R2 | 0.9540 | 0.9793 |
| KH | 0.0360 ± 0.0009 | 0.0523 ± 0.0008 | |
| Df (10−3) | 0.254 ± 0.0127 | 0.5370 ± 0.0164 | |
| Korsmeyer-Peppas | R2 | 0.9951 | 0.9811 |
| KKP | 0.0083 ± 0.0001 | 0.0640 ± 0.0072 | |
| n | 0.7414 ± 0.0202 | 0.4639 ± 0.0202 |
© 2018 by the authors. Licensee MDPI, Basel, Switzerland. This article is an open access article distributed under the terms and conditions of the Creative Commons Attribution (CC BY) license (http://creativecommons.org/licenses/by/4.0/).
Share and Cite
Lis, M.J.; García Carmona, Ó.; García Carmona, C.; Maestá Bezerra, F. Inclusion Complexes of Citronella Oil with β-Cyclodextrin for Controlled Release in Biofunctional Textiles. Polymers 2018, 10, 1324. https://doi.org/10.3390/polym10121324
Lis MJ, García Carmona Ó, García Carmona C, Maestá Bezerra F. Inclusion Complexes of Citronella Oil with β-Cyclodextrin for Controlled Release in Biofunctional Textiles. Polymers. 2018; 10(12):1324. https://doi.org/10.3390/polym10121324
Chicago/Turabian StyleLis, Manuel J., Óscar García Carmona, Carlos García Carmona, and Fabricio Maestá Bezerra. 2018. "Inclusion Complexes of Citronella Oil with β-Cyclodextrin for Controlled Release in Biofunctional Textiles" Polymers 10, no. 12: 1324. https://doi.org/10.3390/polym10121324
APA StyleLis, M. J., García Carmona, Ó., García Carmona, C., & Maestá Bezerra, F. (2018). Inclusion Complexes of Citronella Oil with β-Cyclodextrin for Controlled Release in Biofunctional Textiles. Polymers, 10(12), 1324. https://doi.org/10.3390/polym10121324

