Two-Layer Erbium-Doped Air-Core Circular Photonic Crystal Fiber Amplifier for Orbital Angular Momentum Mode Division Multiplexing System
Abstract
1. Introduction
2. Theory
3. Modeling of the OAM-EDFA
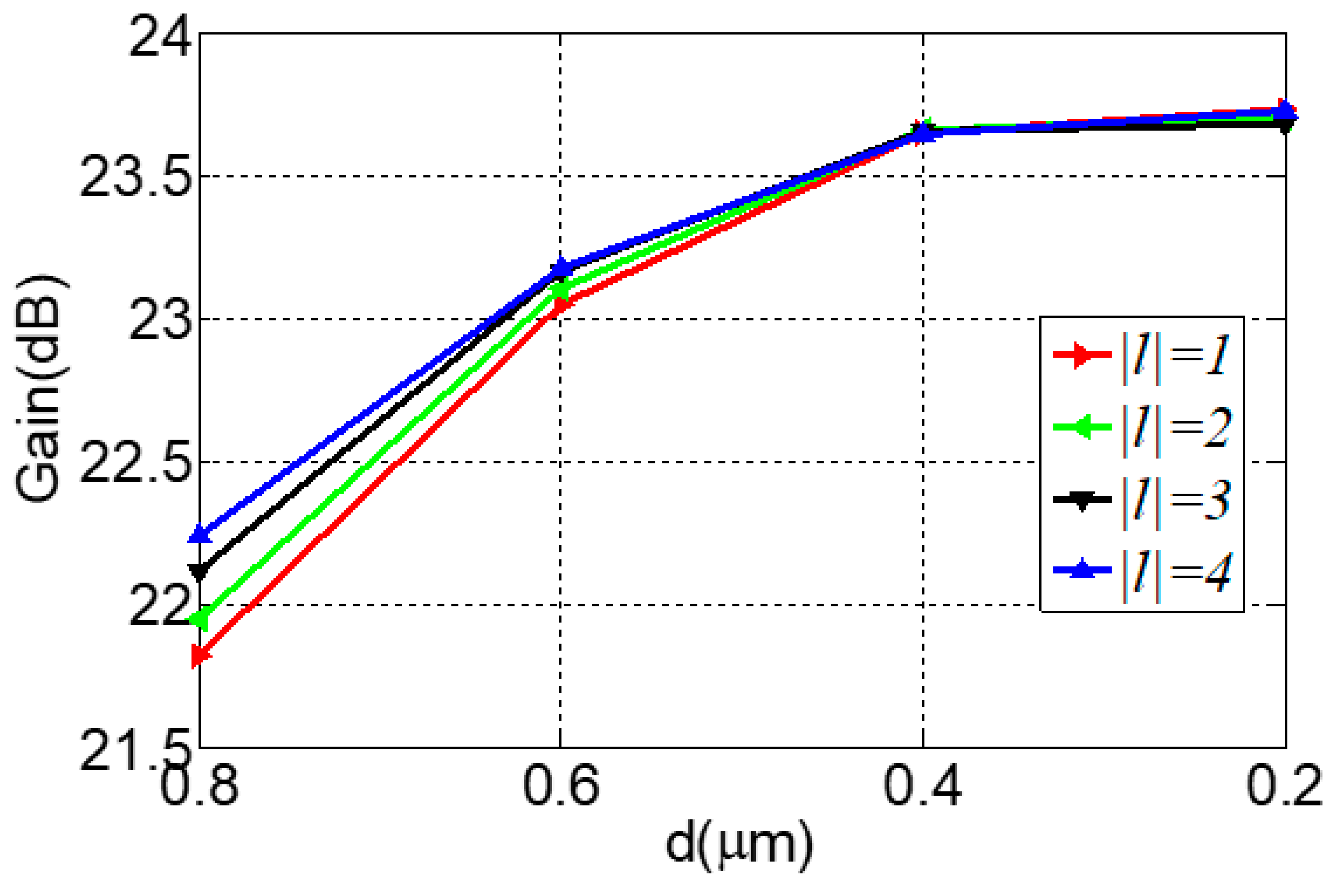
4. Analysis and Optimization
5. Conclusions
Author Contributions
Funding
Conflicts of Interest
References
- Richardson, D.J.; Fini, J.M.; Nelson, L.E. Space-division multiplexing in optical fibres. Nat. Photonics 2013, 7, 354–362. [Google Scholar] [CrossRef]
- Allen, L.; Beijersbergen, M.W.; Spreeuw, R.; Woerdman, J. Orbital angular momentum of light and the transformation of Laguerre-Gaussian laser modes. Phys. Rev. A 1992, 45, 8185–8189. [Google Scholar] [CrossRef] [PubMed]
- Ramachandran, S.; Kristensen, P. Optical vortices in fiber. Nanophotonics 2013, 2, 455–474. [Google Scholar] [CrossRef]
- Brunet, C.; Rusch, L.A. Optical fibers for the transmission of orbital angular momentum modes. Opt. Fiber Technol. 2016, 31, 172–177. [Google Scholar] [CrossRef]
- Yao, A.M.; Padgett, M.J. Orbital angular momentum: Origins, behavior and applications. Adv. Opt. Photonics 2011, 3, 161–204. [Google Scholar] [CrossRef]
- Chen, H.; Hao, J.; Zhang, B.; Xu, J.; Ding, J.; Wang, H. Generation of vector beam with space-variant distribution of both polarization and phase. Opt. Lett. 2011, 36, 3179–3181. [Google Scholar] [CrossRef] [PubMed]
- Robert, D.N.; Mark, E.S.; Juliet, T.G. Continuously tunable orbital angular momentum generation using a polarization-maintaining fiber. Opt. Lett. 2016, 41, 3213–3216. [Google Scholar]
- José, F.A.; Urruchi, V.; Braulio, G.; José, M.S. Generation of optical vortices by an ideal liquid crystal spiral phase plate. IEEE Electron Device Lett. 2014, 35, 856–858. [Google Scholar] [CrossRef]
- Andrey, S.O.; Rickenstorff-Parrao, C.; Arrizón, V. Generation of the “perfect” optical vortex using a liquid-crystal spatial light modulator. Opt. Lett. 2013, 38, 534–536. [Google Scholar]
- Kotova, S.P.; Mayorova, A.M.; Samagin, S.A. Formation of ring-shaped light fields with orbital angular momentum using a modal type liquid crystal spatial modulator. J. Opt. 2018, 20, 055604. [Google Scholar] [CrossRef]
- Yan, Y.; Yue, Y.; Huang, H.; Yang, J.; Chitgarha, M.R.; Ahmed, N.; Tur, M.; Dolinar, S.J.; Willner, A.E. Efficient generation and multiplexing of optical orbital angular momentum modes in a ring fiber by using multiple coherent inputs. Opt. Lett. 2012, 37, 3645–3647. [Google Scholar] [CrossRef] [PubMed]
- Li, S.; Wang, J. Multi-orbital-angular-momentum multi-ring fiber for high-density space-division multiplexing. IEEE Photonics J. 2013, 5. [Google Scholar] [CrossRef]
