π-Stacked Polymer Consisting of a Pseudo–meta–[2.2]Paracyclophane Skeleton
Abstract
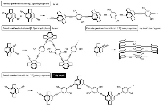
1. Introduction
2. Materials and Methods
2.1. Materials
2.2. Methods
2.3. Synthetic Procedures
2.3.1. Synthesis of m-2
2.3.2. Synthesis of m-3
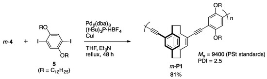
2.3.3. Synthesis of m-4
2.3.4. Synthesis of m-P1
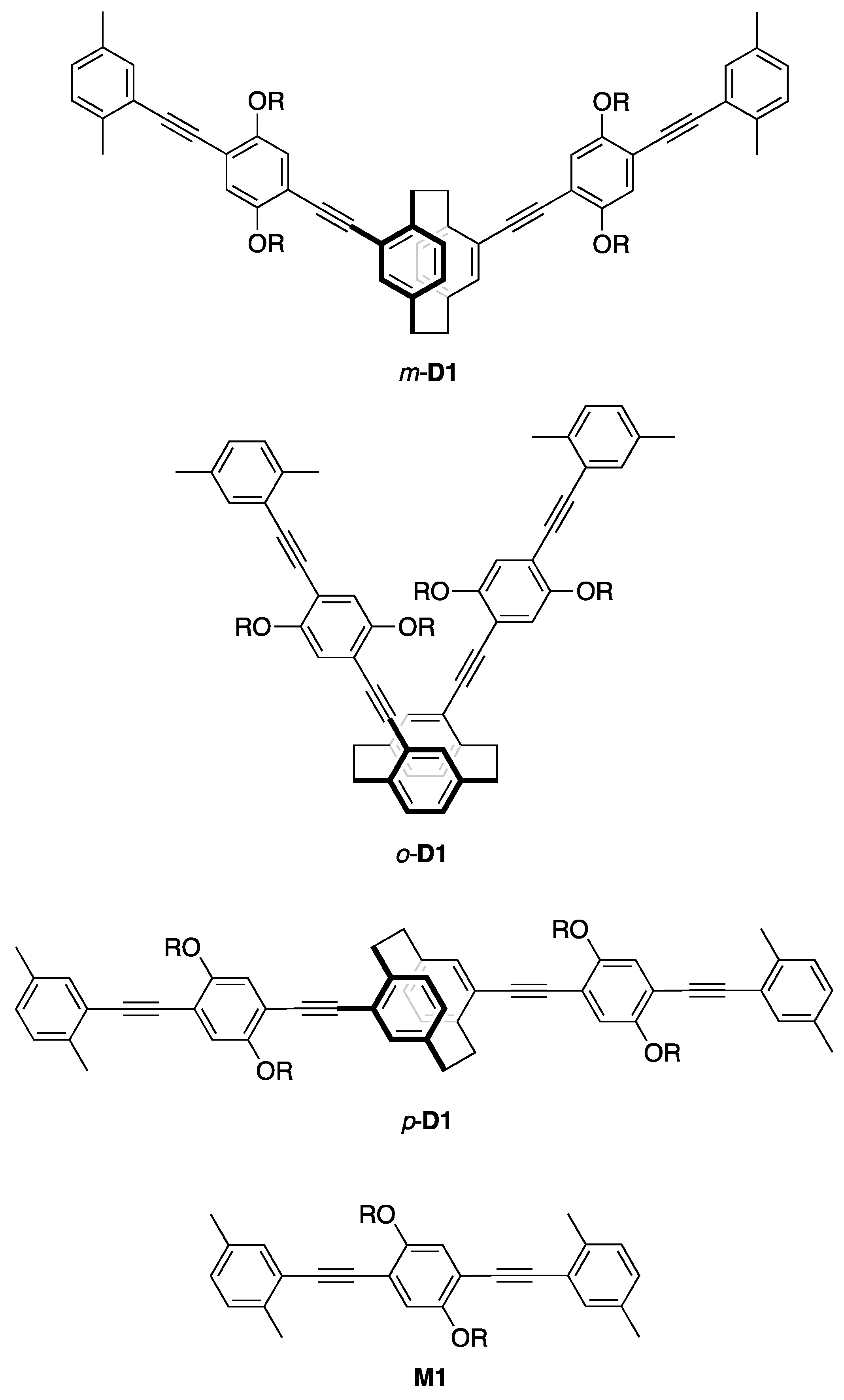
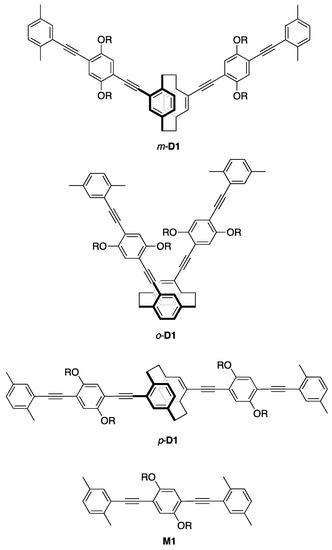
2.3.5. Synthesis of m-D1
3. Results and Discussions
4. Conclusions
Supplementary Materials
Funding
Acknowledgments
Conflicts of Interest
References
- Vögtle, F. Cyclophane Chemistry: Synthesis, Structures and Reactions; John Wiley & Sons: Chichester, UK, 1993; ISBN 978-0471931997. [Google Scholar]
 - Gleiter, R.; Hopf, H. (Eds.) Modern Cyclophane Chemistry; Wiley-VCH: Weinheim, Germany, 2004; ISBN 978-3527307135. [Google Scholar]
 - Brown, C.J.; Farthing, A.C. Preparation and Structure of Di-p-Xylylene. Nature 1949, 164, 915–916. [Google Scholar] [CrossRef]
 - Cram, D.J.; Steinberg, H. Macro Rings. I. Preparation and Spectra of the Paracyclophanes. J. Am. Chem. Soc. 1951, 73, 5691–5704. [Google Scholar] [CrossRef]
 - Morisaki, Y.; Chujo, Y. Synthesis of Novel π-Conjugated Polymers Having [2.2]Paracyclophane Skeleton in the Main Chain. Extension of π-Conjugated Length via the Through-Space. Macromolecules 2002, 35, 587–589. [Google Scholar] [CrossRef]
 - Morisaki, Y.; Chujo, Y. Through-Space Conjugated Polymers Based on Cyclophanes. Angew. Chem. Int. Ed. 2006, 45, 6430–6437. [Google Scholar] [CrossRef] [PubMed]
 - Morisaki, Y.; Wada, N.; Arita, M.; Chujo, Y. Synthesis of Through-space Conjugated Polymers Containing the Pseudo-ortho-Linked [2.2]Paracyclophane Moiety. Polym. Bull. 2009, 62, 305–314. [Google Scholar] [CrossRef][Green Version]
 - Morisaki, Y.; Chujo, Y. Through-Space Conjugated Polymers Consisting of [2.2]Paracyclophane. Polym. Chem. 2011, 2, 1249–1257. [Google Scholar] [CrossRef]
 - Morisaki, Y.; Chujo, Y. π-Electron-system-layered Polymers Based on [2.2]Paracyclophane. Chem. Lett. 2012, 41, 840–846. [Google Scholar] [CrossRef]
 - Morisaki, Y.; Ueno, S.; Saeki, A.; Asano, A.; Seki, S.; Chujo, Y. π-Electron-system-layered Polymer: Through-space Conjugation and Properties as a Single Molecular Wire. Chem. Eur. J. 2012, 18, 4216–4224. [Google Scholar] [CrossRef] [PubMed]
 - Morisaki, Y.; Hifumi, R.; Lin, L.; Inoshita, K.; Chujo, Y. Practical Optical Resolution of Planar Chiral Pseudo-ortho-disubstituted [2.2]Paracyclophane. Chem. Lett. 2012, 41, 990–992. [Google Scholar] [CrossRef]
