(2E)-2-[1-(1,3-Benzodioxol-5-yl)-3-(1H-imidazol-1-yl)propylidene]-N-(2-chlorophenyl)hydrazine carboxamide: Synthesis, X-ray Structure, Hirshfeld Surface Analysis, DFT Calculations, Molecular Docking and Antifungal Profile
Abstract
1. Introduction
2. Experimental
2.1. General
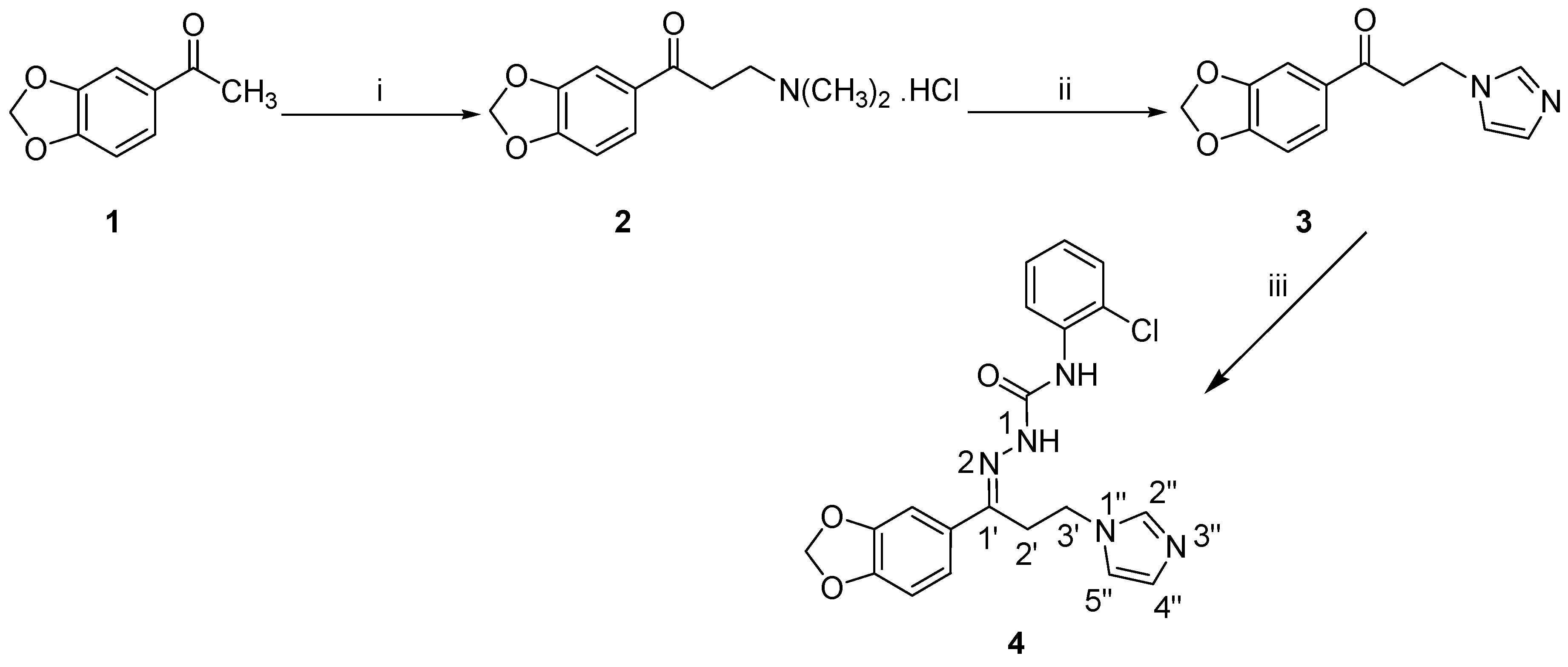
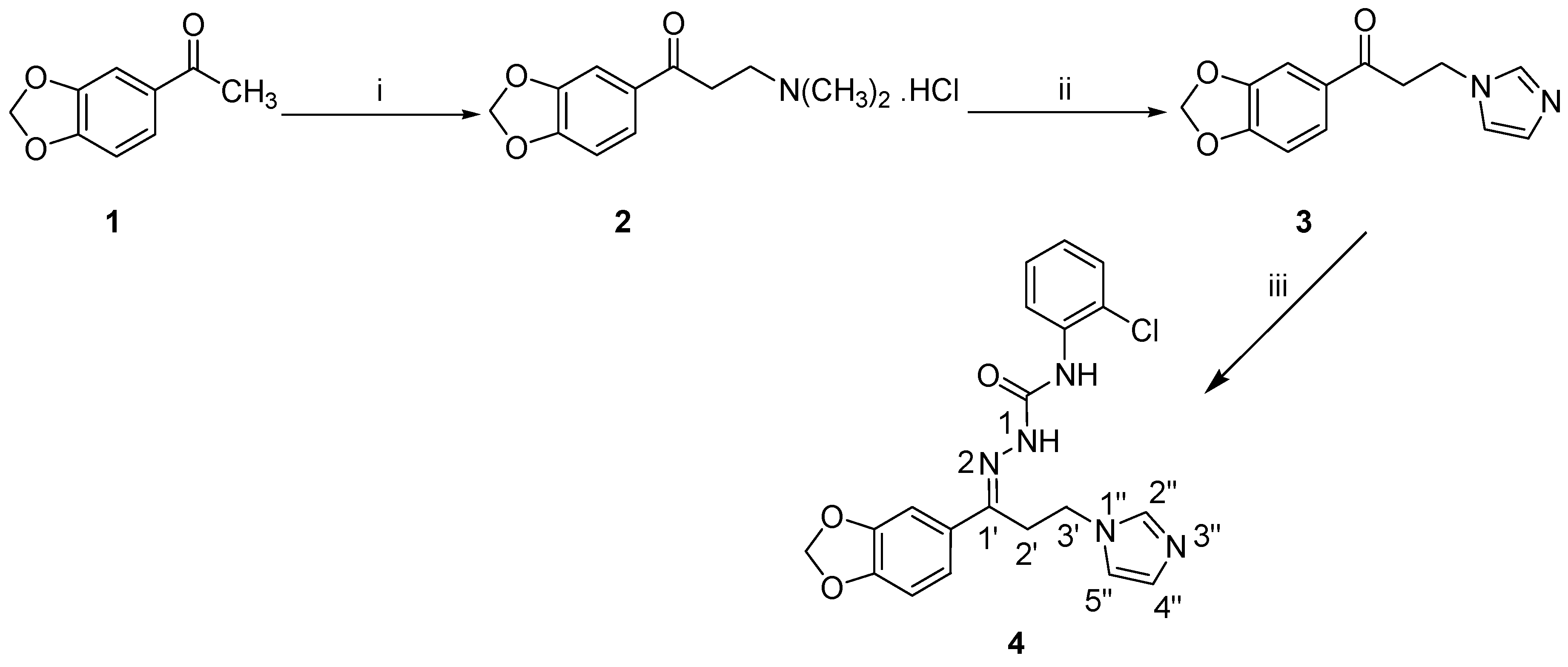
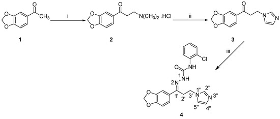
2.2. Synthesis
Synthesis of (2E)-2-[1-(1,3-benzodioxol-5-yl)-3-(1H-imidazol-1-yl)propylidene]-N-(2-chloro phenyl)hydrazinecarboxamide (4)
2.3. Crystal Structure Determination
2.4. Quantum Chemical Calculations
2.5. Antifungal Activity
3. Results and Discussion
3.1. Chemistry
3.2. Crystal Structure of the Semicarbazone 4
3.3. Structural Geometry Analysis
3.4. Natural Bond Orbital Analysis
3.5. Natural Population Analysis
3.6. Frontier Molecular Orbital Analysis
3.7. Molecular Docking Simulations
3.8. Hirshfeld Surface Analysis
3.9. Antifungal Activity of the Semicarbazone 4
4. Conclusions
Supplementary Materials
Author Contributions
Funding
Conflicts of Interest
References
- Crunkhorn, S. Fungal infection: Protecting from Candida albicans. Nat. Rev. Drug Discov. 2016, 15, 604. [Google Scholar] [CrossRef] [PubMed]
- Vandeputte, P.; Ferrari, S.; Coste, A.T. Antifungal resistance and new strategies to control fungal infections. Int. J. Microbiol. 2011, 2012, 713687. [Google Scholar] [CrossRef] [PubMed]
- Wu, J.; Ni, T.; Chai, X.; Wang, T.; Wang, H.; Chen, J.; Jin, Y.; Zhang, D.; Yu, S.; Jiang, Y. Molecular docking, design, synthesis and antifungal activity study of novel triazole derivatives. Eur. J. Med. Chem. 2018, 143, 1840–1846. [Google Scholar] [CrossRef] [PubMed]
- Lino, C.I.; de Souza, I.G.; Borelli, B.M.; Matos, T.T.S.; Teixeira, I.N.S.; Ramos, J.P.; de Souza Fagundes, E.M.; de Oliveira Fernandes, P.; Maltarollo, V.G.; Johann, S. Synthesis, molecular modeling studies and evaluation of antifungal activity of a novel series of thiazole derivatives. Eur. J. Med. Chem. 2018, 151, 248–260. [Google Scholar] [CrossRef] [PubMed]
- Sanglard, D. Emerging threats in antifungal-resistant fungal pathogens. Front. Med. 2016, 3, 11. [Google Scholar] [CrossRef] [PubMed]
