Single-Crystal Growth of Metallic Rare-Earth Tetraborides by the Floating-Zone Technique
Abstract
1. Introduction
2. Methods
3. Results
3.1. Polycrystalline Synthesis
3.1.1. Arc Melting
3.1.2. Borothermal Reduction
3.2. Crystal Growth
3.2.1. NdB
3.2.2. GdB
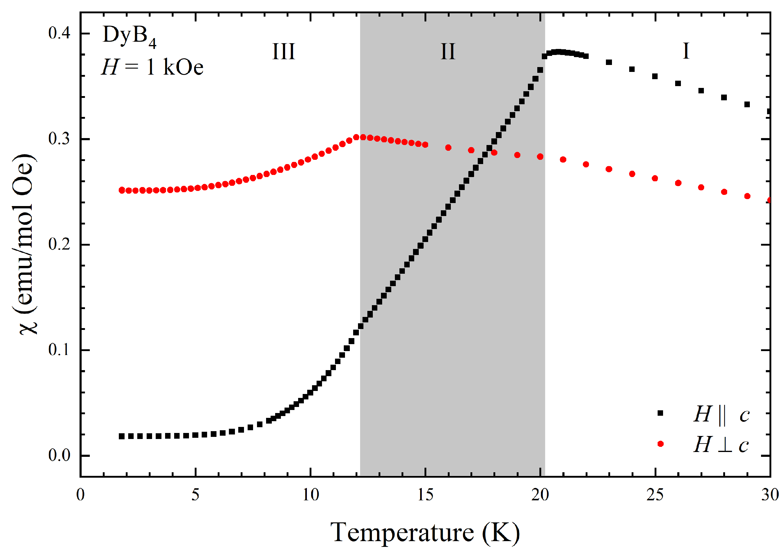
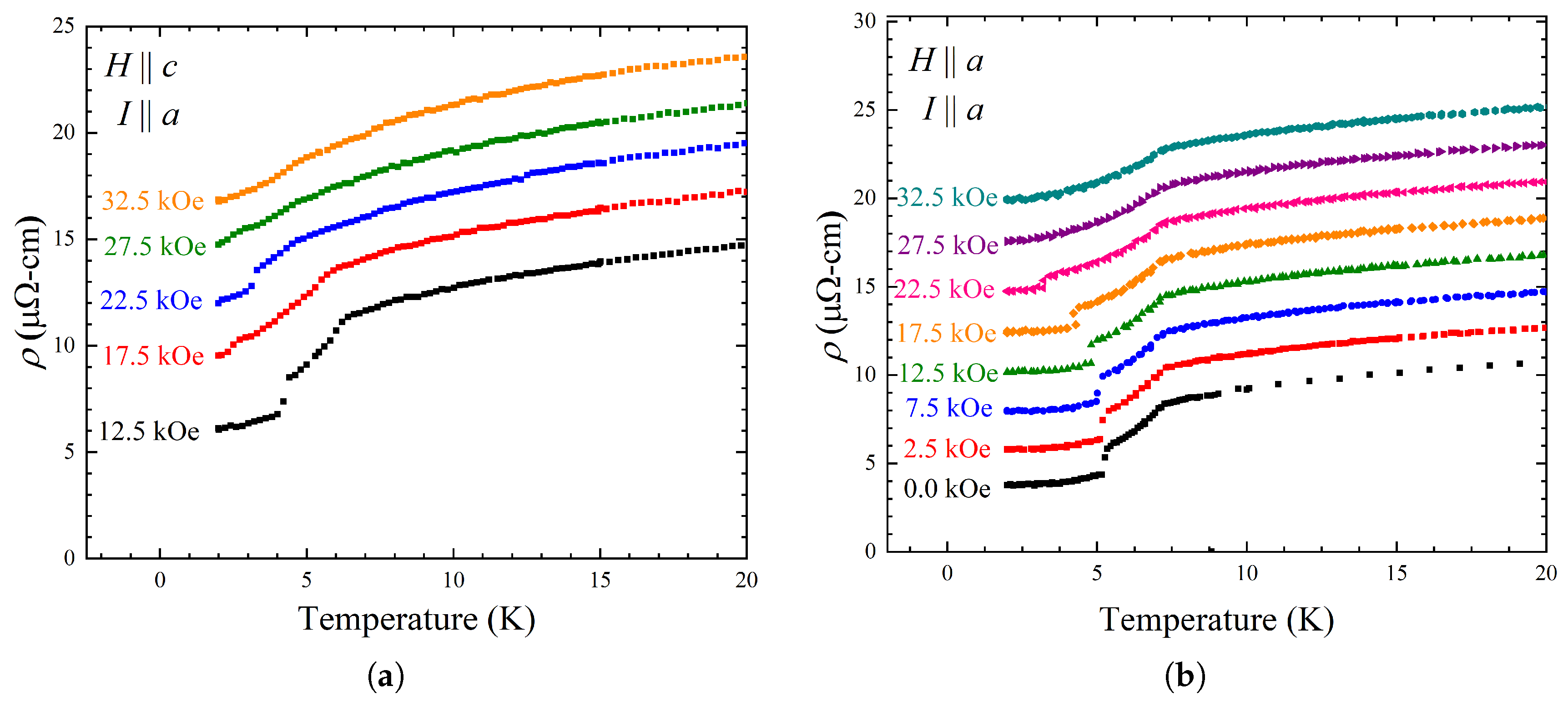
3.2.3. DyB
3.2.4. HoB
3.2.5. ErB
3.2.6. TmB
3.2.7. TbB and YB
4. Summary
Author Contributions
Funding
Acknowledgments
Conflicts of Interest
References
- Ramirez, A.P. Strongly Geometrically Frustrated Magnets. Annu. Rev. Mater. Sci. 1994, 24, 453–480. [Google Scholar] [CrossRef]
- Gardner, J.S.; Gingras, M.J.P.; Greedan, J.E. Magnetic pyrochlore oxides. Rev. Mod. Phys. 2010, 82, 53–107. [Google Scholar] [CrossRef]
- Schiffer, P.; Ramirez, A.P.; Huse, D.A.; Valentino, A.J. Investigation of the field induced antiferromagnetic phase transition in the frustrated magnet: Gadolinium gallium garnet. Phys. Rev. Lett. 1994, 73, 2500–2503. [Google Scholar] [CrossRef] [PubMed]
- Chalker, J.T.; Eastmond, J.F.G. Ground-state disorder in the spin-1/2 kagomé Heisenberg antiferromagnet. Phys. Rev. B 1992, 46, 14201–14204. [Google Scholar] [CrossRef]
- Shastry, S.; Sutherland, B. Exact ground state of a quantum mechanical antiferromagnet. Physica B+C 1981, 108, 1069–1070. [Google Scholar] [CrossRef]
- Mat’aš, S.; Siemensmeyer, K.; Wheeler, E.; Wulf, E.; Beyer, R.; Hermannsdörfer, T.; Ignatchik, O.; Uhlarz, M.; Flachbart, K.; Gabáni, S.; et al. Magnetism of rare earth tetraborides. J. Phys. Conf. Ser. 2010, 200, 032041. [Google Scholar] [CrossRef]
- Takigawa, M.; Waki, T.; Horvatić, M.; Berthier, C. Novel ordered phases in the orthogonal dimer spin system SrCu2(BO3)2. J. Phys. Soc. Jpn. 2010, 79, 011005. [Google Scholar] [CrossRef]
- Miyahara, S.; Ueda, K. Theory of the orthogonal dimer Heisenberg spin model for SrCu2(BO3)2. J. Phys. Condens. Matter 2003, 15, R327. [Google Scholar] [CrossRef]
- Okuyama, D.; Matsumura, T.; Nakao, H.; Murakami, Y. Quadrupolar frustration in Shastry–Sutherland lattice of DyB4 studied by resonant X-ray scattering. J. Phys. Soc. Jpn. 2005, 74, 2434–2437. [Google Scholar] [CrossRef]
- Werheit, H.; Filipov, V.; Shitsevalova, N.; Armbrüster, M.; Schwarz, U.; Ievdokimova, A.; Muratov, V.; Gurin, V.N.; Korsukova, M.M. Raman scattering in rare earths tetraborides. Solid State Sci. 2014, 31, 24–32. [Google Scholar] [CrossRef]
