Reinforcement of Castor Oil-Based Polyurethane with Surface Modification of Attapulgite
Abstract
1. Introduction
2. Materials and Methods
2.1. Materials
2.2. Synthesis of Acid-ATT and KH560-ATT
2.3. Synthesis of Castor Oil-Based PU Nanocomposites
2.4. Characterization
3. Results
3.1. X-ray Diffraction (XRD) Analysis
3.2. Dynamic Mechanical Properties
3.3. Mechanical Properties
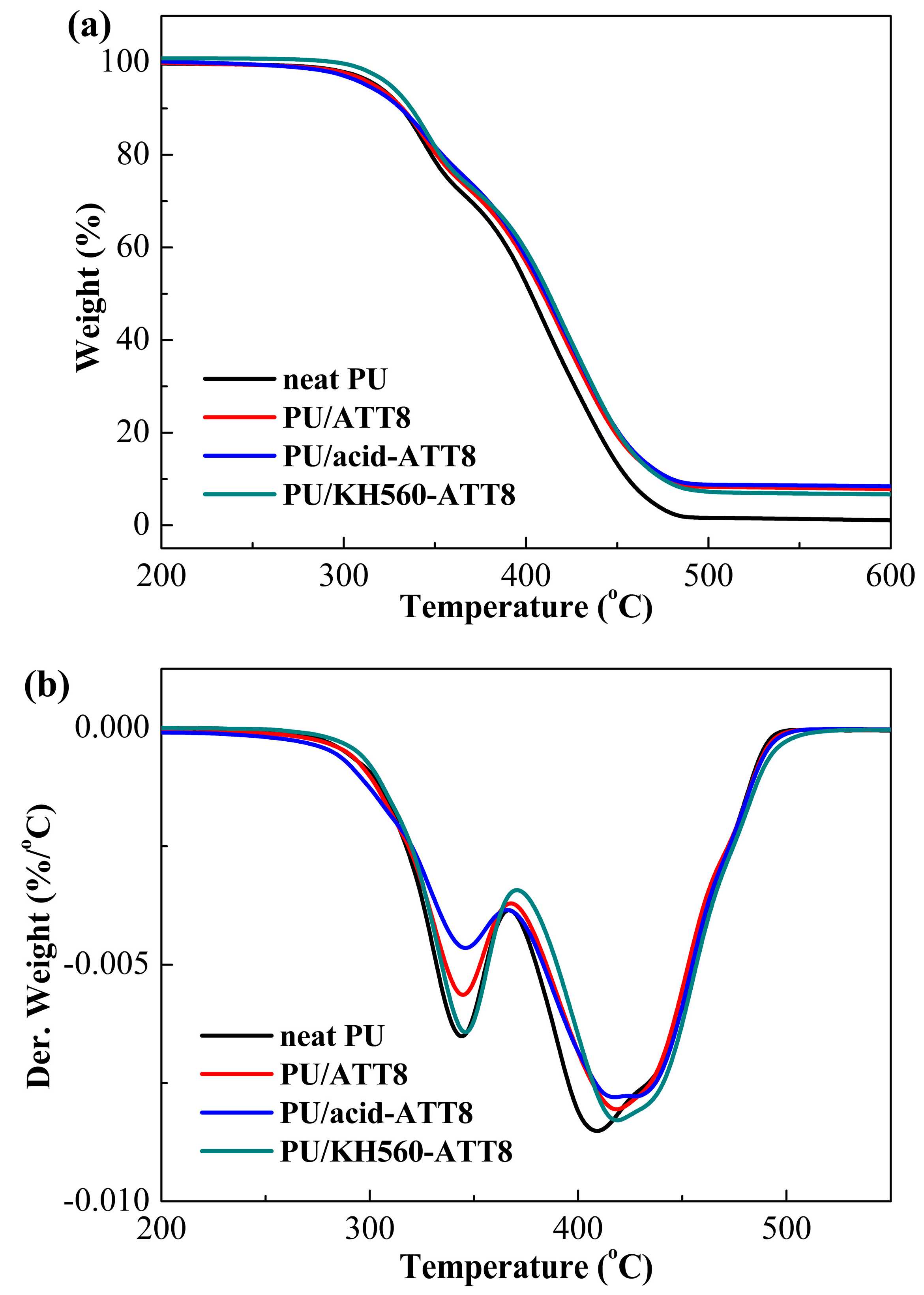
3.4. Thermal Stability
3.5. Morphology
4. Conclusions
Author Contributions
Funding
Conflicts of Interest
References
- Zhu, Y.; Romain, C.; Williams, C.K. Sustainable polymers from renewable resources. Nature 2016, 540, 354–362. [Google Scholar] [CrossRef] [PubMed]
- Lligadas, G.; Ronda, J.C.; Galia, M.; Cadiz, V. Plant oils as platform chemicals for polyurethane synthesis: Current state-of-the-art. Biomacromolecules 2010, 11, 2825–2835. [Google Scholar] [CrossRef] [PubMed]
- Pfister, D.P.; Xia, Y.; Larock, R.C. Recent advances in vegetable oil-based polyurethanes. ChemSusChem 2011, 4, 703–717. [Google Scholar] [CrossRef] [PubMed]
- Desroches, M.; Escouvois, M.; Auvergne, R.; Caillol, S.; Boutevin, B. From vegetable oils to polyurethanes: Synthetic routes to polyols and main industrial products. Polym. Rev. 2012, 52, 38–79. [Google Scholar] [CrossRef]
- Lligadas, G.; Ronda, J.C.; Galià, M.; Cádiz, V. Oleic and undecylenic acids as renewable feedstocks in the synthesis of polyols and polyurethanes. Polymers 2010, 2, 440–453. [Google Scholar] [CrossRef]
- Wang, R.; Zhang, J.; Kang, H.; Zhang, L. Design, preparation and properties of bio-based elastomer composites aiming at engineering applications. Compos. Sci. Technol. 2016, 133, 136–156. [Google Scholar] [CrossRef]
- Poussard, L.; Mariage, J.; Grignard, B.; Detrembleur, C.; Jerome, C.; Calberg, C.; Heinrichs, B.; De Winter, J.; Gerbaux, P.; Raquez, J.M.; et al. Non-isocyanate polyurethanes from carbonated soybean oil using monomeric or oligomeric diamines to achieve thermosets or thermoplastics. Macromolecules 2016, 49, 2162–2171. [Google Scholar] [CrossRef]
- Galia, M.; Montero de Espinosa, L.; Carles Ronda, J.; Lligadas, G.; Cadiz, V. Vegetable oil-based thermosetting polymers. Eur. J. Lipid Sci. Technol. 2010, 112, 87–96. [Google Scholar] [CrossRef]
- Llevot, A. Sustainable synthetic approaches for the preparation of plant oil-based thermosets. J. Am. Oil Chem. Soc. 2017, 94, 169–186. [Google Scholar] [CrossRef]