- Pappas, P.G.; Kauffman, C.A.; Andes, D.R.; Clancy, C.J.; Marr, K.A.; Ostrosky-Zeichner, L.; Reboli, A.C.; Schuster, M.G.; Vazquez, J.A.; Walsh, T.J. Clinical practice guideline for the management of candidiasis: 2016 update by the Infectious Diseases Society of America. Clin. Infect. Dis. 2015, 62, e1–e50. [Google Scholar] [CrossRef]
- Aoyama, Y.; Yoshida, Y.; Sato, R. Yeast cytochrome P-450 catalyzing lanosterol 14 alpha-demethylation. II. Lanosterol metabolism by purified P-450 (14) DM and by intact microsomes. J. Biol. Chem. 1984, 259, 1661–1666. [Google Scholar]
- Aboul-Enein, M.N.; El-Azzouny, A.A.; Attia, M.I.; Saleh, O.A.; Kansoh, A.L. Synthesis and anti-Candida potential of certain novel 1-[(3-substituted-3-phenyl)propyl]-1H-imidazoles. Arch. Pharm. 2011, 344, 794–801. [Google Scholar] [CrossRef]
- Roman, G.; Mares, M.; Nastasa, V. A novel antifungal agent with broad spectrum: 1-(4-biphenylyl)-3-(1H-imidazol-1-yl)-1-propanone. Arch. Pharm. 2013, 346, 110–118. [Google Scholar] [CrossRef]
- Attia, M.I.; Radwan, A.A.; Zakaria, A.S.; Almutairi, M.S.; Ghoneim, S.W. 1-Aryl-3-(1H-imidazol-1-yl)propan-1-ol esters: Synthesis, anti-Candida potential and molecular modeling studies. Chem. Cent. J. 2013, 7, 168. [Google Scholar] [CrossRef]
- Venkatachalam, T.K.; Bernhardt, P.V.; Noble, C.J.; Fletcher, N.; Pierens, G.K.; Thurecht, K.J.; Reutens, D.C. Synthesis, characterization and biological activities of semicarbazones and their copper complexes. J. Inorg. Biochem. 2016, 162, 295–308. [Google Scholar] [CrossRef] [PubMed]
- Beraldo, H.; Gambino, D. The wide pharmacological versatility of semicarbazones, thiosemicarbazones and their metal complexes. Mini Rev. Med. Chem. 2004, 4, 31–39. [Google Scholar] [PubMed]
- Jafri, L.; Ansari, F.L.; Jamil, M.; Kalsoom, S.; Qureishi, S.; Mirza, B. Microwave-assisted synthesis and bioevaluation of some semicarbazones. Chem. Biol. Drug Des. 2012, 79, 950–959. [Google Scholar] [CrossRef] [PubMed]
- Laly, S.; Parameswaran, G. Synthesis and characterisation of some thiosemicarbazone complexes of Ag (I), Pt (II) and Pd (II). Asian J. Chem. 1993, 5, 712–718. [Google Scholar]