- Yue, Y.; Yan, Y.; Ahmed, N.; Yang, J.; Zhang, L.; Ren, Y.; Huang, H.; Birnbaum, K.M.; Erkmen, B.I.; Dolinar, S.; et al. Mode properties and propagation effects of optical orbital angular momentum (OAM) modes in a ring fiber. IEEE Photonics J. 2012, 4, 535–543. [Google Scholar]
- Brunet, C.; Vaity, P.; Messaddeq, Y.; LaRochelle, S.; Rusch, L.A. Design, fabrication and validation of an OAM fiber supporting 36 states. Opt. Express 2014, 22, 26117–26127. [Google Scholar] [CrossRef] [PubMed]
- Wang, L.; Nejad, R.M.; Corsi, A.; Lin, J.; Messaddeq, Y.; LaRochelle, S.; Rusch, L.A. Linearly polarized vector modes: Enabling MIMO-free mode-division multiplexing. Opt. Express 2017, 25, 11736–11749. [Google Scholar] [CrossRef] [PubMed]
- Zhang, H.; Zhang, X.; Li, H.; Deng, Y.; Xi, L.; Tang, X.; Zhang, W. The orbital angular momentum modes supporting fibers based on the photonic crystal fiber structure. Crystals 2017, 7, 286. [Google Scholar] [CrossRef]
- Zhang, H.; Zhang, W.; Xi, L.; Tang, X.; Zhang, X.; Zhang, X. A new type circular photonic crystal fiber for orbital angular momentum mode transmission. IEEE Photonics Technol. Lett. 2016, 28, 1426–1429. [Google Scholar] [CrossRef]
- Zhang, H.; Zhang, W.; Xi, L.; Tang, X.; Zhang, X. A New Design of a Circular Photonic Crystal Fiber Supporting 42 OAM Modes. In Proceedings of the Australian Conference on Optical Fibre Technology, Sydney, Australia, 5–8 September 2016; pp. 1–2. [Google Scholar]
- Zhang, H.; Zhang, X.; Li, H.; Deng, Y.; Zhang, X.; Xi, L.; Tang, X.; Zhang, W. A design strategy of the circular photonic crystal fiber supporting good quality orbital angular momentum mode transmission. Opt. Commun. 2017, 397, 59–66. [Google Scholar] [CrossRef]
- Bozinovic, N.; Yue, Y.; Ren, Y.; Tur, M.; Kristensen, P.; Huang, H.; Willner, A.E.; Ramachandran, S. Terabit scale orbital angular momentum mode division multiplexing in fibers. Science 2013, 340, 1545–1548. [Google Scholar] [CrossRef] [PubMed]
- Wang, A.; Zhu, L.; Chen, S.; Du, C.; Mo, Q.; Wang, J. Characterization of LDPC-coded orbital angular momentum modes transmission and multiplexing over a 50 km fiber. Opt. Express 2016, 24, 11716–11726. [Google Scholar] [CrossRef] [PubMed]
- Qian, X.; Boucouvalas, A.C. Propagation Characteristics of single-mode optical fibers with arbitrary complex index profiles. IEEE J. Quantum Elect. 2006, 40, 771–777. [Google Scholar] [CrossRef]
- Kang, Q.; Gregg, P.; Jung, Y.; Lim, E.L.; Alam, S.; Ramachandran, S.; Richardson, D.J. Amplification of 12 OAM Modes in an air-core erbium doped fiber. Opt. Express 2015, 23, 28341–28348. [Google Scholar] [CrossRef] [PubMed]
