Starch-Based Flexible Coating for Food Packaging Paper with Exceptional Hydrophobicity and Antimicrobial Activity
Abstract
1. Introduction
2. Materials and Methods
2.1. Materials and Chemicals
2.2. Fabrication of Starch-Based Composite Film and Coated Papers
2.3. Characterization
2.4. Data Analysis
3. Results and Discussion
3.1. Miscibility of ZnO NPs in the Starch Matrix
3.2. Hydrophobic Property and Solvent Resistance of the Films
3.3. Optical Properties
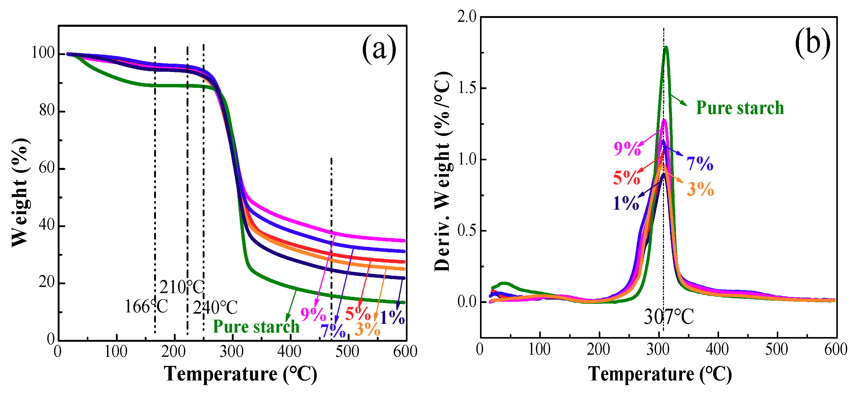
3.4. Thermal Stabilities
3.5. Surface Morphology of the Films
3.6. Hydrophobic Property of the Coated Papers
3.7. Mechanical Flexible Coating with Antimicrobial Activity for Papers
3.8. Migration of ZnO NPs into Different Food Simulants
4. Conclusions
Supplementary Materials
Author Contributions
Acknowledgments
Conflicts of Interest
References
- Ni, S.; Wang, C.; Bian, H.; Yu, Z.; Jiao, L.; Fang, G.; Dai, H. Enhancing physical performance and hydrophobicity of paper-based cellulosic material via impregnation with starch and PEI-KH560. Cellulose 2018, 2, 1365–1375. [Google Scholar] [CrossRef]
- Pan, Y.; Farmahinifarahani, M.; O’hearn, P.; Xiao, H.; Ocampo, H. An overview of bio-based polymers for packaging materials. J Bioresour. Bioprod. 2016, 3, 106–113. [Google Scholar]
- Gao, H.; Liu, N.; Ni, S.; Lin, H.; Fu, Y. Xylan/chitosan composites prepared by an ionic liquid system with unique antioxidant properties. J Bioresour. Bioprod. 2017, 3, 100–104. [Google Scholar]
- Bian, H.; Chen, L.; Gleisner, R.; Dai, H.; Zhu, J. Producing wood-based nanomaterials by rapid fractionation of wood at 80 C using a recyclable acid hydrotrope. Green Chem. 2017, 14, 3370–3379. [Google Scholar] [CrossRef]
- Fu, D.; Zhang, P.; Wang, L. Absorption performance of CO2 in high concentrated [Bmim][Lys]-MDEA aqueous solution. Energy 2016, 113. [Google Scholar] [CrossRef]
- Wu, R.L.; Wang, X.L.; Li, F.; Li, H.Z.; Wang, Y.Z. Green composite films prepared from cellulose, starch and lignin in room-temperature ionic liquid. Bioresour. Technol. 2009, 9, 2569–2674. [Google Scholar] [CrossRef] [PubMed]
- Gontard, N.; Duchez, C.; Cuq, J.L.; Guilbert, S. Edible composite films of wheat gluten and lipids: water vapour permeability and other physical properties. Int. J. Food Sci. Technol. 1994, 1, 39–50. [Google Scholar] [CrossRef]
- Kanmani, P.; Rhim, J.W. Properties and characterization of bionanocomposite films prepared with various biopolymers and ZnO nanoparticles. Carbohyd. Polym. 2014, 1, 190–199. [Google Scholar] [CrossRef] [PubMed]
- Umamaheswari, G.; Sanuja, S.; John, V.A.; Kanth, S.V.; Umapathy, M.J. Preparation, Characterization and Anti-Bacterial Activity of Zinc Oxide-Gelatin Nanocomposite Film for Food Packaging Applications. Polym. Polym. Compos. 2015, 3, 199–204. [Google Scholar] [CrossRef]
