Representative Stress Correlation of Global Scratch Quantities at Scratch Testing: Experimental Verification
Abstract
1. Introduction
2. Theoretical Background
- Scratching is performed with a sharp rigid cone indenter with β = 22°, see Figure 2 with definition of β. In this context it seems appropriate to define clearly the sharp indenter as a pointed upside-down cone with sufficiently small tip radius to ensure self-similarity conditions.
- The indented material specimen is large and the material is monolithic.
- Quasi-static and steady-state conditions are assumed.
- The indentation depth h is defined positive in the negative surface normal direction.
- An is the normally projected contact area between stylus and material, At the corresponding tangentially projected contact area, Pn is the normal contact load at scratching and Pt is the corresponding tangential load. This defines normal scratch hardness as:and the tangential hardness as:Hn = Pn/AnHt = Pt/At.Classical rate-independent elasto-plasticity, accounting for large deformations, is assumed to prevail with a power law strain-hardening behavior:where σ(εp) is the flow stress, σY is the initial yield stress, εp is, as previously stated, the effective plastic strain, and n is the hardening exponent.σ(εp) = σY + σ0(εp)n
- The representative stress value is defined as:where εrep is the effective strain at a representative value of the plastic strain.σrep = σ(εrep),
Ĥn = Hn/σrep = 2.35 (Level III, Λ ≥ 25 approximately)
σrep = σ(εp = 0.39) (Level III, Λ ≥ 25 approximately)
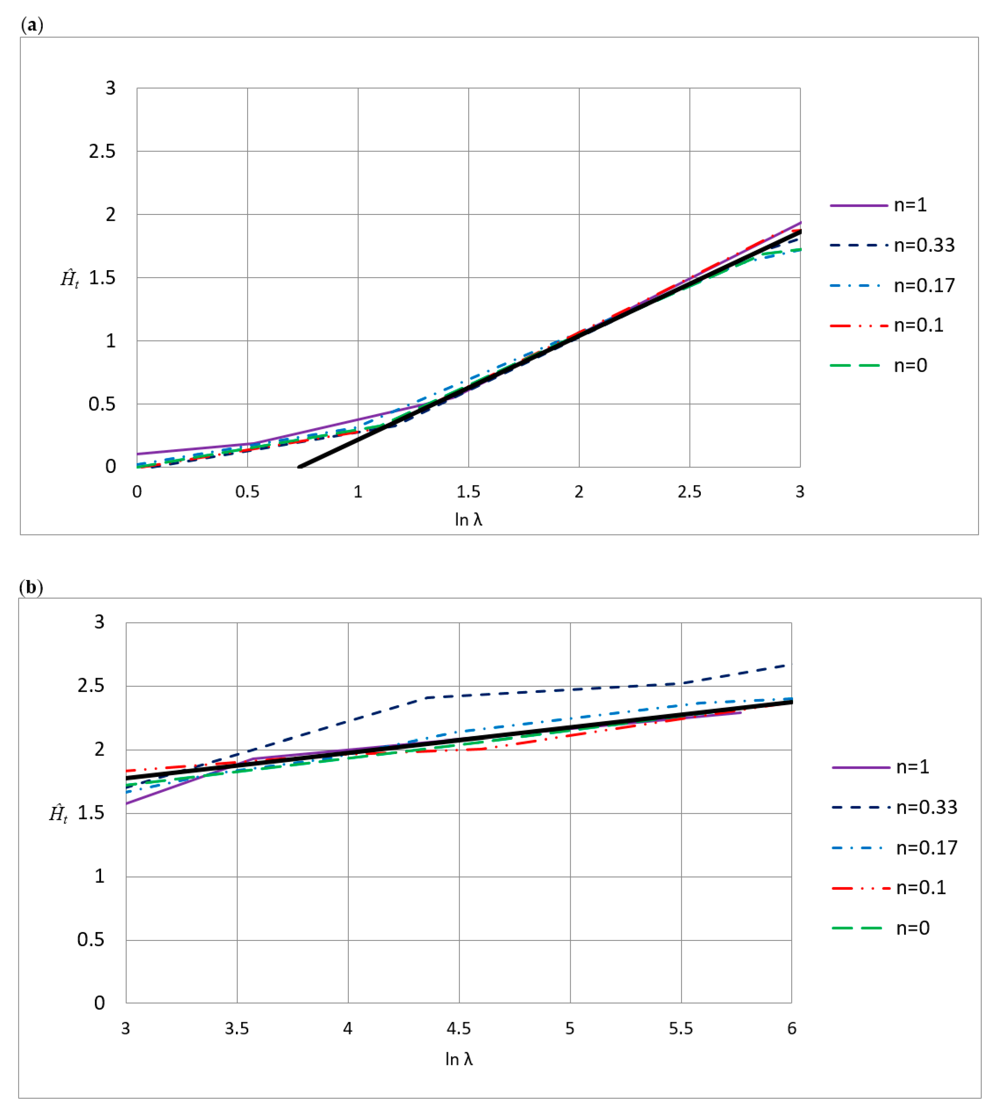
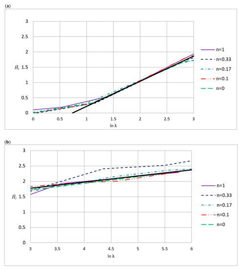
Ĥt = Ht/σrep = 1.175 + 0.2lnΛ (Level III, Λ ≥ 25 approximately)
3. Experiments and Materials
4. Results and Discussion
5. Conclusions
Funding
Conflicts of Interest
References
- Sneddon, I.N. The relation between load and penetration in the axisymmetric Boussinesq problem for a punch of arbitrary profile. Int. J. Eng. Sci. 1965, 3, 47–57. [Google Scholar] [CrossRef]
- Tabor, D. Hardness of Metals; Cambridge University Press: Cambridge, UK, 1951. [Google Scholar]
- Johnson, K.L. The correlation of indentation experiments. J. Mech. Phys. Solids 1970, 18, 115–126. [Google Scholar] [CrossRef]
- Johnson, K.L. Contact Mechanics; Cambridge University Press: Cambridge, UK, 1985. [Google Scholar]
- Atkins, A.G.; Tabor, D. Plastic indentation in metals with cones. J. Mech. Phys. Solids 1965, 13, 149–164. [Google Scholar] [CrossRef]
- Bhattachharya, A.K.; Nix, W.D. Finite element simulation of indentation experiments. Int. J. Solids Struct. 1988, 24, 881–891. [Google Scholar] [CrossRef]
