Liquid Crystal Beam Steering Devices: Principles, Recent Advances, and Future Developments
Abstract
1. Introduction
2. Operation Principles of LC Beam Steering
2.1. Blazed Gratings
2.2. Bragg Gratings
2.3. Prism-Type Beam Steering
3. Liquid Crystal Beam Steering Devices
3.1. Optical Phased Arrays
3.2. Compound Blazed Gratings
3.3. Resistive Electrodes
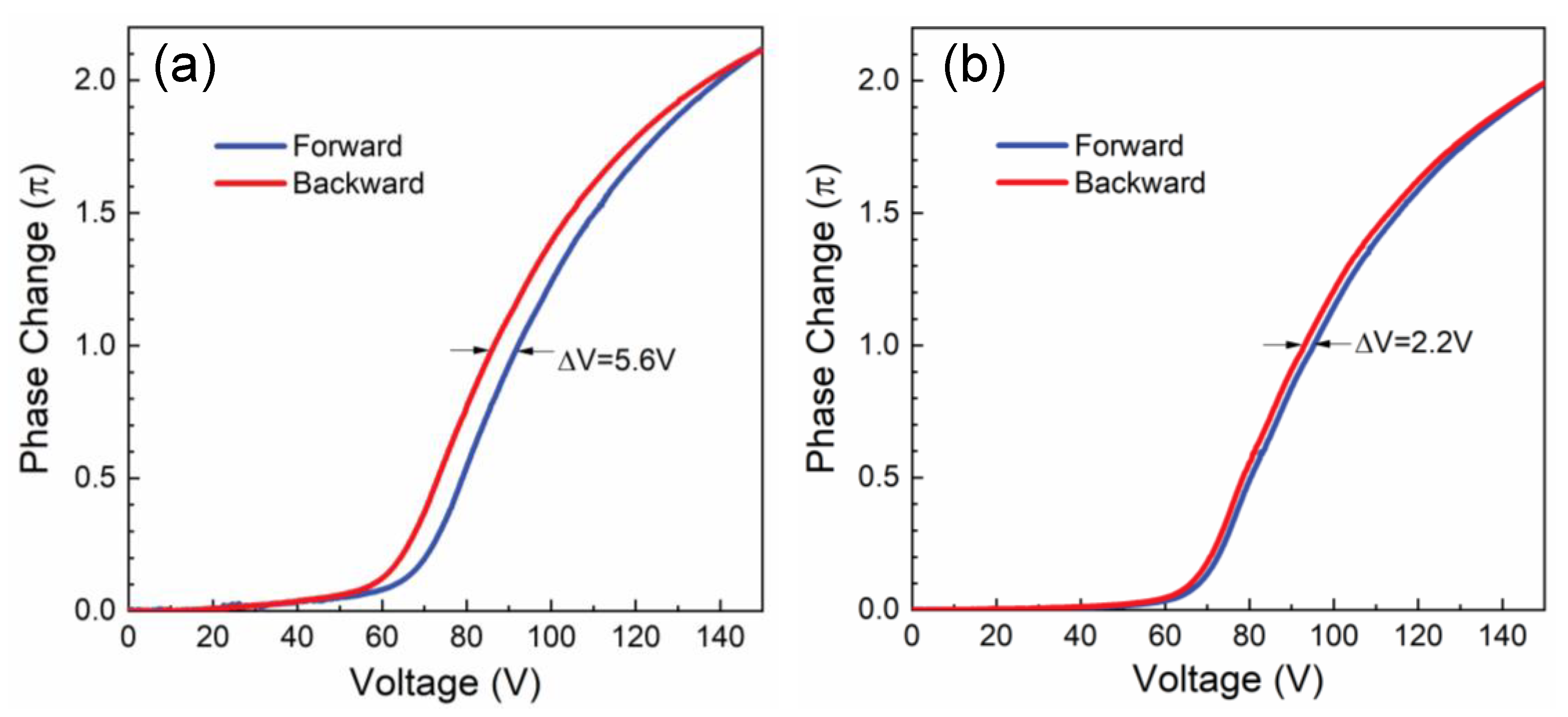
3.4. LC-Cladding Waveguides
3.5. Pancharatnam-Berry Phase Deflecctors
3.6. LC Volume Gratings
4. Future Trends and Challenges
4.1. Fast Response Time for MWIR Beam Steering
4.2. Device Hybridization for Continuous, Large-Angle Beam Steering
5. Conclusions
Author Contributions
Funding
Conflicts of Interest
References
- Collis, R.T.H. Lidar. Appl. Opt. 1970, 9, 1782–1788. [Google Scholar] [CrossRef] [PubMed]
- Kattawar, G.W.; Plass, G.N. Time of flight lidar measurements as an ocean probe. Appl. Opt. 1972, 11, 662–666. [Google Scholar] [CrossRef]
- Hair, J.W.; Hostetler, C.A.; Cook, A.L.; Harper, D.B.; Ferrare, R.A.; Mack, T.L.; Welch, W.; Izquierdo, L.R.; Hovis, F.E. Airborne high spectral resolution lidar for profiling aerosol optical properties. Appl. Opt. 2008, 47, 6734–6752. [Google Scholar] [CrossRef] [PubMed]
- Van Kessel, P.F.; Hornbeck, L.J.; Meier, R.E.; Douglass, M.R. A MEMS-based projection display. Proc. IEEE 1998, 86, 1687–1704. [Google Scholar] [CrossRef]
- Lee, Y.H.; Zhan, T.; Wu, S.T. Enhancing the resolution of a near-eye display with a Pancharatnam-Berry phase deflector. Opt. Lett. 2017, 42, 4732–4735. [Google Scholar] [CrossRef]
- Tan, G.; Lee, Y.H.; Zhan, T.; Yang, J.; Liu, S.; Zhao, D.; Wu, S.T. Foveated imaging for near-eye displays. Opt. Express 2018, 26, 25076–25085. [Google Scholar] [CrossRef] [PubMed]
- Betzig, E.; Trautman, J.K. Near-field optics: Microscopy, spectroscopy, and surface modification beyond the diffraction limit. Science 1992, 257, 189–195. [Google Scholar] [CrossRef]
- Neuman, K.C.; Block, S.M. Optical trapping. Rev. Sci. Instrum. 2004, 75, 2787–2809. [Google Scholar] [CrossRef]
- Gattass, R.R.; Mazur, E. Femtosecond laser micromachining in transparent materials. Nat. Photonics 2008, 2, 219–225. [Google Scholar] [CrossRef]
- Lefsky, M.A.; Cohen, W.B.; Parker, G.G.; Harding, D.J. Lidar remote sensing for ecosystem studies. Bioscience 2002, 52, 19–30. [Google Scholar] [CrossRef]
- Næsset, E.; Gobakken, T.; Holmgren, J.; Hyyppä, H.; Hyyppä, J.; Maltamo, M.; Nilsson, M.; Olsson, H.; Persson, Å.; Söderman, U. Laser scanning of forest resources: The nordic experience. Scand. J. For. Res. 2004, 19, 482–499. [Google Scholar] [CrossRef]
- Goodman, J.L. History of space shuttle rendezvous and proximity operations. J. Spacecr. Rockets 2006, 43, 944–959. [Google Scholar] [CrossRef]