- Etourneau, J.; Hagenmuller, P. Structure and physical features of the rare-earth borides. Philos. Mag. B 1985, 52, 589–610. [Google Scholar] [CrossRef]
- Schäfer, W.; Will, G.; Buschow, K.H.J. The magnetic structure of the rare earth tetraborides ErB4 and DyB4. J. Chem. Phys. 1976, 64, 1994–1997. [Google Scholar] [CrossRef]
- Blanco, J.A.; Brown, P.J.; Stunault, A.; Katsumata, K.; Iga, F.; Michimura, S. Magnetic structure of GdB4 from spherical neutron polarimetry. Phys. Rev. B 2006, 73, 212411. [Google Scholar] [CrossRef]
- Yamauchi, H.; Metoki, N.; Watanuki, R.; Suzuki, K.; Fukazawa, H.; Chi, S.; Fernandez-Baca, J.A. Magnetic structure and quadrupolar order parameter driven by geometrical frustration effect in NdB4. J. Phys. Soc. Jpn. 2017, 86, 044705. [Google Scholar] [CrossRef]
- Metoki, N.; Yamauchi, H.; Matsuda, M.; Fernandez-Baca, J.A.; Watanuki, R.; Hagihala, M. Polarized neutron scattering study of the multiple order parameter system NdB4. Phys. Rev. B 2018, 97, 174416. [Google Scholar] [CrossRef]
- Okuyama, D.; Matsumura, T.; Iwasa, K.; Murakami, Y. Magnetic phase transition in studied by neutron diffraction. J. Magn. Magn. Mater. 2007, 310, e152–e154. [Google Scholar] [CrossRef]
- Michimura, S.; Shigekawa, A.; Iga, F.; Takabatake, T.; Ohoyama, K. Complex Magnetic Structures of a Shastry–Sutherland Lattice TmB4 Studied by Powder Neutron Diffraction Analysis. J. Phys. Soc. Jpn. 2009, 78, 024707. [Google Scholar] [CrossRef]
- Brunt, D.; Balakrishnan, G.; Wildes, A.R.; Ouladdiaf, B.; Qureshi, N.; Petrenko, O.A. Field-induced magnetic states in holmium tetraboride. Phys. Rev. B 2017, 95, 024410. [Google Scholar] [CrossRef]
- Siemensmeyer, K.; Wulf, E.; Mikeska, H.J.; Flachbart, K.; Gabáni, S.; Mat’aš, S.; Priputen, P.; Efdokimova, A.; Shitsevalova, N. Fractional magnetization plateaus and magnetic order in the Shastry-Sutherland magnet TmB4. Phys. Rev. Lett. 2008, 101, 177201. [Google Scholar] [CrossRef]
- Otani, S.; Korsukova, M.; Mitsuhashi, T.; Kieda, N. Floating zone growth and high-temperature hardness of YB4 and YB6 single crystals. J. Cryst. Growth 2000, 217, 378–382. [Google Scholar] [CrossRef]
- Balakrishnan, G.; Lees, M.R.; Paul, D.M. Growth of large single crystals of rare earth hexaborides. J. Cryst. Growth 2003, 256, 206–209. [Google Scholar] [CrossRef][Green Version]
- Ciomaga Hatnean, M.; Lees, M.R.; Paul, D.M.; Balakrishnan, G. Large, high quality single-crystals of the new Topological Kondo Insulator, SmB6. Sci. Rep. 2013, 3, 3071. [Google Scholar] [CrossRef] [PubMed]
