Tuning the Crystal Habits of Organic Explosives by Antisolvent Crystallization: The Case Study of 2,6-dimaino-3,5-dinitropyrazine-1-oxid (LLM-105)
Abstract
:1. Introduction
2. Materials and Methods
2.1. Chemicals
2.2. Antisolvent Crystallization Experiments
2.3. Characterization
3. Results and Discussion
3.1. Influence of Antisolvent on the Crystal Habit
3.2. Structural Characterization of LLM-105 Crystals
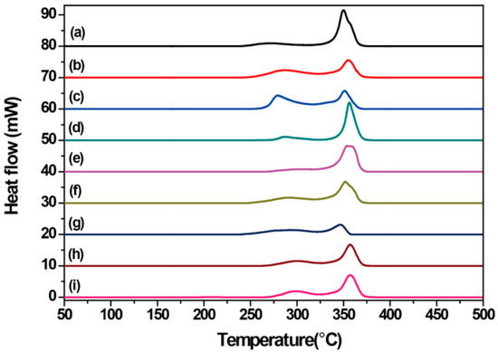
3.3. Thermal Properties of LLM-105 Crystals
4. Conclusions
Author Contributions
Funding
Conflicts of Interest
References
- Wu, H.; Dong, Z.; Li, H.; Khan, M. An Integrated Process Analytical Technology (PAT) Approach for Pharmaceutical Crystallization Process Understanding to Ensure Product Quality and Safety: FDA Scientist’s Perspective. Org. Process Res. Dev. 2015, 19, 89–101. [Google Scholar] [CrossRef]
- Mandal, A.K.; Thanigaivelan, U.; Pandey, R.K.; Asthana, S.; Khomane, R.B.; Kulkarni, B.D. Preparation of Spherical Particles of 1,1-Diamino-2,2-dinitroethene (FOX-7) Using a Micellar Nanoreactor. Org. Process Res. Dev. 2012, 16, 1711–1716. [Google Scholar] [CrossRef]
- Desiraju, G.R. Crystal engineering: From molecule to crystal. J. Am. Chem. Soc. 2013, 135, 9952–9967. [Google Scholar] [CrossRef] [PubMed]
- Lee, A.Y.; Erdemir, D.; Myerson, A.S. Crystal Polymorphism in Chemical Process Development. Annu. Rev. Chem. Biomol. Eng. 2011, 2, 259–280. [Google Scholar] [CrossRef]
- Mugheirbi, N.A.; Tajber, L. Crystal Habits of Itraconazole Microcrystals: Unusual Isomorphic Intergrowths Induced via Tuning Recrystallization Conditions. Mol. Pharm. 2015, 12, 3468–3478. [Google Scholar] [CrossRef]
- Iohara, D.; Yoshida, K.; Yamaguchi, K.; Anraku, M.; Motoyama, K.; Arima, H.; Uekama, K.; Hirayaa, F. Cyclodextrin-Induced Change in Crystal Habit of Acetylsalicylic Acid in Aqueous Solution. Cryst. Growth Des. 2012, 12, 1985–1991. [Google Scholar] [CrossRef]
- Van der Steen, A.C.; Verbeek, H.J.; Meulenbrugge, J.J. Influence of RDX crystals shape on the shock sensitivity of PBXs. In Proceedings of the 9th International Detonation Symposium on Detonation, Portland, OR, USA, 28 August–1 September 1989. [Google Scholar]
- Boddu, V.M.; Viswanath, D.S.; Ghosh, T.K. Damavarapu, 2,4,6Triamino-1,3,5-trinitrobenzene (TATB) and TATB-based formulations—A review. J. Hazard. Mater. 2010, 181, 1–8. [Google Scholar] [CrossRef] [PubMed]
- Li, J.; Wu, S.; Lu, K. Study on Preparation of Insensitive and Spherical High Bulk Density Nitroguanidine with Controllable Particle Size. Propellants Explos. Pyrotech. 2016, 41, 312–320. [Google Scholar] [CrossRef]
- Zhang, C.; Peng, Q.; Wang, L.; Wang, X. Thermal Sensitivity of HMX Crystals and HMX-Based Explosives Treated under Various Conditions. Propellants Explos. Pyrotech. 2010, 35, 561–566. [Google Scholar] [CrossRef]
- Wang, J.; Wang, Y.Q.; Qiao, Z.Q.; Zhang, L.; Wu, P.; Yang, G.C. Self-assembly of TATB 3D architectures via micro-channel crystallization and a formation mechanism. CrystEngComm 2016, 18, 1953–1957. [Google Scholar] [CrossRef]
- Berkovitch-Yellin, Z.; Van Mil, J.; Addadi, L.; Idelson, M.; Lahav, M.; Leiserowitz, L. Crystal morphology engineering by “tailor-made” inhibitors; a new probe to fine intermolecular interactions. J. Am. Chem. Soc. 1985, 107, 3111–3122. [Google Scholar] [CrossRef]
- Carstensen, J.T.; Ertell, C.; Geoffroy, J.M. Physico-chemical properties of particulate matter. Drug Dev. Ind. Pharm. 1993, 19, 195–219. [Google Scholar] [CrossRef]