- Bhattachharya, A.K.; Nix, W.D. Analysis of elastic and plastic deformation associated with indentation testing of thin films on substrates. Int. J. Solids Struct. 1988, 24, 1287–1298. [Google Scholar] [CrossRef]
- Laursen, T.A.; Simo, J.C. A study of the mechanics of microindentation using finite elements. J. Mater. Res. 1992, 7, 618–626. [Google Scholar] [CrossRef]
- Giannakopoulos, A.E.; Larsson, P.L.; Vestergaard, R. Analysis of Vickers indentation. Int. J. Solids Struct. 1994, 31, 2679–2708. [Google Scholar] [CrossRef]
- Larsson, P.L.; Giannakopoulos, A.E.; Söderlund, E.; Rowcliffe, D.J.; Vestergaard, R. Analysis of Berkovich indentation. Int. J. Solids Struct. 1996, 33, 221–248. [Google Scholar] [CrossRef]
- Mesarovic, S.D.; Fleck, N.A. Spherical indentation of elastic-plastic solids. Int. J. Solids Struct. 2000, 37, 7071–7091. [Google Scholar] [CrossRef]
- Mesarovic, S.D.; Fleck, N.A. Frictionless indentation of dissimilar elastic–plastic spheres. Proc. R. Soc. Lond. A 1999, 455, 2707–2728. [Google Scholar] [CrossRef]
- Larsson, P.L. Investigation of sharp contact at rigid plastic conditions. Int. J. Mech. Sci. 2001, 43, 895–920. [Google Scholar] [CrossRef]
- Bucaille, J.L.; Felder, E.; Hochstetter, G. Mechanical analysis of the scratch test on elastic and perfectly plastic materials with three-dimensional finite element modeling. Wear 2001, 249, 422–432. [Google Scholar] [CrossRef]
- Bucaille, J.L.; Felder, E.; Hochstetter, G. Experimental and three-dimensional finite element study of scratch test of polymers at large deformations. J. Tribol. 2004, 126, 372–379. [Google Scholar] [CrossRef]
- Felder, E.; Bucaille, J.L. Mechanical analysis of the scratching of metals and polymers with conical indenters at moderate and large strains. Tribol. Int. 2006, 39, 70–87. [Google Scholar] [CrossRef]
- Bellemare, S.; Dao, M.; Suresh, S. The frictional sliding response of elasto-plastic materials in contact with a conical indenter. Int. J. Solids Struct. 2007, 44, 1970–1989. [Google Scholar] [CrossRef]
- Wredenberg, F.; Larsson, P.L. On the numerics and correlation of scratch testing. J. Mech. Mater. Struct. 2007, 2, 573–594. [Google Scholar] [CrossRef]
- Ben Tkaya, M.; Zidi, M.; Mezlini, S.; Zahouani, H.; Kapsa, P. Influence of the attack angle on the scratch testing of an aluminium alloy by cones: Experimental and numerical studies. Mater. Des. 2008, 29, 98–104. [Google Scholar] [CrossRef]
- Wredenberg, F.; Larsson, P.L. Scratch testing of metals and polymers—Experiments and numerics. Wear 2009, 266, 76–83. [Google Scholar] [CrossRef]