- Fisk, Z.; Cooper, A.; Schmidt, P.H.; Castellano, R.N. Preparation and lattice parameters of the rare earth tetraborides. Mater. Res. Bull. 1972, 7, 285–288. [Google Scholar] [CrossRef]
- Berrada, A.; Mercurio, J.P.; Chevalier, B.; Etourneau, J.; Hagenmuller, P.; Lalanne, M.; Gianduzzo, J.C.; Georges, R. Synthese, cristallogenese, proprietes magnetiques et effets magnetostrictifs spontanes de quelques tetraborures de terres rares. Mater. Res. Bull. 1976, 11, 1519–1526. [Google Scholar] [CrossRef]
- Matsumura, T.; Okuyama, D.; Mouri, T.; Murakami, Y. Successive magnetic phase transitions of component orderings in DyB4. J. Phys. Soc. Jpn. 2011, 80, 074701. [Google Scholar] [CrossRef]
- Michimura, S.; Shigekawa, A.; Iga, F.; Sera, M.; Takabatake, T.; Kikkawa, A.; Tanaka, Y.; Katsumata, K. Field-induced lattice distortion in single crystal ErB4 observed by X-ray diffraction. J. Magn. Magn. Mater. 2007, 310, e446–e447. [Google Scholar] [CrossRef]
- Iga, F.; Shigekawa, A.; Hasegawa, Y.; Michimura, S.; Takabatake, T.; Yoshii, S.; Yamamoto, T.; Hagiwara, M.; Kindo, K. Highly anisotropic magnetic phase diagram of a 2-dimensional orthogonal dimer system TmB4. J. Magn. Magn. Mater. 2007, 310, e443–e445. [Google Scholar] [CrossRef]
- Yoshii, S.; Yamamoto, T.; Hagiwara, M.; Michimura, S.; Shigekawa, A.; Iga, F.; Takabatake, T.; Kindo, K. Multistep magnetization plateaus in the Shastry-Sutherland system TbB4. Phys. Rev. Lett. 2008, 101, 087202. [Google Scholar] [CrossRef]
- Rodríguez-Carvajal, J. Recent advances in magnetic structure determination by neutron powder diffraction. Physica B 1993, 192, 55–69. [Google Scholar] [CrossRef]
- Liao, P.K.; Spear, K.E.; Schlesinger, M.E. The B-Nd (boron-neodymium) system. J. Phase Equilibria 1996, 17, 335–339. [Google Scholar] [CrossRef]
- Liao, P.K.; Spear, K.E.; Schlesinger, M.E. The B-Gd (boron-gadolinium) system. J. Phase Equilibria 1996, 17, 330–334. [Google Scholar] [CrossRef]
- Liao, P.K.; Spear, K.E. The B-Tb (Boron-Terbium) system. Bull. Alloy Phase Diagr. 1990, 11, 325–328. [Google Scholar] [CrossRef]
- Liao, P.K.; Spear, K.E.; Schlesinger, M.E. The B-Er (boron-erbium) system. J. Phase Equilibria 1996, 17, 326–329. [Google Scholar] [CrossRef]
- Liao, P.K.; Spear, K.E. The B-Y (boron-yttrium) system. J. Phase Equilibria 1995, 16, 521–524. [Google Scholar] [CrossRef]