- Kang, Q.; Lim, E.L.; Jung, Y.; Poletti, F.; Alam, S.; Richardson, D.J. Design of Four-Mode Erbium Doped Fiber Amplifier with Low Differential Modal Gain for Modal Division Multiplexed Transmissions. In Proceedings of the Optical Fiber Communication Conference and Exposition and the National Fiber Optic Engineers Conference IEEE, Anaheim, CA, USA, 17–21 March 2013; pp. 1–3. [Google Scholar]
- Kang, Q.; Lim, E.L.; Poletti, F.; Jung, Y.; Baskiotis, C.; Alam, S.; Richardson, D.J. Minimizing differential modal gain in cladding-pumped EDFAs supporting four and six mode groups. Opt. Express 2014, 22, 21499–21507. [Google Scholar] [CrossRef] [PubMed]
- Jung, Y.; Kang, Q.; Sidharthan, R.; Ho, D.; Yoo, S.; Gregg, P.; Ramachandran, S.; Alam, S.; Richardson, D.J. Optical orbital angular momentum amplifier based on an air-hole erbium-doped fiber. J. Lightwave Technol. 2017, 35, 430–436. [Google Scholar] [CrossRef]
- Ma, J.; Xia, F.; Li, S.; Wang, J. Design of Orbital Angular Momentum (OAM) Erbium Doped Fiber Amplifier with Low Differential Modal Gain. In Proceedings of the Optical Fiber Communication Conference and Exposition/National Fiber Optic Engineers Conference IEEE, Los Angeles, CA, USA, 22–26 March 2015; pp. 1–3. [Google Scholar]
- Deng, Y.; Zhang, H.; Li, H.; Tang, X.; Zhang, X.; Xi, L.; Zhang, W.; Zhang, X. Erbium-doped amplification in circular photonic crystal fiber supporting orbital angular momentum modes. Appl. Opt. 2017, 56, 1748–1752. [Google Scholar] [CrossRef] [PubMed]
- Giles, C.R.; Desurvire, E. Modeling erbium-doped fiber amplifiers. J. Lightwave Technol. 1991, 9, 271–283. [Google Scholar] [CrossRef]
- Bigot, L.; Le Cocq, G.; Quiquempois, Y. Few-mode erbium-doped fiber amplifiers: A review. J. Lightwave Technol. 2015, 33, 588–596. [Google Scholar] [CrossRef]
- Varshney, S.K.; Saitoh, K.; Koshiba, M.; Pal, B.P.; Sinha, R.K. Design of S-band erbium-doped concentric dual-core photonic crystal fiber amplifiers with ASE suppression. J. Lightwave Technol. 2009, 27, 1725–1733. [Google Scholar] [CrossRef]
- Le Cocq, G.; Quiquempois, Y.; Le Rouge, A.; Bouwmans, G.; El Hamzaoui, H.; Delplace, K.; Bouazaoui, M.; Bigot, L. Few mode Er3+-doped fiber with micro-structured core for mode division multiplexing in the C-band. Opt. Express 2013, 21, 31646–31659. [Google Scholar] [CrossRef] [PubMed]
- Saitoh, S.; Saitoh, K.; Kashiwagi, M.; Matsuo, S.; Dong, L. Design optimization of large-mode-area all-solid photonic bandgap fibers for high-power laser applications. J. Lightwave Technol. 2014, 32, 440–449. [Google Scholar] [CrossRef]