- Aleksy, N.; Kermouche, G.; Vautrin, A.; Bergheau, J.M. Numerical study of scratch velocity effect on recovery of viscoelastic-viscoplastic solids. Int. J. Mech. Sci. 2010, 52, 455–463. [Google Scholar] [CrossRef]
- Bellemare, S.; Dao, M.; Suresh, S. A new method for evaluating the plastic properties of materials through instrumented frictional sliding tests. Acta Mater. 2010, 58, 6385–6392. [Google Scholar] [CrossRef]
- Larsson, P.L. On the correlation of scratch testing using separated elastoplastic and rigid plastic descriptions of the representative stress. Mater. Des. 2013, 43, 153–160. [Google Scholar] [CrossRef]
- Larsson, P.L. On representative stress correlation of global scratch quantities at scratch testing of elastoplastic materials. Mater. Des. 2013, 49, 536–544. [Google Scholar] [CrossRef]
- Larsson, P.L. On the plowing frictional behavior during scratch testing: A comparison between experimental and theoretical/numerical results. Crystals 2019, 9, 33. [Google Scholar] [CrossRef]
- Larsson, P.L. On delamination buckling and growth in circular and annular orthotropic plates. Int. J. Solids Struct. 1991, 27, 15–28. [Google Scholar] [CrossRef]
- Hutchinson, J.W.; Suo, Z. Mixed mode cracking in layered materials. Adv. Appl. Mech. 1992, 29, 63–191. [Google Scholar]








| Material | E | σY | σ(εp = 0.25) | σ(εp = 0.39) | Λ(εp = 0.25) | Λ(εp = 0.39) |
|---|---|---|---|---|---|---|
| Vinyl Ester | 3.5 | 108 | 108 | 108 | 15 | 15 |
| PMMA | 2.9 | 110 | 110 | 110 | 12 | 12 |
| Epoxy | 3.1 | 97 | 97 | 97 | 14 | 14 |
| Al7050 | 70 | 560 | 724 | 816 | 42.5 | 38 |
| Stainless steel | 200 | 560 | 625 | 805 | 146 | 113 |
© 2019 by the author. Licensee MDPI, Basel, Switzerland. This article is an open access article distributed under the terms and conditions of the Creative Commons Attribution (CC BY) license (http://creativecommons.org/licenses/by/4.0/).
Share and Cite
Larsson, P.-L. Representative Stress Correlation of Global Scratch Quantities at Scratch Testing: Experimental Verification. Crystals 2019, 9, 154. https://doi.org/10.3390/cryst9030154
Larsson P-L. Representative Stress Correlation of Global Scratch Quantities at Scratch Testing: Experimental Verification. Crystals. 2019; 9(3):154. https://doi.org/10.3390/cryst9030154
Chicago/Turabian StyleLarsson, Per-Lennart. 2019. "Representative Stress Correlation of Global Scratch Quantities at Scratch Testing: Experimental Verification" Crystals 9, no. 3: 154. https://doi.org/10.3390/cryst9030154
APA StyleLarsson, P.-L. (2019). Representative Stress Correlation of Global Scratch Quantities at Scratch Testing: Experimental Verification. Crystals, 9(3), 154. https://doi.org/10.3390/cryst9030154