- Liao, P.K.; Spear, K.E. The lesser-known B-Ln (Boron-Lanthanide) systems: B-Dy (Boron-Dysprosium), B-Ho (Boron-Holmium), B-Lu (Boron-Lutetium), B-Pr (Boron-Praseodymium), B-Tm (Boron-Thulium), and B-Yb (Boron-Ytterbium). J. Phase Equilibria 1998, 19, 49–55. [Google Scholar]
- Matkovich, V. (Ed.) Boron and Refractory Borides; Springer: Heidelberg, Germany, 1977. [Google Scholar]
- Eick, H.A.; Gilles, P.W. Precise lattice parameters of selected rare earth tetra- and hexa-borides. J. Am. Chem. Soc. 1959, 81, 5030–5032. [Google Scholar] [CrossRef]
- Salamakha, P.; Gonçalves, A.; Sologub, O.; Almeida, M. Single crystal investigation of the binary NdB4 compound. J. Alloys Compd. 2001, 316, L4–L6. [Google Scholar] [CrossRef]
- Watanuki, R.; Kobayashi, T.; Noguchi, R.; Suzuki, K. Possible multipolar transition in NdB4. J. Phys. Conf. Ser. 2009, 150, 042229. [Google Scholar] [CrossRef]
- Brunt, D.; Balakrishnan, G.; Mayoh, D.A.; Lees, M.R.; Gorbunov, D.; Qureshi, N.; Petrenko, O.A. Magnetisation process in the rare earth tetraborides, NdB4 and HoB4. Sci. Rep. 2018, 8, 232. [Google Scholar] [CrossRef]
- Garland, M.T.; Wiff, J.P.; Bauer, J.; Guérin, R.; Saillard, J.Y. The X-ray and electronic structures of GdB4. Solid State Sci. 2003, 5, 705–710. [Google Scholar] [CrossRef]
- Watanuki, R.; Sato, G.; Suzuki, K.; Ishihara, M.; Yanagisawa, T.; Nemoto, Y.; Goto, T. Geometrical quadrupolar frustration in DyB4. J. Phys. Soc. Jpn. 2005, 74, 2169–2172. [Google Scholar] [CrossRef]
- Watanuki, R.; Mitamura, H.; Sakakibara, T.; Sato, G.; Suzuki, K. Physical properties and phase diagram of geometrically quadrupolar frustrated system DyB4. Physica B 2006, 378, 594–595. [Google Scholar] [CrossRef]
- Okuyama, D.; Matsumura, T.; Mouri, T.; Ishikawa, N.; Ohoyama, K.; Hiraka, H.; Nakao, H.; Iwasa, K.; Murakami, Y. Competition of magnetic and quadrupolar order parameters in HoB4. J. Phys. Soc. Jpn. 2008, 77, 044709. [Google Scholar] [CrossRef]
- Kim, J.Y.; Cho, B.K.; Han, S.H. Anisotropic magnetic phase diagrams of HoB4 single crystal. J. Appl. Phys. 2009, 105, 07E116. [Google Scholar] [CrossRef]
- Heiba, Z.; Schäfer, W.; Jansen, E.; Will, G. Low-temperature structural phase transitions of TbB4 and ErB4 studied by high resolution X-ray diffraction and profile analysis. J. Phys. Chem. Solids 1986, 47, 651–658. [Google Scholar] [CrossRef]