- Wehr, A.; Lohr, U. Airborne laser scanning—An introduction and overview. ISPRS J. Photogramm. Remote Sens. 1999, 54, 68–82. [Google Scholar] [CrossRef]
- Duncan, B.D.; Philip, J.B.; Vassili, S. Wide-angle achromatic prism beam steering for infrared countermeasure applications. Opt. Eng. 2003, 42, 1038–1047. [Google Scholar]
- Koh, K.H.; Kobayashi, T.; Lee, C. A 2-D MEMS scanning mirror based on dynamic mixed mode excitation of a piezoelectric PZT thin film S-shaped actuator. Opt. Express 2011, 19, 13812–13824. [Google Scholar] [CrossRef] [PubMed]
- Hofmann, U.; Janes, J.; Quenzer, H.J. High-Q MEMS resonators for laser beam scanning displays. Micromachines 2012, 3, 509–528. [Google Scholar] [CrossRef]
- Chan, T.K.; Megens, M.; Yoo, B.W.; Wyras, J.; Chang-Hasnain, C.J.; Wu, M.C.; Horsley, D.A. Optical beamsteering using an 8×8 MEMS phased array with closed-loop interferometric phase control. Opt. Express 2013, 21, 2807–2815. [Google Scholar] [CrossRef]
- Meyer, R.A. Optical beam steering using a multichannel lithium tantalite crystal. Appl. Opt. 1972, 11, 613–616. [Google Scholar] [CrossRef]
- Nimomiya, Y. Ultrahigh resolving electrooptical prism array light deflectors. IEEE J. Quantum Electron. 1973, 9, 791–795. [Google Scholar] [CrossRef]
- Davis, S.R.; Farca, G.; Rommel, S.D.; Martin, A.W.; Anderson, M.H. Analog, non-mechanical beam-steerer with 80 degrees field of regard. Proc. SPIE 2008, 6971, 69710G. [Google Scholar]
- Römer, G.; Bechtold, P. Electro-optic and acousto-optic laser beam scanners. Phys. Procedia 2014, 56, 29–39. [Google Scholar] [CrossRef]
- Smith, N.R.; Abeysinghe, D.C.; Haus, J.W.; Heikenfeld, J. Agile wide-angle beam steering with electrowetting microprisms. Opt. Express 2006, 14, 6557–6563. [Google Scholar] [CrossRef] [PubMed]
- Liu, C.; Li, L.; Wang, Q.H. Liquid prism for beam tracking and steering. Opt. Eng. 2012, 51, 114002. [Google Scholar] [CrossRef]
- Cheng, J.; Chen, C.L. Adaptive beam tracking and steering via electrowetting-controlled liquid prism. Appl. Phys. Lett. 2011, 99, 191108. [Google Scholar] [CrossRef]
- Kopp, D.; Lehmann, L.; Zappe, H. Optofluidic laser scanner based on a rotating liquid prism. Appl. Opt. 2016, 55, 2136–2142. [Google Scholar] [CrossRef] [PubMed]
- Resler, D.P.; Hobbs, D.S.; Sharp, R.C.; Friedman, L.J.; Dorschner, T.A. High-efficiency liquid-crystal optical phased-array beam steering. Opt. Lett. 1996, 21, 689–691. [Google Scholar] [CrossRef] [PubMed]
- Lindle, J.; Watnik, A.; Cassella, V. Efficient multibeam large-angle nonmechanical laser beam steering from computer-generated holograms rendered on a liquid crystal spatial light modulator. Appl. Opt. 2016, 55, 4336–4341. [Google Scholar] [CrossRef]
- McManamon, P.F.; Bos, P.J.; Escuti, M.J.; Heikenfeld, J.; Serati, S.; Xie, H.; Watson, E.A. A review of phased array steering for narrow-band electrooptical systems. Proc. IEEE 2009, 97, 1078–1096. [Google Scholar] [CrossRef]