- Aboul-Enein, M.N.; El-Azzouny, A.A.; Attia, M.I.; Maklad, Y.A.; Amin, K.M.; Abdel-Rehim, M.; El-Behairy, M.F. Design and synthesis of novel stiripentol analogues as potential anticonvulsants. Eur. J. Med. Chem. 2012, 47, 360–369. [Google Scholar] [CrossRef] [PubMed]
- Leite, A.C.L.; da Silva, K.P.; de Souza, I.A.; de Araújo, J.M.; Brondani, D.J. Synthesis, antitumour and antimicrobial activities of new peptidyl derivatives containing the 1,3-benzodioxole system. Eur. J. Med. Chem. 2004, 39, 1059–1065. [Google Scholar] [CrossRef] [PubMed]
- Attia, M.I.; El-Brollosy, N.R.; Kansoh, A.L.; Ghabbour, H.A.; Al-Wabli, R.I.; Fun, H.-K. Synthesis, single crystal X-ray structure, and antimicrobial activity of 6-(1,3-benzodioxol -5-ylmethyl)-5-ethyl-2-{[2-(morpholin-4-yl)ethyl]sulfanyl}pyrimidin-4(3H)-one. J. Chem. 2014, 2014, 457430. [Google Scholar] [CrossRef]
- Attia, M.I.; Zakaria, A.S.; Almutairi, M.S.; Ghoneim, S.W. In vitro anti-Candida activity of certain new 3-(1H-imidazol-1-yl)propan-1-one oxime esters. Molecules 2013, 18, 12208–12221. [Google Scholar] [CrossRef] [PubMed]
- Al-Wabli, R.I.; Al-Ghamdi, A.R.; Ghabbour, H.A.; Al-Agamy, M.H.; Monicka, J.C.; Joe, I.H.; Attia, M.I. Synthesis, X-ray single crystal structure, molecular docking and DFT computations on N-[(1E)-1-(2H-1,3-benzodioxol-5-yl)-3-(1H-imidazol-1-yl)propylidene]-hydroxylamine: A new potential antifungal agent precursor. Molecules 2017, 22, 373. [Google Scholar] [CrossRef]
- Al-Wabli, R.I.; Al-Ghamdi, A.R.; Ghabbour, H.A.; Al-Agamy, M.H.; Attia, M.I. Synthesis, single crystal X-ray analysis, and antifungal profiling of certain new oximino ethers bearing imidazole nuclei. Molecules 2017, 22, 1895. [Google Scholar] [CrossRef]
- Al-Wabli, R.I.; Al-Ghamdi, A.R.; Primsa, I.; Ghabbour, H.A.; Al-Agamy, M.H.; Joe, I.H.; Attia, M.I. (2E)-2-[1-(1,3-benzodioxol-5-yl)-3-(1H-imidazol-1-yl)propylidene]-N-(4-methoxyphenyl)hydrazine carboxamide: Synthesis, crystal structure, vibrational analysis, DFT computations, molecular docking and antifungal activity. J. Mol. Struct. 2018, 1166, 121–130. [Google Scholar] [CrossRef]