- Okada, S.; Kudou, K.; Yu, Y.; Lundström, T. Growth conditions and some properties of TmB4 and TmAlB4 single crystals obtained from high-temperature aluminium metal solution. Jpn. J. Appl. Phys. 1994, 33, 2663–2666. [Google Scholar] [CrossRef]
Sample Availability: Crystal samples of the RB4 compounds are available from the authors. |












| RB | Growth Rate (mm/h) | Atmosphere | Pressure (bar) | Feed/Seed Rod Rotation Rate (rpm) |
|---|---|---|---|---|
| NdB | 15–18 | Ar | 2–6 | 15–25 |
| GdB | 18 | Ar | 4 | 15–20 |
| TbB | 12–15 | Ar | 4 | 15–25 |
| DyB | 18 | Ar | 2 | 20–25 |
| HoB | 5–18 | Ar | 3–5 | 15–20 |
| ErB | 10–15 | Ar | 2–3 | 15–25 |
| TmB | 15–18 | Ar | 5–6 | 15–25 |
| YB | 20 | Ar | 6 | 20–25 |
| R | Previous Literature | |||||
|---|---|---|---|---|---|---|
| Lattice Parameters | GOF | Lattice Parameters | Refs. | |||
| a (Å) | c (Å) | a (Å) | c (Å) | |||
| Nd | 7.21993(3) | 4.10330(2) | 1.70 | 7.219(1) | 4.1020(5) | [37,38] |
| Gd | 7.1435(2) | 4.0473(2) | 1.36 | 7.144(1) | 4.0479(5) | [37,41] |
| Dy | 7.0989(3) | 4.0183(2) | 1.23 | 7.101(1) | 4.0174(5) | [12,37] |
| Ho | 7.08674(3) | 4.00825(2) | 2.36 | 7.086(1) | 4.0079(5) | [23,37,44] |
| Er | 7.0705(1) | 3.99710(8) | 1.90 | 7.071(1) | 3.9972(5) | [37,46] |
| Tm | 7.05563(8) | 3.98605(5) | 1.92 | 7.0550(3) | 3.9870(3) | [23,47] |
© 2019 by the authors. Licensee MDPI, Basel, Switzerland. This article is an open access article distributed under the terms and conditions of the Creative Commons Attribution (CC BY) license (http://creativecommons.org/licenses/by/4.0/).
Share and Cite
Brunt, D.; Ciomaga Hatnean, M.; Petrenko, O.A.; Lees, M.R.; Balakrishnan, G. Single-Crystal Growth of Metallic Rare-Earth Tetraborides by the Floating-Zone Technique. Crystals 2019, 9, 211. https://doi.org/10.3390/cryst9040211
Brunt D, Ciomaga Hatnean M, Petrenko OA, Lees MR, Balakrishnan G. Single-Crystal Growth of Metallic Rare-Earth Tetraborides by the Floating-Zone Technique. Crystals. 2019; 9(4):211. https://doi.org/10.3390/cryst9040211
Chicago/Turabian StyleBrunt, Daniel, Monica Ciomaga Hatnean, Oleg A. Petrenko, Martin R. Lees, and Geetha Balakrishnan. 2019. "Single-Crystal Growth of Metallic Rare-Earth Tetraborides by the Floating-Zone Technique" Crystals 9, no. 4: 211. https://doi.org/10.3390/cryst9040211
APA StyleBrunt, D., Ciomaga Hatnean, M., Petrenko, O. A., Lees, M. R., & Balakrishnan, G. (2019). Single-Crystal Growth of Metallic Rare-Earth Tetraborides by the Floating-Zone Technique. Crystals, 9(4), 211. https://doi.org/10.3390/cryst9040211