- Yang, D.K.; Wu, S.T. Fundamentals of Liquid Crystal Devices; Wiley: Hoboken, NJ, USA, 2006. [Google Scholar]
- Kato, T.; Mizoshita, N.; Kishimoto, K. Functional liquid-crystalline assemblies: Self-organized soft materials. Angew. Chem. Int. Ed. Engl. 2005, 45, 38–68. [Google Scholar] [CrossRef]
- Woltman, S.J.; Jay, G.D.; Crawford, G.P. Liquid-crystal materials find a new order in biomedical applications. Nat. Mater. 2007, 6, 929–938. [Google Scholar] [CrossRef]
- Bisoyi, H.K.; Li, Q. Light-driven liquid crystalline materials: From photo-induced phase transitions and property modulations to applications. Chem. Rev. 2016, 116, 15089–15166. [Google Scholar] [CrossRef] [PubMed]
- McManamon, P.F.; Dorschner, T.A.; Corkum, D.L.; Friedman, L.J.; Hobbs, D.S.; Holz, M.; Liberman, S.; Nguyen, H.Q.; Pesler, D.P.; Sharp, R.C.; et al. Optical phased array technology. Proc. IEEE 1996, 84, 268–298. [Google Scholar] [CrossRef]
- Zohrabi, M.; Cormack, R.H.; Gopinath, J.T. Wide-angle nonmechanical beam steering using liquid lenses. Opt. Express 2016, 24, 23798–23809. [Google Scholar] [CrossRef] [PubMed]
- He, Z.; Lee, Y.H.; Chanda, D.; Wu, S.T. Adaptive liquid crystal microlens array enabled by two-photon polymerization. Opt. Express 2018, 26, 21184–21193. [Google Scholar] [CrossRef] [PubMed]
- He, Z.; Lee, Y.H.; Chen, R.; Chanda, D.; Wu, S.T. Switchable Pancharatnam-Berry microlens array with nano-imprinted liquid crystal alignment. Opt. Lett. 2018, 43, 5062–5065. [Google Scholar] [CrossRef] [PubMed]
- Nocentini, S.; Martella, D.; Wiersma, D.S.; Parmeggiani, C. Beam steering by liquid crystal elastomer fibres. Soft Matter 2017, 13, 8590–8596. [Google Scholar] [CrossRef] [PubMed]
- Li, C.C.; Chen, C.W.; Yu, C.K.; Jau, H.C.; Lv, J.A.; Qing, X.; Lin, C.F.; Cheng, C.Y.; Wang, C.Y.; Wei, J.; et al. Arbitrary beam steering enabled by photomechanically bendable cholesteric liquid crystal polymers. Adv. Opt. Mater. 2017, 5, 1600824. [Google Scholar] [CrossRef]
- Moharam, M.G.; Young, L. Criterion for Bragg and Raman-Nath diffraction regimes. Appl. Opt. 1978, 17, 1757–1759. [Google Scholar] [CrossRef]
- Saleh, B.; Teich, M. Fundamentals of Photonics; Wiley: New York, NY, USA, 2007. [Google Scholar]
- Yin, K.; Lee, Y.H.; He, Z.; Wu, S.T. Stretchable, flexible, rollable, and adherable polarization volume grating film. Opt. Express 2019, 27, 5814–5823. [Google Scholar] [CrossRef]
- Weng, Y.; Xu, D.; Zhang, Y.; Li, X.; Wu, S.T. Polarization volume grating with high efficiency and large diffraction angle. Opt. Express 2016, 24, 17746–17759. [Google Scholar] [CrossRef]
- Love, G.D.; Major, J.V.; Purvis, A. Liquid-crystal prisms for tip-tilt adaptive optics. Opt. Lett. 1994, 19, 1170–1172. [Google Scholar] [CrossRef] [PubMed]