 - Morisaki, Y.; Hifumi, R.; Lin, L.; Inoshita, K.; Chujo, Y. Through-space Conjugated Polymers Consisting of Planar Chiral Pseudo-ortho-linked [2.2]Paracyclophane. Polym. Chem. 2012, 3, 2727–2730. [Google Scholar] [CrossRef]
 - Morisaki, Y.; Inoshita, K.; Chujo, Y. Planar Chiral Through-space Conjugated Oligomers: Synthesis and Characterization of Chiroptical Properties. Chem. Eur. J. 2014, 20, 8386–8390. [Google Scholar] [CrossRef] [PubMed]
 - Jagtap, S.P.; Collard, D.M. Multitiered 2D π-Stacked Conjugated Polymers Based on Pseudo-Geminal Disubstituted [2.2]Paracyclophane. J. Am. Chem. Soc. 2010, 132, 12208–12209. [Google Scholar] [CrossRef] [PubMed]
 - Yu, C.-Y.; Hsu, C.-C. Synthesis, Characterization and Aggregation-Induced Emission of Alternating Copolymers Containing Cyclophanes and Tetraphenylethenes. Polymer 2018, 137, 30–37. [Google Scholar] [CrossRef]
 - Reich, H.J.; Cram, D.J. Macro rings. XXXVII. Multiple Electrophilic Substitution Reactions of [2.2]Paracyclophanes and Interconversions of Polysubstituted Derivatives. J. Am. Chem. Soc. 1969, 91, 3527–3533. [Google Scholar] [CrossRef]
 - Bondarenko, L.; Dix, I.; Hinrichs, H.; Hopf, H. Cyclophanes. Part LII: Ethynyl[2.2]paracyclophanes—New Building Blocks for Molecular Scaffolding. Synthesis 2004, 2751–2759. [Google Scholar]
 - Tanaka, Y.; Ozawa, T.; Inagaki, A.; Akita, M. Redox-active Polyiron Complexes with Tetra(ethynylphenyl)ethene and [2,2]Paracyclophane Spacers Containing Ethynylphenyl Units: Extension to Higher Dimensional Molecular Wire. Dalton Trans. 2007, 928–933. [Google Scholar] [CrossRef] [PubMed]
 - Li, H.; Powell, D.R.; Hayashi, R.K.; West, R. Poly((2,5-dialkoxy-p-phenylene)ethynylene-p-phenyleneethynylene)s and Their Model Compounds. Macromolecules 1998, 31, 52–58. [Google Scholar] [CrossRef]
 - Moroni, M.; Moigne, J.L. Rigid Rod Conjugated Polymers for Nonlinear Optics. 1. Characterization and Linear Optical Properties of Poly(aryleneethynylene) Derivatives. Macromolecules 1994, 27, 562–571. [Google Scholar] [CrossRef]
 - Tohda, Y.; Sonogashira, K.; Hagihara, N. A Convenient Synthesis of Acetylenes: Catalytic Substitutions of Acetylenic Hydrogen with Bromoalkenes, Iodoarenes and Bromopyridines. Tetrahedron Lett. 1975, 16, 4467–4470. [Google Scholar]