- Barani, H. Preparation of antibacterial coating based on in situ synthesis of ZnO/SiO2 hybrid nanocomposite on cotton fabric. Appl. Surf. Sci. 2014, 320, 429–434. [Google Scholar] [CrossRef]
- Perkas, N.; Amirian, G.; Girshevitz, O.; Gedanken, A. Hydrophobic coating of GaAs surfaces with nanostructured ZnO. Mater. Lett. 2016, 175, 101–105. [Google Scholar] [CrossRef]
- Feng, X.; Feng, L.; Jin, M.; Zhai, J.; Jiang, L.; Zhu, D. Reversible super-hydrophobicity to super-hydrophilicity transition of aligned ZnO nanorod films. J. Am. Chem. Soc. 2004, 1, 62–63. [Google Scholar] [CrossRef] [PubMed]
- Xu, B.; Cai, Z. Fabrication of a superhydrophobic ZnO nanorod array film on cotton fabrics via a wet chemical route and hydrophobic modification. Appl. Surf. Sci. 2008, 18, 5899–5904. [Google Scholar] [CrossRef]
- Xu, B.; Cai, Z.; Wang, W.; Ge, F. Preparation of superhydrophobic cotton fabrics based on SiO2 nanoparticles and ZnO nanorod arrays with subsequent hydrophobic modification. Surf. Coat. Technol. 2010, 9, 1556–1561. [Google Scholar] [CrossRef]
- Lee, M.; Kwak, G.; Yong, K. Wettability Control of ZnO Nanoparticles for Universal Applications. ACS Appl. Mater. Interface 2011, 9, 3350–3356. [Google Scholar] [CrossRef] [PubMed]
- Hong, T.K.; Tripathy, N.; Son, H.J.; Ha, K.T.; Jeong, H.S.; Hahn, Y.B. A comprehensive in vitro and in vivo study of ZnO nanoparticles toxicity. J. Mater. Chem. B 2013, 1, 2985–2992. [Google Scholar] [CrossRef]
- Ni, S.; Zhang, H.; Godwin, P.M.; Dai, H.; Xiao, H. ZnO nanoparticles enhanced hydrophobicity for starch film and paper. Mater. Lett. 2018, 1, 207–210. [Google Scholar] [CrossRef]
- Sharma, V.; Anderson, D.; Dhawan, A. Zinc oxide nanoparticles induce oxidative DNA damage and ROS-triggered mitochondria mediated apoptosis in human liver cells (HepG2). Apoptosis 2012, 8, 852–870. [Google Scholar] [CrossRef] [PubMed]
- Huang, C.C.; Aronstam, R.S.; Chen, D.R.; Huang, Y.W. Oxidative stress, calcium homeostasis, and altered gene expression in human lung epithelial cells exposed to ZnO nanoparticles. Toxicol. In Vitro 2010, 1, 45–55. [Google Scholar] [CrossRef] [PubMed]
- Hsiao, I.L.; Huang, Y.J. Effects of various physicochemical characteristics on the toxicities of ZnO and TiO nanoparticles toward human lung epithelial cells. Sci. Total Environ. 2011, 7, 1219–1228. [Google Scholar] [CrossRef] [PubMed]
- Sun, J.; Wang, S.; Zhao, D.; Hun, F.H.; Weng, L.; Liu, H. Cytotoxicity, permeability, and inflammation of metal oxide nanoparticles in human cardiac microvascular endothelial cells: cytotoxicity, permeability, and inflammation of metal oxide nanoparticles. Cell Biol. Toxicol. 2011, 5, 333–342. [Google Scholar] [CrossRef] [PubMed]