- Wu, S.T.; Efron, U.; Hsu, T.Y. Near-infrared-to-visible image conversion using a Si liquid-crystal light valve. Opt. Lett. 1988, 13, 13–15. [Google Scholar] [CrossRef] [PubMed]
- Wang, X.; Wang, B.; Bos, P.J.; McManamon, P.F.; Pouch, J.J.; Miranda, F.A.; Anderson, J.E. Modeling and design of an optimized liquid-crystal optical phased array. J. Appl. Phys. 2005, 98, 073101. [Google Scholar] [CrossRef]
- McManamon, P.F. Agile nonmechanical beam steering. Opt. Photon. News 2006, 21–25. [Google Scholar] [CrossRef]
- Wang, X.; Wilson, D.; Muller, R.; Maker, P.; Psaltis, D. Liquid-crystal blazed-grating beam deflector. Appl. Opt. 2000, 39, 6545–6555. [Google Scholar] [CrossRef] [PubMed]
- Shang, X.; Tan, J.Y.; Willekens, O.; De Smet, J.; Joshi, P.; Cuypers, D.; Islamaj, E.; Beeckman, J.; Neyts, K.; Vervaeke, M.; et al. Electrically controllable liquid crystal component for efficient light steering. IEEE Photonics J. 2015, 7, 1–13. [Google Scholar] [CrossRef]
- Willekens, O.; Jia, X.; Vervaeke, M.; Shang, X.; Baghdasaryan, T.; Thienpont, H.; De Smet, H.; Neyts, K.; Beeckman, J. Reflective liquid crystal hybrid beam-steerer. Opt. Express 2016, 24, 21541–21550. [Google Scholar] [CrossRef]
- Klaus, W.; Ide, M.; Morokawa, S.; Tsuchiya, M.; Kamiya, T. Angle-independent beam steering using a liquid crystal grating with multi-resistive electrodes. Opt. Commun. 1997, 138, 151–157. [Google Scholar] [CrossRef]
- Shang, X.; Trinidad, A.M.; Joshi, P.; De Smet, J.; Cuypers, D.; De Smet, H. Tunable optical beam deflection via liquid crystal gradient refractive index generated by highly resistive polymer film. IEEE Photonics J. 2016, 8, 1–11. [Google Scholar] [CrossRef]
- Beeckman, J.; Nys, I.; Willekens, O.; Neyts, K. Optimization of liquid crystal devices based on weakly conductive layers for lensing and beam steering. J. Appl. Phys. 2017, 121, 023106. [Google Scholar] [CrossRef]
- Sun, J.; Xu, S.; Ren, H.; Wu, S.T. Reconfigurable fabrication of scattering-free polymer network liquid crystal prism/grating/lens. Appl. Phys. Lett. 2013, 102, 161106. [Google Scholar] [CrossRef]
- Ren, H.; Xu, S.; Wu, S.T. Gradient polymer network liquid crystal with a large refractive index change. Opt. Express 2012, 20, 26464–26472. [Google Scholar] [CrossRef] [PubMed]
- Davis, S.R.; Farca, G.; Rommel, S.D.; Johnson, S.; Anderson, M.H. Liquid crystal waveguides: New devices enabled by > 1000 waves of optical phase control. Proc. SPIE 2010, 7618, 76180E. [Google Scholar]
- Davis, S.R.; Rommel, S.D.; Johnson, S.; Anderson, M.H.; Anthony, W.Y. Liquid crystal clad waveguide laser scanner and waveguide amplifier for LADAR and sensing applications. Proc. SPIE 2015, 9365, 93650N. [Google Scholar]