 - Meyer-Eppler, G.; Sure, R.; Schneider, A.; Schnakenburg, G.; Grimme, S.; Lützen, A. Synthesis, Chiral Resolution, and Absolute Configuration of Dissymmetric 4,15-Difunctionalized [2.2]Paracyclophanes. J. Org. Chem. 2014, 79, 6679–6687. [Google Scholar] [CrossRef] [PubMed]
 - Wang, S.; Bazan, G.C.; Tretiak, S.; Mukamel, S. Oligophenylenevinylene Phane Dimers: Probing the Effect of Contact Site on the Optical Properties of Bichromophoric Pairs. J. Am. Chem. Soc. 2000, 122, 1289–1297. [Google Scholar] [CrossRef]
 - Bartholomew, G.P.; Bazan, G.C. Bichromophoric Paracyclophanes: Models for Interchromophore Delocarization. Acc. Chem. Res. 2001, 34, 30–39. [Google Scholar] [CrossRef] [PubMed]
 - Bartholomew, G.P.; Bazan, G.C. Strategies for the Synthesis of ‘Through-Space’ Chromophore Dimers Based on [2.2]Paracyclophane. Synthesis 2002, 1245–1255. [Google Scholar] [CrossRef]
 - Hong, J.W.; Woo, H.Y.; Bazan, G.C. Solvatochromism of Distyrylbenzene Pairs Bound Together by [2.2]Paracyclophane: Evidence for a Polarizable “Through-Space” Delocalized State. J. Am. Chem. Soc. 2005, 127, 7435–7443. [Google Scholar] [CrossRef] [PubMed]
 - Bazan, G.C. Novel Organic Materials Through Control of Multichromophore Interactions. J. Org. Chem. 2007, 72, 8615–8635. [Google Scholar] [CrossRef] [PubMed]
 - Li, X.; Staykov, A.; Yoshizawa, K. Orbital Views on Electron-Transport Properties of Cyclophanes: Insight into Intermolecular Transport. Bull. Chem. Soc. Jpn. 2012, 85, 181–188. [Google Scholar] [CrossRef]
 









© 2018 by the authors. Licensee MDPI, Basel, Switzerland. This article is an open access article distributed under the terms and conditions of the Creative Commons Attribution (CC BY) license (http://creativecommons.org/licenses/by/4.0/).
Share and Cite
Maeda, H.; Kameda, M.; Hatakeyama, T.; Morisaki, Y. π-Stacked Polymer Consisting of a Pseudo–meta–[2.2]Paracyclophane Skeleton. Polymers 2018, 10, 1140. https://doi.org/10.3390/polym10101140
Maeda H, Kameda M, Hatakeyama T, Morisaki Y. π-Stacked Polymer Consisting of a Pseudo–meta–[2.2]Paracyclophane Skeleton. Polymers. 2018; 10(10):1140. https://doi.org/10.3390/polym10101140
Chicago/Turabian StyleMaeda, Hazuki, Mayu Kameda, Takuji Hatakeyama, and Yasuhiro Morisaki. 2018. "π-Stacked Polymer Consisting of a Pseudo–meta–[2.2]Paracyclophane Skeleton" Polymers 10, no. 10: 1140. https://doi.org/10.3390/polym10101140
APA StyleMaeda, H., Kameda, M., Hatakeyama, T., & Morisaki, Y. (2018). π-Stacked Polymer Consisting of a Pseudo–meta–[2.2]Paracyclophane Skeleton. Polymers, 10(10), 1140. https://doi.org/10.3390/polym10101140
        