- Pujalté, I.; Passagne, I.; Brouillaud, B.; Tréguer, M.; Durand, E.; Ohayoncourtès, C.; L’Azou, B. Cytotoxicity and oxidative stress induced by different metallic nanoparticles on human kidney cells. Part. Fibre Toxicol. 2011, 1. [Google Scholar] [CrossRef] [PubMed]
- Heng, B.C.; Zhao, X.; Tan, E.C.; Khamis, N.; Assodani, A.; Xiong, S.; Ruedl, C.; Ng, K.W.; Loo, J.S.-C. Evaluation of the cytotoxic and inflammatory potential of differentially shaped zinc oxide nanoparticles. Arch. Toxicol. 2011, 12, 1517–1528. [Google Scholar] [CrossRef] [PubMed]
- Deng, X.; Luan, Q.; Chen, W.; Wang, Y.L.; Jiao, Z. Nanosized zinc oxide particles induce neural stem cell apoptosis. Nanotechnology 2009, 11, 115101. [Google Scholar] [CrossRef] [PubMed]
- Dong, C.; Ye, Y.; Qian, L.; Zhao, G.; He, B.; Xiao, H. Antibacterial modification of cellulose fibers by grafting β-cyclodextrin and inclusion with ciprofloxacin. Cellulose 2014, 3, 1921–1932. [Google Scholar] [CrossRef]
- Qian, L.; Guan, Y.; He, B.; Xiao, H. Modified guanidine polymers: synthesis and antimicrobial mechanism revealed by AFM. Polymer 2008, 10, 2471–2475. [Google Scholar] [CrossRef]
- Wang, X.; Lu, P.; Li, Y.; Xiao, H.; Liu, X. Antibacterial activities and mechanisms of fluorinated graphene and guanidine-modified graphene. RSC Adv. 2016, 11, 8763–8772. [Google Scholar] [CrossRef]
- Sun, S.; An, Q.; Xu, L.; Qian, L.; He, B.; Xiao, H. Synergistic effects of chitosan–guanidine complexes on enhancing antimicrobial activity and wet-strength of paper. Bioresour. Technol. 2010, 14, 5693–5700. [Google Scholar] [CrossRef] [PubMed]
- Pan, Y.; Xiao, H.; Cai, P.; Colpitts, M. Cellulose Fibers Modified with Nano-sized Antimicrobial Polymer Latex for Pathogen Deactivation. Carbohyd. Polym. 2016, 135, 94–100. [Google Scholar] [CrossRef] [PubMed]
- Li, J.; Ye, Y.; Xiao, H.; He, B.; Qian, L. Microwave Assisted Preparation of Antimicrobial Chitosan with Guanidine Oligomers and Its Application in Hygiene Paper Products. Polymers 2017, 9, 633. [Google Scholar] [CrossRef]
- Espitia, P.J.P.; Soares, N.D.F.F.; Coimbra, J.S.D.R.; Andrade, N.J.D.; Cruz, R.S.; Medeiros, E.A.A. Zinc oxide nanoparticles: synthesis, antimicrobial activity and food packaging applications. Food Bioprocess Technol. 2012, 5, 1447–1464. [Google Scholar] [CrossRef]
- Ramani, M.; Ponnusamy, S.; Muthamizhchelva, C. From zinc oxide nanoparticles to microflowers: A study of growth kinetics and biocidal activity. Mater. Sci. Eng. C 2012, 32, 2381–2389. [Google Scholar] [CrossRef]
- Brayner, R.; Ferrari-Iliou, R.; Brivois, N.; Djediat, S.; Benedetti, M.F.; Fiévet, F. Toxicological impact studies based on Escherichia coli bacteria in ultrafine ZnO nanoparticles colloidal medium. Nano Lett. 2006, 6, 866–870. [Google Scholar] [CrossRef] [PubMed]
- Li, M.; Zhu, L.; Lin, D. Toxicity of ZnO nanoparticles to Escherichia coli: mechanism and the influence of medium components. Environ. Sci. Technol. 2011, 45, 1977–1983. [Google Scholar] [CrossRef] [PubMed]