- Frantz, J.A.; Myers, J.D.; Bekele, R.Y.; Spillmann, C.M.; Naciri, J.; Kolacz, J.; Gotjen, H.G.; Nguyen, V.Q.; McClain, C.C.; Shaw, L.B.; et al. Chip-based nonmechanical beam steerer in the midwave infrared. J. Opt. Soc. Am. B 2018, 35, C29–C37. [Google Scholar] [CrossRef]
- Peng, F.; Chen, H.; Tripathi, S.; Twieg, R.J.; Wu, S.T. Fast-response infrared phase modulator based on polymer network liquid crystal. Opt. Mater. Express 2015, 5, 265–273. [Google Scholar] [CrossRef]
- Gou, F.; Chen, R.; Hu, M.; Li, J.; Li, J.; An, Z.; Wu, S.T. Submillisecond-response polymer network liquid crystals for mid-infrared applications. Opt. Mater. Express 2018, 26, 29735–29743. [Google Scholar] [CrossRef]
- Tervo, J.; Turunen, J. Paraxial-domain diffractive elements with 100% efficiency based on polarization gratings. Opt. Lett. 2000, 25, 785–786. [Google Scholar] [CrossRef]
- Nikolova, L.; Todorov, T. Diffraction efficiency and selectivity of polarization holographic recording. Optica Acta 1984, 31, 579–588. [Google Scholar] [CrossRef]
- Pancharatnam, S. Generalized theory of interference, and its applications Part I: Coherent pencils. Proc. Indian Acad. Sci. A 1956, 44, 247–262. [Google Scholar] [CrossRef]
- Berry, M. Quantal phase factors accompanying adiabatic changes. Proc. R. Soc. London Ser. A 1984, 392, 45–57. [Google Scholar] [CrossRef]
- Oh, C.; Escuti, M.J. Numerical analysis of polarization gratings using the finite-difference time-domain method. Phys. Rev. A 2007, 76, 043815. [Google Scholar] [CrossRef]
- Lee, Y.H.; Tan, G.; Zhan, T.; Weng, Y.; Liu, G.; Gou, F.; Peng, F.; Tabiryan, N.V.; Gauza, S.; Wu, S.T. Recent progress in Pancharatnam-Berry phase optical elements and the applications for virtual/augmented realities. Opt. Data Process. Storage 2017, 3, 79–88. [Google Scholar] [CrossRef]
- Zhan, T.; Lee, Y.H.; Tan, G.; Xiong, J.; Yin, K.; Gou, F.; Zou, J.; Zhang, N.; Zhao, D.; Yang, J.; et al. Pancharatnam-Berry optical elements for head-up and near-eye displays. J. Opt. Soc. Am. B 2019, 36, D52–D65. [Google Scholar] [CrossRef]
- Sarkissian, H.; Park, B.; Tabirian, N.; Zeldovich, B. Periodically aligned liquid crystal: potential application for projection displays. Mol. Cryst. Liq. Cryst. 2006, 451, 1–19. [Google Scholar] [CrossRef]
- Kim, J.; Li, Y.; Miskiewicz, M.N.; Oh, C.; Kudenov, M.W.; Escuti, M.J. Fabrication of ideal geometric-phase holograms with arbitrary wavefronts. Optica 2015, 2, 958–964. [Google Scholar] [CrossRef]
- Zhan, T.; Xiong, J.; Lee, Y.H.; Chen, R.; Wu, S.T. Fabrication of Pancharatnam-Berry phase optical elements with highly stable polarization holography. Opt. Express 2019, 27, 2632–2642. [Google Scholar] [CrossRef]
- Ichimura, K. Photoalignment of liquid-crystal systems. Chem. Rev. 2000, 100, 1847–1874. [Google Scholar] [CrossRef] [PubMed]