- Kim, J.-W.; Park, J.-H.; Shim, H.-M.; Koo, K.-K. Effect of amphiphilic additives on nucleation of hexahydro-1,3,5-trinitro-1,3,5triazine. Cryst. Growth Des. 2013, 13, 4688–4694. [Google Scholar] [CrossRef]
- Bodnar, K.; Hudson, S.P.; Rasmuson, Å.C. Stepwise use of additives for improved control over formation and stability of mefenamic acid nanocrystals produced by antisolvent precipitation. Cryst. Growth Des. 2017, 17, 454–466. [Google Scholar] [CrossRef]
- Chen, J.; Ormes, J.D.; Higgins, J.D.; Taylor, L.S. Impact of Surfactants on the Crystallization of Aqueous Suspensions of Celecoxib Amorphous Solid Dispersion Spray Dried Particles. Mol. Pharm. 2015, 12, 533–541. [Google Scholar] [CrossRef]
- Poornachary, S.K.; Han, G.; Kwek, J.W.; Chow, P.S.; Tan, R.B.H. Crystallizing micronized particles of a poorly water-soluble active pharmaceutical ingredient: Nucleation enhancement by polymeric additives. Cryst. Growth Des. 2016, 16, 749–758. [Google Scholar] [CrossRef]
- Schram, C.J.; Beaudoin, S.P.; Taylor, L.S. Impact of Polymer Conformation on the Crystal Growth Inhibition of a Poorly Water Soluble Drug in Aqueous Solution. Langmuir 2015, 31, 171–179. [Google Scholar] [CrossRef]
- Verma, V.; Peddapatla, R.V.G.; Crowley, C.M.; Crean, A.M.; Davern, P.; Hudson, S.; Hodnett, B.K. Experimental study on the influence of excipients on the heterogeneous crystallization and dissolution properties of an active pharmaceutical ingredient. Cryst. Growth Des. 2018, 18, 338–350. [Google Scholar] [CrossRef]
- Thorson, M.R.; Goyal, S.; Gong, Y.; Zhang, G.G.Z.; Kenis, P.J.A. Microfluidic approach to polymorph screening through antisolvent crystallization. CrystEngComm 2012, 14, 2404–2412. [Google Scholar] [CrossRef]
- Holaň, J.; Skořepová, E.; Heraud, L.; Baltes, D.; Rohlíček, J.; Dammer, O.; Ridvan, L.; Štěpánek, F. Polymorphic Crystallization and Structural Aspects of Agomelatine Metastable Form X Prepared by Combined Antisolvent/Cooling Process. Org. Process Res. Dev. 2016, 20, 33–43. [Google Scholar] [CrossRef]
- Tierney, T.B.; Rasmuson, Å.C.; Hudson, S.P. Size and Shape Control of Micron-Sized Salicylic Acid Crystals during Antisolvent Crystallization. Org. Process Res. Dev. 2017, 21, 1732–1740. [Google Scholar] [CrossRef]
- Kamaraju, V.K.; Chiu, M. Improved Operation of Concentration Control for Antisolvent Crystallization Processes. Org. Process Res. Dev. 2015, 19, 178–188. [Google Scholar] [CrossRef]
- Bhamidi, V.; Lee, S.H.; He, G.; Chow, P.S.; Tan, R.B.H.; Zukoski, C.F.; Kenis, P.J.A. Antisolvent Crystallization and Polymorph Screening of Glycine in Microfluidic Channels Using Hydrodynamic Focusing. Cryst. Growth Des. 2015, 15, 3299–3306. [Google Scholar] [CrossRef]
- Cogoni, G.; Baratti, R.; Romagnoli, J.A. On the Influence of Hydrogen Bond Interactions in Isothermal and Nonisothermal Antisolvent Crystallization Processes. Ind. Eng. Chem. Res. 2013, 52, 9612–9619. [Google Scholar] [CrossRef]
- Pagoria, A.R.; Mitchell, R.D.; Schmidt, R.L.; Simpson, F.; Garcia, J.; Forbes, J.; Cutting, R.; Lee, R.; Swansiger, D.M. Hoffmann, Synthesis, Scale-up and Experimental testing of LLM-105 (2,6-Diamino-3,5-dinitropyrazine-1-oxide). In Proceedings of the Insensitive Munitions and Energetic Materials Technology Symposium, San Diego, CA, USA, 16–19 November 1998. [Google Scholar]
- Pagoria, P.; Zhang, M.; Zuckerman, N.; Lee, G.; Mitchell, A.; DeHope, A.; Gash, A.; Coon, C.; Gallagher, P. Synthetic Studies of 2,6-Diamino-3,5-Dinitropyrazine-1-Oxide (LLM-105) from Discovery to Multi-Kilogram Scale. Propellants Explos. Pyrotech. 2017, 42, 1–14. [Google Scholar] [CrossRef]