- Al-Wabli, R.I.; Al-Ghamdi, A.R.; Ghabbour, H.A.; Al-Agamy, M.H.; Attia, M.I. Synthesis and spectroscopic identification of certain imidazole-semicarbazone conjugates bearing benzodioxole moieties: New antifungal agents. Molecules 2019, 24, 200. [Google Scholar] [CrossRef] [PubMed]
- Beukers, M.W.; Wanner, M.J.; Von Frijtag Drabbe Künzel, J.K.; Klaasse, E.C.; Ijzerman, A.P.; Koomen, G.-J. N-6-Cyclopentyl-2-(3-phenylaminocarbonyltriazene-1-yl)adenosine (TCPA), a very selective agonist with high affinity for the human adenosine A1 receptor. J. Med. Chem. 2003, 46, 1492–1503. [Google Scholar] [CrossRef] [PubMed]
- Sheldrick, G.M. A short history of SHELX. Acta Cryst. A 2008, 64, 112–122. [Google Scholar] [CrossRef] [PubMed]
- Becke, A.D. Density-functional thermochemistry. III. The role of exact exchange. J. Chem. Phys. 1993, 98, 5648–5652. [Google Scholar] [CrossRef]
- Frisch, M.J.; Trucks, G.W.; Schlegel, H.B.; Scuseria, G.E.; Robb, M.A.; Cheeseman, J.R.; Scalmani, G.; Barone, V.; Mennucci, B.; Petersson, G.A.; et al. Gaussian-09; Revision A.02; Gaussian, Inc.: Wallingford, CT, USA, 2009. [Google Scholar]
- Jamróz, M.H. Vibrational energy distribution analysis (VEDA): Scopes and limitations. Spectrochim. Acta Part A Mol. Biomol. Spectrosc. 2013, 114, 220–230. [Google Scholar] [CrossRef] [PubMed]
- Wolff, S.; Grimwood, D.; McKinnon, J.; Jayatilaka, D.; Spackman, M. Crystal Explorer 2.0; University of Western Australia: Perth, Australia, 2007. [Google Scholar]
- Reed, A.E.; Curtiss, L.A.; Weinhold, F. Intermolecular interactions from a natural bond orbital, donor-acceptor viewpoint. Chem. Rev. 1988, 88, 899–926. [Google Scholar] [CrossRef]
- Allen, F.H.; Kennard, O.; Watson, D.G.; Brammer, L.; Orpen, A.G.; Taylor, R. Tables of bond lengths determined by X-ray and neutron diffraction. Part 1. Bond lengths in organic compounds. J. Chem. Soc. Perkin Trans. 2 1987, S1–S19. [Google Scholar] [CrossRef]
- Reed, A.E.; Weinstock, R.B.; Weinhold, F. Natural population analysis. J. Chem. Phys. 1985, 83, 735–746. [Google Scholar] [CrossRef]
- Fleming, I. Frontier Orbitals and Organic Chemical Reactions; Wiley: Hoboken, NJ, USA, 1977. [Google Scholar]