- Ahn, B.K.; Kraft, S.; Wang, D.; Sun, X.S. Thermally stable, transparent, pressure-sensitive adhesives from epoxidized and dihydroxyl soybean oil. Biomacromolecules 2011, 12, 1839–1843. [Google Scholar] [CrossRef] [PubMed]
- Wang, X.-L.; Chen, L.; Wu, J.-N.; Fu, T.; Wang, Y.-Z. Flame-retardant pressure-sensitive adhesives derived from epoxidized soybean oil and phosphorus-containing dicarboxylic acids. ACS Sustain. Chem. Eng. 2017, 5, 3353–3361. [Google Scholar] [CrossRef]
- Tenorio-Alfonso, A.; Sánchez, M.C.; Franco, J.M. Preparation, characterization and mechanical properties of bio-based polyurethane adhesives from isocyanate-functionalized cellulose acetate and castor oil for bonding wood. Polymers 2017, 9, 132. [Google Scholar] [CrossRef]
- Sharmin, E.; Zafar, F.; Akram, D.; Alam, M.; Ahmad, S. Recent advances in vegetable oils based environment friendly coatings: A review. Ind. Crop. Prod. 2015, 76, 215–229. [Google Scholar] [CrossRef]
- Noreen, A.; Zia, K.M.; Zuber, M.; Tabasum, S.; Zahoor, A.F. Bio-based polyurethane: An efficient and environment friendly coating systems: A review. Prog. Org. Coat. 2016, 91, 25–32. [Google Scholar] [CrossRef]
- Gaddam, S.K.; Palanisamy, A. Anionic waterborne polyurethane-imide dispersions from cottonseed oil based ionic polyol. Ind. Crop. Prod. 2017, 96, 132–139. [Google Scholar] [CrossRef]
- Ionescu, M.; Radojčić, D.; Wan, X.; Shrestha, M.L.; Petrović, Z.S.; Upshaw, T.A. Highly functional polyols from castor oil for rigid polyurethanes. Eur. Polym. J. 2016, 84, 736–749. [Google Scholar] [CrossRef]
- Agrawal, A.; Kaur, R.; Walia, R.S. PU foam derived from renewable sources: Perspective on properties enhancement: An overview. Eur. Polym. J. 2017, 95, 255–274. [Google Scholar] [CrossRef]
- Das, B.; Chattopadhyay, P.; Mandal, M.; Voit, B.; Karak, N. Bio-based biodegradable and biocompatible hyperbranched polyurethane: A scaffold for tissue engineering. Macromol. Biosci. 2013, 13, 126–139. [Google Scholar] [CrossRef] [PubMed]
- Lligadas, G.; Ronda, J.C.; Galia, M.; Cadiz, V. Renewable polymeric materials from vegetable oils: A perspective. Mater. Today 2013, 16, 337–343. [Google Scholar] [CrossRef]
- Mosiewicki, M.A.; Aranguren, M.I. A short review on novel biocomposites based on plant oil precursors. Eur. Polym. J. 2013, 49, 1243–1256. [Google Scholar] [CrossRef]