- Nersisyan, S.R.; Tabiryan, N.V.; Steeves, D.M.; Kimball, B.R. The promise of diffractive waveplates. Opt. Photonics News 2010, 21, 40–45. [Google Scholar] [CrossRef]
- Kim, J.; Oh, C.; Serati, S.; Escuti, M.J. Wide-angle, nonmechanical beam steering with high throughput utilizing polarization gratings. Appl. Opt. 2011, 50, 2636–2639. [Google Scholar] [CrossRef]
- Chen, H.; Weng, Y.; Xu, D.; Tabiryan, N.V.; Wu, S.T. Beam steering for virtual/augmented reality displays with a cycloidal diffractive waveplate. Opt. Express 2016, 24, 7287–7298. [Google Scholar] [CrossRef]
- Gou, F.; Peng, F.; Ru, Q.; Lee, Y.H.; Chen, H.; He, Z.; Zhan, T.; Vodopyanov, K.L.; Wu, S.T. Mid-wave infrared beam steering based on high-efficiency liquid crystal diffractive waveplates. Opt. Express 2017, 25, 22404–22410. [Google Scholar] [CrossRef] [PubMed]
- Oh, C.; Escuti, M.J. Achromatic diffraction from polarization gratings with high efficiency. Opt. Lett. 2008, 33, 2287–2289. [Google Scholar] [CrossRef]
- Honma, M.; Nose, T. Temperature-independent achromatic liquid-crystal grating with spatially distributed twisted-nematic orientation. Appl. Phys. Express 2012, 5, 062501. [Google Scholar] [CrossRef]
- He, Z.; Tan, G.; Chanda, D.; Wu, S.T. Novel liquid crystal photonic devices enabled by two-photon polymerization. Opt. Express 2019, 27, 11472–11491. [Google Scholar] [CrossRef] [PubMed]
- Crawford, G.P.; Eakin, J.N.; Radcliffe, M.D.; Callan-Jones, A.; Pelcovits, R.A. Liquid-crystal diffraction gratings using polarization holography alignment techniques. J. Appl. Phys. 2005, 98, 123102. [Google Scholar] [CrossRef]
- Provenzano, C.; Pagliusi, P.; Cipparrone, G. Electrically tunable two-dimensional liquid crystals gratings induced by polarization holography. Opt. Express 2007, 15, 5872–5878. [Google Scholar] [CrossRef] [PubMed]
- Nys, I.; Beeckman, J.; Neyts, K. Switchable 3d liquid crystal grating generated by periodic photo-alignment on both substrates. Soft Matter 2015, 11, 7802–7808. [Google Scholar] [CrossRef] [PubMed]
- Nys, I.; Nersesyan, V.; Beeckman, J.; Neyts, K. Complex liquid crystal superstructures induced by periodic photo-alignment at top and bottom substrates. Soft Matter 2018, 14, 6892–6902. [Google Scholar] [CrossRef]
- Shi, L.; McManamon, P.F.; Bos, P.J. Liquid crystal optical phase plate with a variable in-plane gradient. J. Appl. Phys. 2008, 104, 033109. [Google Scholar] [CrossRef]
- Sutherland, R.L.; Natarajan, L.V.; Tondiglia, V.P.; Bunning, T.J. Bragg gratings in an acrylate polymer consisting of periodic polymer-dispersed liquid-crystal planes. Chem. Mater. 1993, 5, 1533–1538. [Google Scholar] [CrossRef]
- Liu, Y.J.; Sun, X.W. Holographic polymer-dispersed liquid crystals materials, formation, and applications. Adv. Optoelectron. 2008, 2008, 684349. [Google Scholar] [CrossRef]