- Morris, G.M.; Huey, R.; Lindstrom, W.; Sanner, M.F.; Belew, R.K.; Goodsell, D.S.; Olson, A.J. AutoDock4 and AutoDockTools4: Automated docking with selective receptor flexibility. J. Comp. Chem. 2009, 30, 2785–2791. [Google Scholar] [CrossRef]
- Bonanno, J.B.; Edo, C.; Eswar, N.; Pieper, U.; Romanowski, M.J.; Ilyin, V.; Gerchman, S.E.; Kycia, H.; Studier, F.W.; Sali, A. Structural genomics of enzymes involved in sterol/isoprenoid biosynthesis. Proc. Natl. Acad. Sci. USA 2001, 98, 12896–12901. [Google Scholar] [CrossRef] [PubMed]
- Bernstein, F.C.; Koetzle, T.F.; Williams, G.J.; Meyer, E.F., Jr.; Brice, M.D.; Rodgers, J.R.; Kennard, O.; Shimanouchi, T.; Tasumi, M. The protein data bank: A computer-based archival file for macromolecular structures. Arch. Biochem. Biophys. 1978, 185, 584–591. [Google Scholar] [CrossRef]
- Morris, G.M.; Goodsell, D.S.; Halliday, R.S.; Huey, R.; Hart, W.E.; Belew, R.K.; Olson, A.J. Automated docking using a Lamarckian genetic algorithm and an empirical binding free energy function. J. Comp. Chem. 1998, 19, 1639–1662. [Google Scholar] [CrossRef]
- Spackman, M.A.; Byrom, P.G. A novel definition of a molecule in a crystal. Chem. Phys. Lett. 1997, 267, 215–220. [Google Scholar] [CrossRef]
- Spackman, M.A.; Jayatilaka, D. Hirshfeld surface analysis. Cryst. Eng. Comm. 2009, 11, 19–32. [Google Scholar] [CrossRef]









| Crystal Data | |
| Molecular formula | C20H18ClN5O3 |
| Mr | 411.84 |
| Crystal system, space group | Monoclinic, P21/c |
| Temperature (K) | 293 |
| a, b, c (Å) | 8.7780 (6), 20.5417 (15), 11.0793 (9) |
| β (°) | 100.774 (2) |
| V (Å3) | 1962.5 (3) |
| Z | 4 |
| Radiation type | Mo Kα |
| µ (mm−1) | 0.23 |
| Crystal size (mm3) | 0.33 × 0.19 × 0.11 |
| Data Collection | |
| Diffractometer | Brucker APEX-II D8 venture diffractometer |
| Absorption correction | Multi-scanSADABS Bruker 2014 |
| Tmin, Tmax | 0.954, 0.962 |
| No. of measured, independent and observed [I> 2σ(I)] reflections | 28076, 4511, 2424 |
| Rint | 0.095 |
| Refinement | |
| R[F2> 2σ( F2)], wR(F2), S | 0.060, 0.137, 1.04 |
| No. of reflections | 4511 |
| No. of parameters | 270 |