- Averkiev, B.B.; Antipin, M.Y.; Yudin, I.L.; Sheremetev, A.B. X-ray Structural Study of Three Derivatives of Dinitropyrazine. J. Mol. Struct. 2002, 606, 139–146. [Google Scholar] [CrossRef]
- Gilardi, R.D.; Butcher, R.J. 2,6-Diamino-3,5-dinitro-1,4-pyrazine dimethyl sulfoxide solvate. Crystallogr. Commun. 2001, 57, o757–o759. [Google Scholar] [CrossRef]
- Zhou, X.; Zhang, Q.; Xu, R.; Chen, D.; Hao, S.; Nie, F.; Li, H. A Novel Spherulitic Self-Assembly Strategy for Organic Explosives: Modifying the Hydrogen Bonds by Polymeric Additives in Emulsion Crystallization. Cryst. Growth Des. 2018, 184, 2417–2423. [Google Scholar] [CrossRef]
- Huang, C.; Liu, J.; Ding, L.; Wang, D.; Yang, Z.; Nie, F. Facile Fabrication of Nanoparticles Stacked 2,6-diamino-3,5-dinitropyrazine-1-oxide (LLM-105) Sub-microspheres via Electrospray Deposition. Propellants Explos. Pyrotech. 2018, 43, 188–193. [Google Scholar] [CrossRef]
- Zhang, J.; Wu, P.; Yang, Z.J.; Gao, B.; Zhang, J.H.; Wang, P.; Nie, F.D.; Liao, L.Y. Preparation and Properties of SubmicrometerSized LLM-105 via Spray-Crystallization Method. Propellants Explos. Pyrotech. 2014, 39, 653–657. [Google Scholar] [CrossRef]
- Bu, R.; Zhou, X.; Li, H.; Yu, Y. Crystallization Metastable Zone of LLM-l05 in Dimethyl Sulfoxide. Chin. J. Energ. Mater. 2017, 25, 479–485. [Google Scholar]
- Mirmeharabi, M.; Sohrab, R. An approach to solvent screening for crystallization of polymorphic pharmaceuticals and fine chemicals. J. Pharm. Sci. 2005, 94, 1560–1576. [Google Scholar] [CrossRef] [PubMed]
- Vicki, J. Strategies for solvent selection—A literature review. Trends Anal. Chem. 1997, 16, 293–309. [Google Scholar]
- Bu, R.; Zhou, X.; Huang, Q.; Yu, Y.; Li, H. Measurement, Correlation and Thermodynamics of Solubility of 2,6-Diamino-3,5-Dinitropyrazine-1-Oxide (LLM-105) in Eight Solvents. Propellants Explos. Pyrotech. 2017, 42, 1347–1351. [Google Scholar] [CrossRef]






| Antisolvent | H2O | MeOH | AcOH | NM | EAC | EtOH | MC | DCC | TL |
|---|---|---|---|---|---|---|---|---|---|
| T1 (°C) | 252.1 | 252.6 | 259.2 | 263.9 | 271.7 | 259.9 | 259.6 | 270.6 | 271.9 |
| T2 (°C) | 270.0 | 286.8 | 279.3 | 287.3 | 309.8 | 292.8 | 292.3 | 301.0 | 299.8 |
| T3 (°C) | 349.7 | 355.2 | 351.0 | 356.3 | 353.8 | 351.8 | 346.3 | 357.2 | 357.0 |
| T4 (°C) | 362.3 | 366.7 | 363.2 | 366.8 | 366.7 | 364.8 | 360.4 | 366.6 | 366.6 |
© 2019 by the authors. Licensee MDPI, Basel, Switzerland. This article is an open access article distributed under the terms and conditions of the Creative Commons Attribution (CC BY) license (http://creativecommons.org/licenses/by/4.0/).
Share and Cite
Zhou, X.; Shan, J.; Chen, D.; Li, H. Tuning the Crystal Habits of Organic Explosives by Antisolvent Crystallization: The Case Study of 2,6-dimaino-3,5-dinitropyrazine-1-oxid (LLM-105). Crystals 2019, 9, 392. https://doi.org/10.3390/cryst9080392
Zhou X, Shan J, Chen D, Li H. Tuning the Crystal Habits of Organic Explosives by Antisolvent Crystallization: The Case Study of 2,6-dimaino-3,5-dinitropyrazine-1-oxid (LLM-105). Crystals. 2019; 9(8):392. https://doi.org/10.3390/cryst9080392
Chicago/Turabian StyleZhou, Xiaoqing, Junhui Shan, Dong Chen, and Hongzhen Li. 2019. "Tuning the Crystal Habits of Organic Explosives by Antisolvent Crystallization: The Case Study of 2,6-dimaino-3,5-dinitropyrazine-1-oxid (LLM-105)" Crystals 9, no. 8: 392. https://doi.org/10.3390/cryst9080392
APA StyleZhou, X., Shan, J., Chen, D., & Li, H. (2019). Tuning the Crystal Habits of Organic Explosives by Antisolvent Crystallization: The Case Study of 2,6-dimaino-3,5-dinitropyrazine-1-oxid (LLM-105). Crystals, 9(8), 392. https://doi.org/10.3390/cryst9080392