- Zhou, G.; Zhou, G.; Chen, C.; Xu, M.; Xia, C.; Hou, Z. Design and analysis of a microstructure ring fiber for orbital angular momentum transmission. IEEE Photonics J. 2017, 8, 1–12. [Google Scholar] [CrossRef]
- Li, H.; Zhang, H.; Zhang, X.; Zhang, Z.; Xi, L.; Tang, X.; Zhang, W.; Zhang, X. Design tool for circular photonic crystal fibers supporting orbital angular momentum modes. Appl. Opt. 2018, 57, 2474–2481. [Google Scholar] [CrossRef] [PubMed]
- Tandje, A.; Yammine, J.; Bouwmans, G.; Dossou, M.; Vianou, A.; Andresen, E.R.; Bigot, L. Design and Fabrication of a Ring-Core Photonic Crystal Fiber for Low-Crosstalk Propagation of OAM Modes. In Proceedings of the European Conference on Optical Communication IEEE, Rome, Italy, 23–25 September 2018; pp. 1–3. [Google Scholar]
- Chen, Y.; Liu, Z.; Sandoghchi, S.R.; Jasion, G.T.; Bradley, T.D.; Fokoua, E.N.; Hayes, J.R.; Wheeler, N.V.; Gray, D.R.; Mangan, B.J.; et al. Multi-kilometer long, longitudinally uniform hollow core photonic bandgap fibers for broadband low latency data transmission. J. Lightwave Technol. 2016, 34, 104–113. [Google Scholar] [CrossRef]
- Foroni, M.; Passaro, D.; Poli, F.; Cucinotta, A.; Selleri, S.; Lægsgaard, J.; Bjarklev, A.O. Guiding properties of silica/air hollow-core bragg fibers. J. Lightwave Technol. 2008, 26, 1877–1884. [Google Scholar] [CrossRef]






© 2019 by the authors. Licensee MDPI, Basel, Switzerland. This article is an open access article distributed under the terms and conditions of the Creative Commons Attribution (CC BY) license (http://creativecommons.org/licenses/by/4.0/).
Share and Cite
Zhang, H.; Han, D.; Xi, L.; Zhang, Z.; Zhang, X.; Li, H.; Zhang, W. Two-Layer Erbium-Doped Air-Core Circular Photonic Crystal Fiber Amplifier for Orbital Angular Momentum Mode Division Multiplexing System. Crystals 2019, 9, 156. https://doi.org/10.3390/cryst9030156
Zhang H, Han D, Xi L, Zhang Z, Zhang X, Li H, Zhang W. Two-Layer Erbium-Doped Air-Core Circular Photonic Crystal Fiber Amplifier for Orbital Angular Momentum Mode Division Multiplexing System. Crystals. 2019; 9(3):156. https://doi.org/10.3390/cryst9030156
Chicago/Turabian StyleZhang, Hu, Di Han, Lixia Xi, Zhuo Zhang, Xiaoguang Zhang, Hui Li, and Wenbo Zhang. 2019. "Two-Layer Erbium-Doped Air-Core Circular Photonic Crystal Fiber Amplifier for Orbital Angular Momentum Mode Division Multiplexing System" Crystals 9, no. 3: 156. https://doi.org/10.3390/cryst9030156
APA StyleZhang, H., Han, D., Xi, L., Zhang, Z., Zhang, X., Li, H., & Zhang, W. (2019). Two-Layer Erbium-Doped Air-Core Circular Photonic Crystal Fiber Amplifier for Orbital Angular Momentum Mode Division Multiplexing System. Crystals, 9(3), 156. https://doi.org/10.3390/cryst9030156