- Zhang, C.; Garrison, T.F.; Madbouly, S.A.; Kessler, M.R. Recent advances in vegetable oil-based polymers and their composites. Prog. Polym. Sci. 2017, 71, 91–143. [Google Scholar] [CrossRef]
- Mosiewicki, M.A.; Aranguren, M.I. Recent developments in plant oil based functional materials. Polym. Int. 2016, 65, 28–38. [Google Scholar] [CrossRef]
- Garrison, T.; Murawski, A.; Quirino, R. Bio-based polymers with potential for biodegradability. Polymers 2016, 8, 262. [Google Scholar] [CrossRef]
- Shirke, A.; Dholakiya, B.; Kuperkar, K. Novel applications of castor oil based polyurethanes: A short review. Polym. Sci. Ser. B 2015, 57, 292–297. [Google Scholar] [CrossRef]
- Petrovic, Z.S. Polyurethanes from vegetable oils. Polym. Rev. 2008, 48, 109–155. [Google Scholar] [CrossRef]
- Chen, J.-H.; Hu, D.-D.; Li, Y.-D.; Meng, F.; Zhu, J.; Zeng, J.-B. Castor oil derived poly(urethane urea) networks with reprocessibility and enhanced mechanical properties. Polymer 2018, 143, 79–86. [Google Scholar] [CrossRef]
- Kaushik, A.; Ahuja, D.; Salwani, V. Synthesis and characterization of organically modified clay/castor oil based chain extended polyurethane nanocomposites. Compos. Part A Appl. Sci. Manuf. 2011, 42, 1534–1541. [Google Scholar] [CrossRef]
- Liao, L.; Li, X.; Wang, Y.; Fu, H.; Li, Y. Effects of surface structure and morphology of nanoclays on the properties of jatropha curcas oil-based waterborne polyurethane/clay nanocomposites. Ind. Eng. Chem. Res. 2016, 55, 11689–11699. [Google Scholar] [CrossRef]
- Yi, D.; Yang, H.; Zhao, M.; Huang, L.; Camino, G.; Frache, A.; Yang, R. A novel, low surface charge density, anionically modified montmorillonite for polymer nanocomposites. RSC Adv. 2017, 7, 5980–5988. [Google Scholar] [CrossRef]
- Wang, C.; Wang, Y.; Liu, W.; Yin, H.; Yuan, Z.; Wang, Q.; Xie, H.; Cheng, R. Natural fibrous nanoclay reinforced soy polyol-based polyurethane. Mater. Lett. 2012, 78, 85–87. [Google Scholar] [CrossRef]
- Wang, C.; Ding, L.; Wu, Q.; Liu, F.; Wei, J.; Lu, R.; Xie, H.; Cheng, R. Soy polyol-based polyurethane modified by raw and silylated palygorskite. Ind. Crop. Prod. 2014, 57, 29–34. [Google Scholar] [CrossRef]
- Zhang, C.; Vennerberg, D.; Kessler, M.R. In situ synthesis of biopolyurethane nanocomposites reinforced with modified multiwalled carbon nanotubes. J. Appl. Polym. Sci. 2015, 132, 42515. [Google Scholar] [CrossRef]