| No. of restraints | 0 |
| H-atom treatment | H atoms treated by a mixture of independent and constrained refinement |
| Δρmax, Δρmin (e Å−3) | 0.18, −0.29 |
| Atom | Bond Length/Angle | Atom | Bond Length/Angle |
|---|---|---|---|
| Cl44–C35 | 1.736 (3) | N22–C26 | 1.359 (3) |
| O7–C6 | 1.377 (3) | N24–C23 | 1.300 (4) |
| O7–C8 | 1.416 (3) | N24–C25 | 1.350 (4) |
| O9–C1 | 1.372 (3) | N30–N31 | 1.378 (3) |
| O9–C8 | 1.422 (4) | N30–C15 | 1.288 (3) |
| O46–C32 | 1.224 (3) | N31–C32 | 1.360 (3) |
| N22–C19 | 1.454 (3) | N33–C32 | 1.361 (3) |
| N22–C23 | 1.351 (3) | N33–C34 | 1.403 (3) |
| C6–O7–C8 | 105.8 (2) | N30–C15–C4 | 116.0 (2) |
| C1–O9–C8 | 105.4 (2) | N30–C15–C16 | 123.5 (2) |
| C19–N22–C23 | 126.9 (2) | N22–C19–C16 | 114.3 (2) |
| C19–N22–C26 | 127.8 (2) | N22–C23–N24 | 112.9 (3) |
| C23–N22–C26 | 105.3 (2) | N24–C25–C26 | 111.2 (3) |
| C23–N24–C25 | 104.3 (3) | N22–C26–C25 | 106.4 (2) |
| N31–N30–C15 | 119.1 (2) | N31–C32–N33 | 114.8 (2) |
| N30–N31–C32 | 119.4 (2) | O46–C32–N31 | 120.6 (2) |
| C32–N33–C34 | 127.9 (2) | O46–C32–N33 | 124.6 (3) |
| O7–C6–C1 | 109.2 (2) | N33–C34–C39 | 124.1 (3) |
| O7–C6–C5 | 128.4 (2) | N33–C34–C35 | 118.4 (2) |
| O9–C1–C2 | 128.8 (3) | Cl44–C35–C34 | 119.5 (2) |
| O9–C1–C6 | 109.9 (2) | Cl44–C35–C36 | 118.8 (2) |
| O7–C8–O9 | 107.5 (2) |
| D–H···A | D–H | H···A | D···A | D–H···A |
|---|---|---|---|---|
| N31–H4N31···O46i | 0.85(3) | 2.06(3) | 2.896(3) | 169(3) |
| C16–H17B···O46i | 0.9700 | 2.5100 | 3.207(3) | 129.00 |
| C23–H29A···O9ii | 0.9300 | 2.4500 | 3.301(4) | 152.00 |
| C26–H27A···N24iii | 0.9300 | 2.4900 | 3.326(4) | 150.00 |
| C39–H40A···O46 | 0.9300 | 2.3000 | 2.886(4) | 121.00 |
| Parameters | DFT | Exp. | Parameters | DFT | Exp. |
|---|---|---|---|---|---|
| Bond lengths\Å | Dihedral Angles\° | ||||
| C1–C2 | 1.3751 | 1.356 | C5–C4–C15–N30 | –0.51 | –1.54 |
| C1–C6 | 1.3954 | 1.371 | C3–C4–C15–N30 | 179.97 | 178.01 |
| C2–C3 | 1.4053 | 1.392 | C15–N30–N31–C32 | 174.78 | 176.1 |
| C2–H10 | 1.0822 | 0.931 | N30–N31–C32–N33 | –174.29 | –2.89 |
| C3–C4 | 1.4011 | 1.378 | N32–C32–N33–C34 | –178.49 | 176.6 |
| C3–H11 | 1.0816 | 0.931 | C32–N33–C34–C39 | –1.04 | –1.54 |