- Qian, L.; Xiao, H.; Zhao, G.; He, B. Synthesis of modified guanidine-based polymers and their antimicrobial activities revealed by afm and clsm. ACS Appl. Mater. Interfaces. 2011, 6, 1895–1901. [Google Scholar] [CrossRef] [PubMed]
- Wang, H.; Wei, D.; Ziaee, Z.; Xiao, H.; Zheng, A.; Zhao, Y. Preparation and Properties of Nonleaching Antimicrobial Linear Low-Density Polyethylene Films. Ind. Eng. Chem. Res. 2015, 6, 1824–1831. [Google Scholar] [CrossRef]
- Pan, Y.; Xue, Y.; Snow, J.; Xiao, H. Tailor-Made Antimicrobial/Antiviral Star Polymer via ATRP of Cyclodextrin and Guanidine-Based Macromonomer. Macromol. Chem. Phys. 2015, 5, 511–518. [Google Scholar] [CrossRef]
- Smith, A.E.; Helenius, A. How viruses enter animal cells. Science 2004, 5668, 237–242. [Google Scholar] [CrossRef] [PubMed]
- Xue, Y.; Xiao, H. Antibacterial/Antiviral Property and Mechanism of Dual-Functional Quaternized Pyridinium-type Copolymer. Polymers 2015, 7, 2290–2303. [Google Scholar] [CrossRef]
- Asri, L.; Crismaru, M.; Roest, S.; Chen, Y.; Ivashenko, O.; Rudolf, P.; Tiller, J.C.; Mei, H.C.V.D.; Loontjens, T.J.A.; Busscher, H.J. A Shape-Adaptive, Antibacterial-Coating of Immobilized Quaternary-Ammonium Compounds Tethered on Hyperbranched Polyurea and its Mechanism of Action. Adv. Funct. Mater. 2014, 3, 346–355. [Google Scholar] [CrossRef]
- Khan, A.; Li, Y.; Xiao, H.; Zou, X. Rendering Packaging Paper Antimicrobial With Functional-Modified Starch: Pilot Paper Machine Trial At Fpinnovations. J-FOR 2015, 6, 11–16. [Google Scholar]
- Dai, L.; Long, Z.; Chen, J.; An, X.; Cheng, D.; Khan, A.; Ni, Y. Robust guar gum/cellulose nanofibrils multilayer films with good barrier properties. ACS Appl. Mater. Interface 2017, 6, 5477–5485. [Google Scholar] [CrossRef] [PubMed]
- Panea, B.; Ripoll, G.; González, J.; Fernándezcuello, Á.; Albertí, P. Effect of nanocomposite packaging containing different proportions of zno and ag on chicken breast meat quality. J. Food Eng. 2014, 2, 104–112. [Google Scholar] [CrossRef]
- Ma, X.; Chang, P.; Yang, J.; Yu, J. Preparation and properties of glycerol plasticized-pea starch/zinc oxide-starch bionanocomposites. Carbohyd. Polym. 2009, 3, 472–478. [Google Scholar] [CrossRef]
- Anitha, S.; Brabu, B.; John, T.D.; Gopalakrishnan, C.; Natarajan, T.S. Optical, bactericidal and water repellent properties of electrospun nano-composite membranes of cellulose acetate and ZnO. Carbohyd. Polym. 2013, 2, 856–863. [Google Scholar] [CrossRef]
- Oun, A.A.; Rhim, J.W. Carrageenan-based hydrogels and films: Effect of ZnO and CuO nanoparticles on the physical, mechanical, and antimicrobial properties. Food Hydrocolloids 2017, 67, 45–53. [Google Scholar] [CrossRef]