- Thakur, S.; Karak, N. Ultratough, ductile, castor oil-based, hyperbranched, polyurethane nanocomposite using functionalized reduced graphene oxide. ACS Sustain. Chem. Eng. 2014, 2, 1195–1202. [Google Scholar] [CrossRef]
- Wang, C.; Zhang, Y.; Lin, L.; Ding, L.; Li, J.; Lu, R.; He, M.; Xie, H.; Cheng, R. Thermal, mechanical, and morphological properties of functionalized graphene-reinforced bio-based polyurethane nanocomposites. Eur. J. Lipid Sci. Technol. 2015, 117, 1940–1946. [Google Scholar] [CrossRef]
- Park, S.H.; Oh, K.W.; Kim, S.H. Reinforcement effect of cellulose nanowhisker on bio-based polyurethane. Compos. Sci. Technol. 2013, 86, 82–88. [Google Scholar] [CrossRef]
- Gao, Z.; Peng, J.; Zhong, T.; Sun, J.; Wang, X.; Yue, C. Biocompatible elastomer of waterborne polyurethane based on castor oil and polyethylene glycol with cellulose nanocrystals. Carbohydr. Polym. 2012, 87, 2068–2075. [Google Scholar] [CrossRef]
- Saralegi, A.; Luz Gonzalez, M.; Valea, A.; Eceiza, A.; Angeles Corcuera, M. The role of cellulose nanocrystals in the improvement of the shape-memory properties of castor oil-based segmented thermoplastic polyurethanes. Compos. Sci. Technol. 2014, 92, 27–33. [Google Scholar] [CrossRef]
- Buffa, J.M.; Mondragon, G.; Angeles Corcuera, M.; Eceiza, A.; Mucci, V.; Aranguren, M.I. Physical and mechanical properties of a vegetable oil based nanocomposite. Eur. Polym. J. 2018, 98, 116–124. [Google Scholar] [CrossRef]
- Sabzi, M.; Mirabedini, S.M.; Zohuriaan-Mehr, J.; Atai, M. Surface modification of TiO2 nano-particles with silane coupling agent and investigation of its effect on the properties of polyurethane composite coating. Prog. Org. Coat. 2009, 65, 222–228. [Google Scholar] [CrossRef]
- Zhang, L.; Zhang, H.; Guo, J. Synthesis and properties of UV-curable polyester-based waterborne polyurethane/functionalized silica composites and morphology of their nanostructured films. Ind. Eng. Chem. Res. 2012, 51, 8434–8441. [Google Scholar] [CrossRef]
- Gurunathan, T.; Chung, J.S. Physicochemical properties of amino-silane-terminated vegetable oil-based waterborne polyurethane nanocomposites. ACS Sustain. Chem. Eng. 2016, 4, 4645–4653. [Google Scholar] [CrossRef]
- Fu, H.; Wang, Y.; Li, X.; Chen, W. Synthesis of vegetable oil-based waterborne polyurethane/silver-halloysite antibacterial nanocomposites. Compos. Sci. Technol. 2016, 126, 86–93. [Google Scholar] [CrossRef]