| C4–C5 | 1.4189 | 1.378 | C32–N33–C34–C35 | 179.15 | 165.48 |
| C4–C15 | 1.4852 | 1.480 | C4–C15–C16–C19 | –88.51 | 101.58 |
| C5–C6 | 1.3701 | 1.359 | C15–C16–C19–N22 | –175.16 | –76.52 |
| C5–H12 | 1.0811 | 0.930 | C16–C19–N22–C26 | –73.22 | –78.94 |
| C15=N30 | 1.2889 | 1.2881 | C16–C19–N22–C23 | 103.09 | 101.11 |
| N30–N31 | 1.3524 | 1.3781 | Bond Angles\° | ||
| C32–N31 | 1.4042 | 1.378 | C5–C4–C15 | 121.79 | 121.74 |
| C32–N33 | 1.3875 | 1.402 | C3–C4–C15 | 118.89 | 119.62 |
| C34–N33 | 1.4016 | 1.362 | C3–C4–C5 | 119.33 | 122.40 |
| C34–C35 | 1.4072 | 1.396 | N33–C34–C35 | 118.58 | 118.36 |
| C34–C39 | 1.4035 | 1.389 | N33–C34–C39 | 123.84 | 124.08 |
| C35–C36 | 1.3873 | 1.378 | C35–C34–C39 | 117.58 | 117.56 |
| C36–C37 | 1.3918 | 1.368 | |||
| C37–C38 | 1.3925 | 1.370 | |||
| C38–C39 | 1.3908 | 1.380 | |||
| C39–C34 | 1.4035 | 1.389 | |||
| Donor (i) | Acceptor (j) | E(2) a kcal/mol | E(j)-E(i) b (a.u.) | F(i,j) c (a.u.) | ||
|---|---|---|---|---|---|---|
| NBO | Occupancy | NBO | Occupancy | |||
| σ(C1–C2) | 1.97467 | σ*(C1–C6) | 0.03968 | 4.48 | 1.27 | 0.068 |
| σ(C1–C2) | 1.97467 | σ*(C1–O9) | 0.02853 | 3.66 | 0.34 | 0.032 |
| σ(C1–C2) | 1.97467 | σ*(C1–O7) | 0.03253 | 1.47 | 1.07 | 0.035 |
| σ (C1–C6) | 1.97447 | σ*(C1–C2) | 0.02065 | 4.65 | 1.35 | 0.071 |
| σ (C1–C6) | 1.97447 | σ*(C15–N30) | 0.01622 | 1.51 | 0.76 | 0.032 |
| σ (C1-O9) | 1.98708 | σ*(C35–Cl44) | 0.03389 | 0.53 | 3.49 | 0.039 |
| σ(C2–H10) | 1.97906 | σ*(C37–H42) | 0.01319 | 0.58 | 0.79 | 0.019 |
| σ(C3–C4) | 1.97383 | σ*(C1–O9) | 0.02853 | 12.75 | 0.31 | 0.056 |
| σ(C3–C4) | 1.97383 | σ*(C2–C3) | 0.02065 | 6.45 | 0.17 | 0.078 |
| σ(C3–C4) | 1.97383 | σ*(N24–C25) | 0.01083 | 38.23 | 0.18 | 0.074 |
| π(C3–C4) | 1.69506 | π*(C1–C2) | 0.02065 | 0.56 | 3.68 | 0.041 |
| π(C3–C4) | 1.69506 | π*(C25–H28) | 0.01691 | 33.36 | 4.07 | 0.356 |
| π(C5–C6) | 1.70385 | π*(C1–C2) | 0.02065 | 14.57 | 0.47 | 0.075 |
| π(C5–C6) | 1.70385 | π*(C34–C35) | 0.46482 | 0.66 | 0.45 | 0.016 |
| n1(N30) | 1.90915 | σ*(C5–H12) | 0.01401 | 4.40 | 0.82 | 0.055 |
| n1(N33) | 1.70147 | σ*(N31–C32) | 0.08922 | 13.15 | 0.46 | 0.069 |