- Lee, Y.H.; He, Z.; Wu, S.T. Optical properties of reflective liquid crystal polarization volume gratings. J. Opt. Soc. Am. B 2019, 36, D9–D12. [Google Scholar] [CrossRef]
- Kobashi, J.; Mohri, Y.; Yoshida, H.; Ozaki, M. Circularly-polarized, large-angle reflective deflectors based on periodically patterned cholesteric liquid crystals. Opt. Data Process. Storage 2017, 3, 61–66. [Google Scholar] [CrossRef]
- Lee, Y.H.; Yin, K.; Wu, S.T. Reflective polarization volume gratings for high efficiency waveguide-coupling augmented reality displays. Opt. Express 2017, 25, 27008–27014. [Google Scholar] [CrossRef] [PubMed]
- Xiang, X.; Kim, J.; Komanduri, R.; Escuti, M.J. Nanoscale liquid crystal polymer Bragg polarization gratings. Opt. Express 2017, 25, 19298–19308. [Google Scholar] [CrossRef]
- Gao, K.; McGinty, C.; Payson, H.; Berry, S.; Vornehm, J.; Finnemeyer, V.; Roberts, B.; Bos, P. High-efficiency large-angle Pancharatnam phase deflector based on dual-twist design. Opt. Express 2017, 25, 6283–6293. [Google Scholar] [CrossRef]
- Sakhno, O.; Gritsai, Y.; Sahm, H.; Stumpe, J. Fabrication and performance of efficient thin circular polarization gratings with Bragg properties using bulk photo-alignment of a liquid crystalline polymer. Appl. Phys. B 2018, 124, 52. [Google Scholar] [CrossRef]
- Chen, R.; Lee, Y.H.; Zhan, T.; Yin, K.; An, Z.; Wu, S.T. Multistimuli-responsive self-organized liquid crystal bragg gratings. Adv. Opt. Mater. 2019, 7, 1900101. [Google Scholar] [CrossRef]
- Xiang, X.; Kim, J.; Escuti, M.J. Bragg polarization gratings for wide angular bandwidth and high efficiency at steep deflection angles. Sci. Rep. 2018, 8, 7202. [Google Scholar] [CrossRef]
- Wu, S.T. Design of a liquid crystal based tunable electro-optic filter. Appl. Opt. 1989, 28, 48–52. [Google Scholar] [CrossRef] [PubMed]
- Wu, S.T. Birefringence dispersions of liquid crystals. Phys. Rev. A 1986, 33, 1270–1274. [Google Scholar] [CrossRef]
- Sun, J.; Wu, S.T. Recent advances in polymer network liquid crystal spatial light modulators. J. Polym. Sci. 2014, 52, 183–192. [Google Scholar] [CrossRef]
- Wu, S.T. Absorption measurements of liquid crystals in the ultraviolet, visible, and infrared. J. Appl. Phys. 1998, 84, 4462–4465. [Google Scholar] [CrossRef]
- Schadt, M. Liquid crystal materials and liquid crystal displays. Annu. Rev. Mater. Sci. 1997, 27, 305–379. [Google Scholar] [CrossRef]
- Serati, S.A.; Xia, X.; Mughal, O.; Linnenberger, A. High-resolution phase-only spatial light modulators with submillisecond response. Proc. SPIE 2003, 5106, 138–145. [Google Scholar]
- Kneppe, H.; Schneider, F.; Sharma, N.K. Rotational viscosity γ1 of nematic liquid crystals. J. Chem. Phys. 1982, 77, 3203–3208. [Google Scholar] [CrossRef]
- Kikuchi, H.; Nishiwaki, J.; Kajiyama, T. Mechanism of electro-optical switching hysteresis for (polymer/liquid crystal) composite films. Polym. J. 1995, 27, 1246–1256. [Google Scholar] [CrossRef]