- Das, S.; Pandey, P.; Mohanty, S.; Nayak, S.K. Evaluation of biodegradability of green polyurethane/nanosilica composite synthesized from transesterified castor oil and palm oil based isocyanate. Int. Biodeter. Biodegr. 2017, 117, 278–288. [Google Scholar] [CrossRef]
- Wang, C.; Xu, F.; He, M.; Ding, L.; Li, S.; Wei, J. Castor oil-based polyurethane/silica nanocomposites: Morphology, thermal and mechanical properties. Polym. Compos. 2018, 39, E1800–E1806. [Google Scholar] [CrossRef]
- Li, S.; Cui, C.; Hou, H.; Wu, Q.; Zhang, S. The effect of hyperbranched polyester and zirconium slag nanocomposites on the impact resistance of eopxy resin thermosets. Compos. Part B Eng. 2015, 79, 342–350. [Google Scholar] [CrossRef]
- Wang, C.; Shi, J.; He, M.; Ding, L.; Li, S.; Wang, Z.; Wei, J. High strength cellulose/ATT composite films with good oxygen barrier property for sustainable packaging applications. Cellulose 2018, 25, 4145–4154. [Google Scholar] [CrossRef]
- Peng, L.; Zhou, L.; Li, Y.; Pan, F.; Zhang, S. Synthesis and properties of waterborne polyurethane/attapulgite nanocomposites. Compos. Sci. Technol. 2011, 71, 1280–1285. [Google Scholar] [CrossRef]
- Wang, W.; Wang, A. Recent progress in dispersion of palygorskite crystal bundles for nanocomposites. Appl. Clay Sci. 2016, 119, 18–30. [Google Scholar] [CrossRef]
- Xu, Y.; Chen, D. Self-healing polyurethane/attapulgite nanocomposites based on disulfide bonds and shape memory effect. Mater. Chem. Phys. 2017, 195, 40–48. [Google Scholar] [CrossRef]
- Wang, C.; Wu, Q.; Liu, F.; An, J.; Lu, R.; Xie, H.; Cheng, R. Synthesis and characterization of soy polyol-based polyurethane nanocomposites reinforced with silylated palygorskite. Appl. Clay Sci. 2014, 101, 246–252. [Google Scholar] [CrossRef]
- Xie, H.; Liu, B.; Yang, H.; Wang, Z.; Shen, J.; Cheng, R. Thermal characterization of carbon-nanofiber-reinforced tetraglycidyl-4,4’-diaminodiphenylmethane/4,4’-diaminodiphenylsulfone epoxy composites. J. Appl. Polym. Sci. 2006, 100, 295–298. [Google Scholar] [CrossRef]
- Ma, S.; Jiang, Y.; Liu, X.; Fan, L.; Zhu, J. Bio-based tetrafunctional crosslink agent from gallic acid and its enhanced soybean oil-based UV-cured coatings with high performance. RSC Adv. 2014, 4, 23036. [Google Scholar] [CrossRef]
- Javni, I.; Petrović, Z.S.; Guo, A.; Fuller, R. Thermal stability of polyurethanes based on vegetable oils. J. Appl. Polym. Sci. 2000, 77, 1723–1734. [Google Scholar] [CrossRef]