- Jebel, F.S.; Almasi, H. Morphological, physical, antimicrobial and release properties of ZnO nanoparticles-loaded bacterial cellulose films. Carbohyd. Polym. 2016, 149, 8–19. [Google Scholar] [CrossRef] [PubMed]
- Shi, Y.L.; Feng, X.J.; Yang, W.; Wang, F.; Han, Y.Q. Preparation of super-hydropbobic titanium oxide film by sol–gel on substrate of common filter paper. J. Sol-Gel Sci. Techn. 2011, 1, 43–47. [Google Scholar] [CrossRef]
- Dai, L.; Wang, B.; Long, Z.; Chen, L.; Zhang, D.; Guo, S. Properties of hydroxypropyl guar/TEMPO-oxidized cellulose nanofibrils composite films. Cellulose 2015, 5, 3117–3126. [Google Scholar] [CrossRef]
- Upadhyaya, L.; Singh, J.; Agarwal, V.; Pandey, A.C.; Verma, S.P.; Das, P.; Tewari, R.P. In situ grafted nanostructured ZnO/carboxymethyl cellulose nanocomposites for efficient delivery of curcumin to cancer. J. Polym. Res. 2014, 9, 550–559. [Google Scholar] [CrossRef]
- Ho, T.T.T.; Zimmermann, T.; Ohr, S.; Caseri, W.R. Composites of Cationic Nanofibrillated Cellulose and Layered Silicates: Water Vapor Barrier and Mechanical Properties. Appl. Mater. Interfaces 2012, 9, 4832–4840. [Google Scholar] [CrossRef] [PubMed]
- Zhu, P.; Kuang, Y.; Chen, G.; Liu, Y.; Peng, C.; Hu, W.; Zhou, P.; Fang, Z. Starch/polyvinyl alcohol (PVA)-coated painting paper with exceptional organic solvent barrier properties for art preservation purposes. J. Mater. Sci. 2018, 7, 5450–5457. [Google Scholar] [CrossRef]
- Wei, D.; Li, Z.; Wang, H.; Liu, J.; Xiao, H.; Zheng, A.; Guan, Y. Antimicrobial paper obtained by dip-coating with modified guanidine-based particle aqueous dispersion. Cellulose 2017, 9, 3901–3910. [Google Scholar] [CrossRef]










© 2018 by the authors. Licensee MDPI, Basel, Switzerland. This article is an open access article distributed under the terms and conditions of the Creative Commons Attribution (CC BY) license (http://creativecommons.org/licenses/by/4.0/).
Share and Cite
Ni, S.; Zhang, H.; Dai, H.; Xiao, H. Starch-Based Flexible Coating for Food Packaging Paper with Exceptional Hydrophobicity and Antimicrobial Activity. Polymers 2018, 10, 1260. https://doi.org/10.3390/polym10111260
Ni S, Zhang H, Dai H, Xiao H. Starch-Based Flexible Coating for Food Packaging Paper with Exceptional Hydrophobicity and Antimicrobial Activity. Polymers. 2018; 10(11):1260. https://doi.org/10.3390/polym10111260
Chicago/Turabian StyleNi, Shuzhen, Hui Zhang, Hongqi Dai, and Huining Xiao. 2018. "Starch-Based Flexible Coating for Food Packaging Paper with Exceptional Hydrophobicity and Antimicrobial Activity" Polymers 10, no. 11: 1260. https://doi.org/10.3390/polym10111260
APA StyleNi, S., Zhang, H., Dai, H., & Xiao, H. (2018). Starch-Based Flexible Coating for Food Packaging Paper with Exceptional Hydrophobicity and Antimicrobial Activity. Polymers, 10(11), 1260. https://doi.org/10.3390/polym10111260