| Compound No. | MIC (μmol/mL) | |||
|---|---|---|---|---|
| C. albicans | C. tropicalis | C.parapsilosis | Aspergillus niger | |
| 4 | 0.156 | > 1.24 | 0.311 | 0.622 |
| Fluconazole | 0.051 | 0.045 | 0.047 | ND |
| Ketoconazole | ND | ND | ND | 0.02 |
© 2019 by the authors. Licensee MDPI, Basel, Switzerland. This article is an open access article distributed under the terms and conditions of the Creative Commons Attribution (CC BY) license (http://creativecommons.org/licenses/by/4.0/).
Share and Cite
Al-Wabli, R.I.; Al-Ghamdi, A.R.; Aswathy, S.A.V.; Ghabbour, H.A.; Al-Agamy, M.H.; Hubert Joe, I.; Attia, M.I. (2E)-2-[1-(1,3-Benzodioxol-5-yl)-3-(1H-imidazol-1-yl)propylidene]-N-(2-chlorophenyl)hydrazine carboxamide: Synthesis, X-ray Structure, Hirshfeld Surface Analysis, DFT Calculations, Molecular Docking and Antifungal Profile. Crystals 2019, 9, 82. https://doi.org/10.3390/cryst9020082
Al-Wabli RI, Al-Ghamdi AR, Aswathy SAV, Ghabbour HA, Al-Agamy MH, Hubert Joe I, Attia MI. (2E)-2-[1-(1,3-Benzodioxol-5-yl)-3-(1H-imidazol-1-yl)propylidene]-N-(2-chlorophenyl)hydrazine carboxamide: Synthesis, X-ray Structure, Hirshfeld Surface Analysis, DFT Calculations, Molecular Docking and Antifungal Profile. Crystals. 2019; 9(2):82. https://doi.org/10.3390/cryst9020082
Chicago/Turabian StyleAl-Wabli, Reem I., Alwah R. Al-Ghamdi, Suchindra Amma Vijayakumar Aswathy, Hazem A. Ghabbour, Mohamed H. Al-Agamy, Issac Hubert Joe, and Mohamed I. Attia. 2019. "(2E)-2-[1-(1,3-Benzodioxol-5-yl)-3-(1H-imidazol-1-yl)propylidene]-N-(2-chlorophenyl)hydrazine carboxamide: Synthesis, X-ray Structure, Hirshfeld Surface Analysis, DFT Calculations, Molecular Docking and Antifungal Profile" Crystals 9, no. 2: 82. https://doi.org/10.3390/cryst9020082
APA StyleAl-Wabli, R. I., Al-Ghamdi, A. R., Aswathy, S. A. V., Ghabbour, H. A., Al-Agamy, M. H., Hubert Joe, I., & Attia, M. I. (2019). (2E)-2-[1-(1,3-Benzodioxol-5-yl)-3-(1H-imidazol-1-yl)propylidene]-N-(2-chlorophenyl)hydrazine carboxamide: Synthesis, X-ray Structure, Hirshfeld Surface Analysis, DFT Calculations, Molecular Docking and Antifungal Profile. Crystals, 9(2), 82. https://doi.org/10.3390/cryst9020082