- Corcuera, M.A.; Rueda, L.; Fernandez d’Arlas, B.; Arbelaiz, A.; Marieta, C.; Mondragon, I.; Eceiza, A. Microstructure and properties of polyurethanes derived from castor oil. Polym. Degrad. Stab. 2010, 95, 2175–2184. [Google Scholar] [CrossRef]





| Sample | E′25a (MPa) | E′50b (MPa) | Tgc (°C) | νed (mol/m3) |
|---|---|---|---|---|
| neat PU | 2.64 | 2.17 | 5.5 | 269.2 |
| PU/ATT8 | 4.50 | 3.67 | 6.5 | 455.3 |
| PU/acid-ATT8 | 4.68 | 3.05 | 11.1 | 378.4 |
| PU/KH560-ATT8 | 5.38 | 4.14 | 10.6 | 513.6 |
| Sample | Tensile Strength at Break (MPa) | Elongation at Break (%) | Young’s Modulus (MPa) |
|---|---|---|---|
| neat PU | 2.0 ± 0.3 | 164.4 ± 17.5 | 1.9 ± 0.4 |
| PU/ATT8 | 2.6 ± 0.1 | 110.7 ± 5.5 | 3.9 ± 0.2 |
| PU/acid-ATT8 | 5.4 ± 0.5 | 179.1 ± 17.0 | 4.5 ± 0.1 |
| PU/KH560-ATT8 | 7.1 ± 0.8 | 167.9 ± 22.3 | 5.7 ± 0.4 |
| Sample | IDT a (°C) | T10%b (°C) | T50%c (°C) | T1maxd (°C) | T2maxe (°C) | wcharf (%) |
|---|---|---|---|---|---|---|
| neat PU | 318.0 | 331.9 | 402.7 | 344.1 | 409.0 | 1.1 |
| PU/ATT8 | 316.7 | 332.3 | 409.3 | 344.8 | 418.6 | 7.8 |
| PU/acid-ATT8 | 312.9 | 331.4 | 410.9 | 346.1 | 418.2 | 8.4 |
| PU/KH560-ATT8 | 325.7 | 337.1 | 412.5 | 345.8 | 418.9 | 6.7 |
© 2018 by the authors. Licensee MDPI, Basel, Switzerland. This article is an open access article distributed under the terms and conditions of the Creative Commons Attribution (CC BY) license (http://creativecommons.org/licenses/by/4.0/).
Share and Cite
Wang, C.; Dai, L.; Yang, Z.; Ge, C.; Li, S.; He, M.; Ding, L.; Xie, H. Reinforcement of Castor Oil-Based Polyurethane with Surface Modification of Attapulgite. Polymers 2018, 10, 1236. https://doi.org/10.3390/polym10111236
Wang C, Dai L, Yang Z, Ge C, Li S, He M, Ding L, Xie H. Reinforcement of Castor Oil-Based Polyurethane with Surface Modification of Attapulgite. Polymers. 2018; 10(11):1236. https://doi.org/10.3390/polym10111236
Chicago/Turabian StyleWang, Chengshuang, Lili Dai, Zhengrui Yang, Chengcheng Ge, Shuiping Li, Meng He, Liang Ding, and Hongfeng Xie. 2018. "Reinforcement of Castor Oil-Based Polyurethane with Surface Modification of Attapulgite" Polymers 10, no. 11: 1236. https://doi.org/10.3390/polym10111236
APA StyleWang, C., Dai, L., Yang, Z., Ge, C., Li, S., He, M., Ding, L., & Xie, H. (2018). Reinforcement of Castor Oil-Based Polyurethane with Surface Modification of Attapulgite. Polymers, 10(11), 1236. https://doi.org/10.3390/polym10111236