- Lee, Y.H.; Franklin, D.; Gou, F.; Liu, G.; Peng, F.; Chanda, D.; Wu, S.T. Two-photon polymerization enabled multi-layer liquid crystal phase modulator. Sci. Rep. 2017, 7, 16260. [Google Scholar] [CrossRef]
- He, Z.; Lee, Y.H.; Gou, F.; Franklin, D.; Chanda, D.; Wu, S.T. Polarization-independent phase modulators enabled by two-photon polymerization. Opt. Express 2017, 25, 33688–33694. [Google Scholar] [CrossRef]
- Yin, K.; Lee, Y.H.; He, Z.; Wu, S.T. Stretchable, flexible, and adherable polarization volume grating film for waveguide-based augmented reality displays. J. Soc. Inf. Disp. 2019, 27, 232–237. [Google Scholar] [CrossRef]




















| Compound No. | Chemical Structure | Weight (wt%) |
|---|---|---|
| 1 | ![]() | 70% |
| 2 | ![]() | |
| 3 | ![]() | 20% |
| 4 | ![]() | 10% |
| Devices | Range (⁰) | Efficiency | Continuity | Decay time | λ (μm) | Ref. |
|---|---|---|---|---|---|---|
| OPAs | ±5 | ~60% | Quasi-continuous | a | b | [28,33] |
| Compound blazed gratings | 0–2.3 | ~40% | Discrete | ~ 100’s ms | 0.532 | [48] |
| 32.1–37.4 | ~40% | Discrete | ~ 100’s ms | 0.633 | [49] | |
| Resistive electrodes | ±4.8 | NA | Discrete | ~ 1’s s | 0.532 | [51] |
| LC-cladding waveguides | ±50 | >50% | Continuous | <1 ms | 1.55 | [56] |
| ±7 | NA | Continuous | NA | 4.6 | [57] | |
| ±4.9 | >90% (c) | Continuous | d | 1.55 | This work | |
| PBDs | ±22 | >90% | Discrete | ~ 1’s ms | 1.55 | [72] |
| ±7.6 | >90% | Binary | 10 ms | 4 | [74] | |
| PVGs | 0–55 | >96% | Binary | 1.4 ms | 0.532 | [91] |
| 43.5–55 | >90% | Continuous | e | 0.532 | [41] |
© 2019 by the authors. Licensee MDPI, Basel, Switzerland. This article is an open access article distributed under the terms and conditions of the Creative Commons Attribution (CC BY) license (http://creativecommons.org/licenses/by/4.0/).
Share and Cite
He, Z.; Gou, F.; Chen, R.; Yin, K.; Zhan, T.; Wu, S.-T. Liquid Crystal Beam Steering Devices: Principles, Recent Advances, and Future Developments. Crystals 2019, 9, 292. https://doi.org/10.3390/cryst9060292
He Z, Gou F, Chen R, Yin K, Zhan T, Wu S-T. Liquid Crystal Beam Steering Devices: Principles, Recent Advances, and Future Developments. Crystals. 2019; 9(6):292. https://doi.org/10.3390/cryst9060292
Chicago/Turabian StyleHe, Ziqian, Fangwang Gou, Ran Chen, Kun Yin, Tao Zhan, and Shin-Tson Wu. 2019. "Liquid Crystal Beam Steering Devices: Principles, Recent Advances, and Future Developments" Crystals 9, no. 6: 292. https://doi.org/10.3390/cryst9060292
APA StyleHe, Z., Gou, F., Chen, R., Yin, K., Zhan, T., & Wu, S.-T. (2019). Liquid Crystal Beam Steering Devices: Principles, Recent Advances, and Future Developments. Crystals, 9(6), 292. https://doi.org/10.3390/cryst9060292





